¿Con qué aceleración desciende un bloque de 100 kg de masa por un plano de 45 grados de inclinación si no se le aplica ninguna fuerza aparte de su propio peso? Siendo el rozamiento nulo.

Hola Álvaro, esta duda debe ir al foro de física. Aún así te pongo el enlace del vídeo que te ayudará a resolver el problema:
FISICA Plano inclinado sin rozamiento 01
Saludos.
Buenas, tengo un ejercicio que dice:
Determina la composicion centesimal del sulfato de cromo (III)
pero no me da ningun datos más y no se por donde empezar

Hola Alexandra. Me parece que para calcular la composición centesimal de una muestra de sulfato de cromo (III) hacen falta datos sí o sí... Así lo único que puedes hacer es escribir la fórmula molecular del compuesto que sería Cr2(SO4)3...
"La composición centesimal indica el porcentaje en masa, de cada elemento que forma parte de un compuesto. Se obtiene por análisis gravimétrico y conociendo los pesos atómicos de los compuestos puede determinarse su fórmula mínima o molecular."
Siento no poder ayudarte más :(
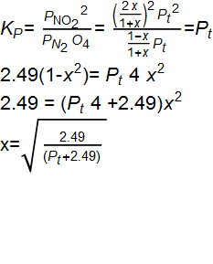
Hola, tengo una nueva duda sobre un ejercicio de equilibrio. Adjunto el enunciado y foto : A la temperatura de 60 ºC la constante de equilibrio para la reacción de disociación: N2O4(g) 2NO2 (g) , Kp= 2'49
Determine:
a) El valor de Kc.
b) El grado de disociación del citado compuesto a la misma temperatura cuando la presión del recipiente es de 1 atm
Mi duda es sobre el apartado b), sé que es con la formula de la Kp, pero no consigo despejar alfa ¿ alguna ayuda?
Muchas gracias!!
hola, como hago para darme cuenta si una estructura es resonante o no ???

Hola Gabriela. Podemos distiguir si una molécula presenta resonancia cuando en su estructura existen dobles enlaces y/o átomos con pares de electrones sin compartir.
Te pongo una imagen como ejemplo aunque seguro que ya has visto más de una. La más conocida, las estructuras resonantes del benceno las cuales encuentras en la misma wikipedia. Otra podría ser: (imagen)
Piensa que las estructuras resonantes no son formas que existan en sí mismas, sino que son estados que explican alguna propiedad y reactividad de la molécula.
Saludos.
Hola Unicoos!!. No se como escribir la siguientes ecuaciones químicas:
En solución básica, el ión clorato(I) oxida al hidróxido de cromo (III) a ión cromato (VI) y se reduce a ión cloruro
No se como escribir los iónes,me pueden ayudar por favor?
Muchas gracias
Hola! Tengo una duda sobre equilibrio químico, no sé como hacer la tabla cuando me piden el grado de disociacion, sé que cuando no me dan datos iniciales hay que hacerlo con nα, pero no consigo plantear bien la tabla, ¿ alguna ayuda? Os paso el enunciado: El fosgeno es un gas venenoso que se descompone según la reacción: COCl2 (g) CO(g) + Cl2 (g)
A la temperatura de 900ºC el valor de la constante K c para el proceso anterior de 0’083. Si en un recipiente de 2 L se introducen, a la temperatura indicada, 0’4 mol deCOCl 2, calcule:
a) Las concentraciones de todas las especies en equilibrio.
b) El grado de disociación del fosgeno en esas condiciones.
Mi duda es del apartado b) , en el a) no hay problema. También os adjunto una foto para que veáis como hago la tabla( aunque sé que estará mal).
Muchas gracias
Veo bien como lo has planteado, supongo que poner n(alfa) es por que así te han enseñado, yo voy por lo simple ponto inicial ( c , 0, 0) y final ( c(1-x) , cx , cx) es decir x es el tanto por uno que se transforma o lo que es lo mismo el grado de disociación de COCl2 Toma en cuenta que la concentración es mols/volumen entonces Kc =((C CO)(C Cl2))/C (COCl2) = cx/V*cx/V/(c(1-x)/V) y simplificando Kc= c x^2/((1-x)V) =0.083 c=0.4 mol V=2. A mi me da dos valores de x - 0.884299 y + 0.469299. Así que como x debe estar entre 0 y 1 el valor a tomar es x=0.469299 que es el grado de disociación
Mira incognita sólo hay una es x, c es la concentración inicial de fosgeno, y cuando escribo c(1-x) quiero expresar la cantidad restante el máximo es x=1 y el mínimo es 0.
de hecho se tiene una sóla ecuación por tanto hay una sola incognita. Tu tienes c, n y alpha pero en realidad sólo necesitas saber una llámale alpha o x o n, Díme si entiendes el significado de poner c(1-x) como los mols de fosgeno que quedan en el equilibrio así como cx los mols formados de monóxido de carbono y de cloro?
Creo que mi duda a la hora de hacer la tabla está controlada,he añadido una fila mas( nº moles eq, en n(alfa)), te paso foto. De todas formas me surge un nuevo problema, para calcular el grado de disociacion me falta ¨n¨ ( según el solucionario me pone q es 0,2) pero no sé de donde lo saca.
Muchas gracias por su ayuda
Supongo que sigues una pauta, no haces nada mal, introduces una n en la ecuación que no precisas.
al inicio se tiene una cantidad de moles de ellos en el equilibrio una parte o fracción pasan a productos esa fracción unitaria es la x
si empiezas digamos con 3 moles a la izquierda y al alcanzar el equilibrio pongamos que la mitad pasan a la derecha como productos
3 -->> 0 , 0
3(1-x) -->> 3x + 3x
0<=x<=1 en este caso la mitad serían x=0.5
Es así de sencillo
Hola buenas noches, me podrían ayudar con este ejercicio. En condiciones controladas el Hg(NO3)2 se descompone al calentarlo dando Hg(l), NO(g) y O2(g). Si al calentar 54,82g de nitrato mercúrico impuro se obtienen 3,65 L de O2 medidos en C.N.T.P. ¿Cuál es la pureza del nitrato?
Muchas gracias

Hola Leo: lo primero sería escribir la ecuación y ajustarla. Quedaría así: Hg(NO3)2 → Hg(l) + 2NO2(g) + O2(g)
Ahora sabemos que por cada mol calentado de Hg(NO3)2 se produce un mol de O2. Calculamos los moles de nitrato de mercurio, de masa molecular= 324,6g/mol → n=54,82/324,6 = 0,169 moles.
Ahora, si 1 mol de cualquier gas en condiciones normales ocupa 22,4 litros, x moles ocuparán 3,65L → despejamos la x obteniendo x= 0,163 moles de O2
Si el producto hubiese sido puro, se hubiesen obtenido los mismos moles de O2 que de Hg(NO3)2, de modo que haber obtenido menos indica que la muestra no es pura. La pureza la calculamos como: cantidad real/cantidad teórica x100 → 0,163/0,169 x100= 96,45% de pureza.
Saludos.
Hola buenas, tardes, podrian echarme una mano con este ejercicio de quimica
27. Se construye una pila en la cual uno de los electrodos es Zn metálico sumergido en una disolución acuosa 1,0 M de ZnSO4. El otro electrodo está constituido por un electrodo de Ag metálica sumergida en una disolución de iones Ag+ de concentración desconocida.
a) Escribir la notación de celda y las semirreacciones que tienen lugar en cada electrodo.
b) Escribir la reacción global de la pila y su valor de potencial de celda.
c) Calcular la concentración de los iones Ag+ de la disolución correspondiente, sabiendo que el potencial de la pila es 1,2 V.
muchas gracias unicoos

¿has visto estos vídeos?... Electrolisis
Se trata de que DESPUES DE IR A CLASE (ver los vídeos relacionados con vuestras dudas) enviéis dudas concretas, muy concretas. Y que nos enviéis también todo aquello que hayais conseguido hacer por vosotros mismos. Paso a paso, esté bien o mal. No solo el enunciado. De esa manera podremos saber vuestro nivel, en que podemos ayudaros, cuales son vuestros fallos.... Y el trabajo duro será el vuestro. #nosvemosenclase Nos cuentas ¿ok?
Hola buenas, estoy en ingenieria electronica de sevilla y la quimica general la llevo un poco mal. No entiendo en los ejercicios que no te dan todos los datos como debo saber yo el producto que falta? Aquí un ejemplo :
Al disolver 3 g. de una muestra impura de carbonato de calcio en ácido clorhídrico se producen 0,656 litros de dióxido de carbono (ccnn). Calcula el % en masa de carbonato de calcio en la muestra. Y me dan los pesos atómicos de: C,Ca,H y O.
lo que no entiendo de éste ejercicio es a la hora de plantear la reacción. Así la replantee yo:
CaCO3 + HCl ----- CO2 + H2O, pero aquí me falta que no lo sabía el CaCl2. ¿Cómo sé yo que falta un CaCl2 y no cualquier otro compuesto?
Muchas gracias.

Hola Juan Antonio, pues la verdad es que en el libro de química general deberías encontrar unas tablas que ojeándolas un poco le dan a uno una noción de los productos que se van a formar. Además, en cualquier reacción estequiométrica, los átomos que hay en los reactivos deben aparecer en los productos con la ecuación ajustada correctamente (ley de la conservación de la materia... Dónde ibas a dejar el Cl??)
Una vez ajustada la reacción vemos que por cada mol de CaCO3 se forma un mol de CO2, luego si 3g equivalen a 0,03 moles de CaCO3, deberíamos obtener los mismo de CO2. Pero si calculamos los moles a partir del volumen obtenido: si 1mol ocupa 22,4L, x moles ocupan 0,656 = 0,029 moles.
La pureza se calcularía: cantidad real/cantidad teórica x100 = 97,62% es la pureza del CaCO3 del que partimos.
Seguro que lo tenían hecho, pero por si acaso jeje.
Saludos.
Hola! Tengo una nueva duda de equilibrio, necesitaría que me dijesen si esté bien el apartado b) ( empieza justamente a partir de la Kc) . Os adjunto el enunciado:En una cámara de vacío y a 448ºC se hacen reaccionar 0,5 moles de I2 (g) y 0,5 moles de H2 (g) . Si la capacidad de la cámara es de 10 litros y el valor de Kc a dicha temperatura es de 50, determine para la reacción: H2 (g) I2 (g) 2HI(g) .
a) El valor de K p.
b) Presión total y presiones parciales de cada gas en el interior de la cámara, una vez alcanzado el equilibrio.
Muchas gracias por vuestra ayuda.