Mi duda esta en el siguiente problema:
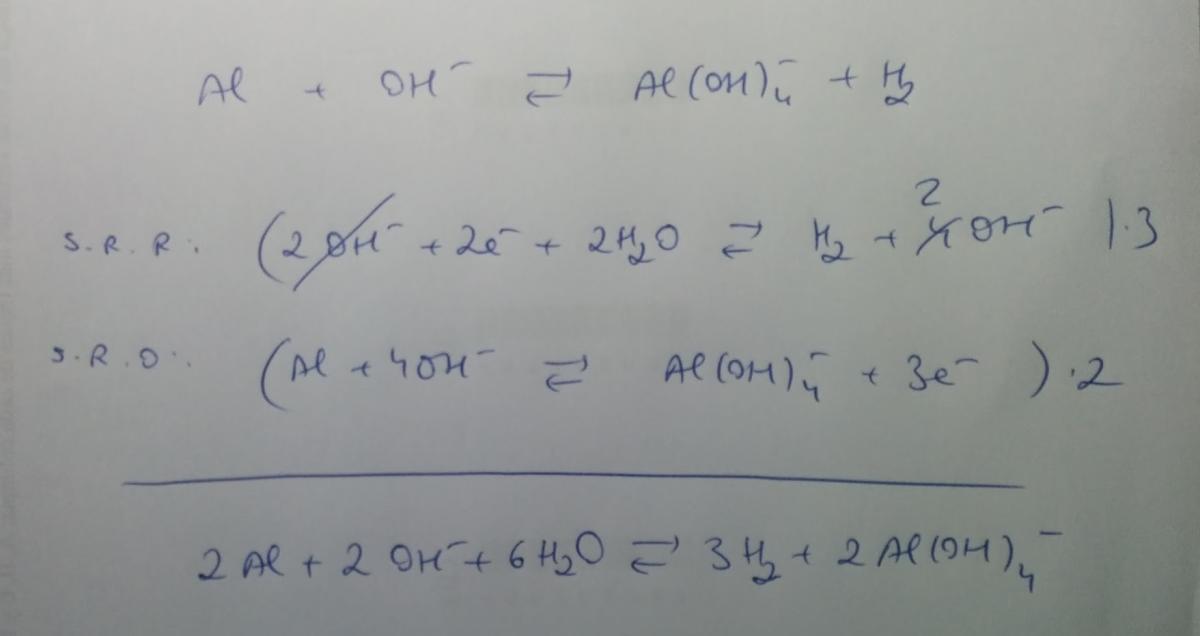
Balancea la siguiente ecuación química por el método de Ion-Electrón teniendo en cuenta que se encuentra en medio Básico: Al + OH- → Al(OH)-4 + H2
Al momento de intentar balancearlo lo dejo de la siguiente manera:
Al 0→ Al+3(OH)-4
H2O + OH- → H20 + 2(OH)-
he visto el vídeo del Método Ion-Electrón en medio Básico muchas veces y no encuentro como seguir avanzando, realmente agradecería la ayuda.

En realidad el que no existe es el Al(OH)3 pues éste en realidad es el óxido Al2 O3 hidratado. Pero bueno, partiendo del simplismo de la fórmula Al(OH)3 , éste es un compuesto ác/base que en medio fuertemente ácido puede ganar un OH- y transformarse así en Al(OH)4- que es tan real que existe en disolución acuosa y formando sales como el aluminato de sodio.
Te dejo en la imagen cómo habría que ajustarla en medio básico.
Saludos!
Disponemos de dos disoluciones de ácido clorhídrico. Una A 3.6N y de densidad 1'06g/cm3 y otra B 12N y densidad 1'19g/cm3. Si añadimos 50 cm3 de la B a 100cm3 de la A calcula la concentración de la nueva disolución de varias formas. (Los volúmenes son aditivos)
Gracias

¿Has visto estos videos?.. Disoluciones
Como es HCl, la normalidad y la Molaridad (M=moles soluto /volumen disolucion) coinciden..
Los moles de A serán 3,6. 0,1 litros= 0,36 moles
Los moles de B serán 12. 0,05 litros= 0,6 moles
Los moles totales , 0,96
Los litros totales, 0,15
La concentración final 0,96 / 0,15 moles/litro
Llevo bastante rato intentándolo pero sigue sin salirme..:
Deseamos preparar una disolución 3N de sulfuro de sodio. No disponemos de un soluto puro, pero si de 350cm3 de una disolución de 5M y otro litro de otra disolución que contiene 25mg de sulfuro de sodio por cada 4 cm3. ¿cuantos cm3 de esta ultima disolución habrá que añadir a los 350cm3 de la primera para conseguir la disolución que pretendemos preparar?
gracias por la ayuda es para mañana :(

Echale un vistazo.. Disoluciones 01
A partir de ahí, se trata de que DESPUES DE IR A CLASE (ver los vídeos
relacionados con vuestras dudas) enviéis dudas concretas, muy concretas. Y que
nos enviéis también todo aquello que hayais conseguido hacer por vosotros mismos.
Paso a paso, esté bien o mal. No solo el enunciado, pero no olvidéis de
adjuntarlo de forma LITERAL, para saber que os piden. De esa manera podremos
saber vuestro nivel, en que podemos ayudaros, cuales son vuestros fallos.... Y
el trabajo duro será el vuestro. Nos cuentas ¿ok? #nosvemosenclase ;-)
Hola, más o menos lo saque junto con el vídeo y el problema anterior, pero no mande la foto de lo que tenia echo con los pasos porque no me deja y se queda cargando, pero me da 870ml (no se si estará bien) Muchas gracias, se que primero son las clases y unicoos lo utilizo para completar y asentar lo que he aprendido en clase( aunque algún profesor no explique nada bien) pero me parece una forma extraordinaria para enseñar, de verdad gracias.
Hola unicoos!.
Ya pregunte esto el otro día y sigo sin aclararme he visto las recomendaciones que me comentasteis, y sigo sin avanzar. Es que tengo problemas a la hora de utilizar las densidades y porque me pide gramos si todo lo tengo en mililitros. estoy un poco líada. el ejercicio dice así:
2 puntos) La reacción para la producción industrial del sulfato de amonio es
NH3(g) + H2SO4(aq) → (NH4)2SO4(aq)
En el laboratorio hacemos un ensayo partiendo de 500 mL de amoniaco gaseoso, medidos en condiciones normales, y 5 mL de un ácido sulfúrico del 40 %(p/p) y densidad 1,3028 g/mL.
1. ¿Cuántos gramos de sulfato de amonio se podrán obtener?
2. ¿Qué volumen de ácido sulfúrico 2 M sería necesario para que se consumiera todo el amoniaco?
He calculado que los gramos que están presentes en la disolución de H2SO4 son 521.12 g ya que son solo el 40% de la densidad. pero ya no se calcular cual es el reactivo limitante de los dos. Necesito ayuda!
Gracias.

500 ml de NH3 en condiciones normales son 0,5/22,4 moles (pues 1 mol en C.N. ocupa 22,4 litros)
5 ml de H2SO4 de densidad 1,3028 g/ml equivalen a 1,3028*5 = 6,514 g pues (densidad=masa/volumen). El 40% (que es en masa) equivale a 0,4*6,514=2.6056 gramos de H2SO4 puros... Y a partir de ahí, deberás aplicar REACTIVO LIMITANTE. Mira este video y nos cuentas.. Reactivo limitante
Cuidado con aplicar el 40% a la densidad ¿¿??
¿Por qué un huevo hervido a los tres minutos necesita más de tres minutos en Suiza y no en la Isla de Manhattan en la ciudad de Nueva York?
Sé que tiene que ver con la diferencia de presiones, pero no sé explicarlo detalladamente. ¿Me podríais ayudar?
Angel podrías ayudarme con este problema? Muchas gracias
Datos: Calores específicos (J/(kg.K): Agua=4180, Hielo=2100, Vapor de agua=2090. Calores de cambio de estado (J/kg): Fusión del hielo=334 400; vaporización del agua = 2 260 000.

Revisa estos vídeos y nos cuentas ¿ok? Equilibrio térmico
Se trata de que DESPUES DE IR A CLASE (ver los vídeos relacionados con vuestras dudas) enviéis dudas concretas, muy concretas. Y que nos enviéis también todo aquello que hayais conseguido hacer por vosotros mismos. Paso a paso, esté bien o mal. No solo el enunciado, pero no olvidéis de adjuntarlo de forma LITERAL, para saber que os piden. De esa manera podremos saber vuestro nivel, en que podemos ayudaros, cuales son vuestros fallos.... Y el trabajo duro será el vuestro. Nos cuentas ¿ok? #nosvemosenclase ;-)
Hola!! Tengo una duda con la estructura de lewis. Creo que es en dativos.. Por ejemplo: la estructura de lewis de H2S04. Cómo sé yo que el azufre es el átomo central y alrededor de él los oxígenos y a su vez algunos oxígenos con hidrógenos.. Resumiendo cómo sé yo su estructura.. Espero que me haya expresado bien.. Muchas gracias!!!

Lo explico en este vídeo, aunque no sea de mis mejores vídeos... Enlace covalente Estructura de LEWIS
¿Alguien me ayuda al ordenar de menor a mayor según la energía de ionización de Na C Si Ne? Es que no entiendo por que es Na<Si<C<Ne (es la solución) ya que C y Ne necesitan menor EIoniz que Na y Si, ya que tienen menos protones.... No se si es que esta mal la solción o simplemente es que no lo entiendo xD

Simplemente cuanto más a la izquierda en la tabla periodica mayor será la energía de ionización.
Y cuanto más arriba en la tabla periodica, también..
Lo explican en todos los libros de química... Aquí está explicado de maravilla... http://e-ducativa.catedu.es/44700165/aula/archivos/repositorio/4750/4841/html/33_energa_de_ionizacin.html