
No has pasado la masa del gas a gramos (así se te van las unidades, como lo pones no). Te recomiendo que en estos ejercicios tan sencillos en los que sólo hay que sustituir y tener cuidado con las unidades en las que se está trabajando, las tengas siempre presentes y las simplifiques cuando sea necesario para corroborar que el ejercicio está bien hecho.
hola tengo una dura con este ejercicio:en un recipiente se colocan 0,234g de H2 0,0214 moles de N2 y cierta masa de Ne.sabiendo que la precion total es de 890 torr y que la presion parcial de Ne es o,175 atm, calcule la masa de este ultimo colocada en el recipiente y las preciones parciales de los otros dos gases. como lo tendria que calcular?

Annii los 0,15 es la fracción molar del Neon como bien indica el símbolo X de la fracción molar, calculados a partir de la presión parcial y la presión total del sistema como puedes ver en la fórmula de la presión parcial que te puse en la pizarra: Pparcial= Ptotal · X(fracción molar del Neon en este caso)...
Conociendo la fracción molar y su fórmula es muy fácil calcular la masa de neón como puedes ver en color verde en la parte central de la pizarra...
Cualquier otra duda me lo dices, pero yo diría que más claro no podía ponerlo en la pizarra (me extraña que no conozcas la simbología...)
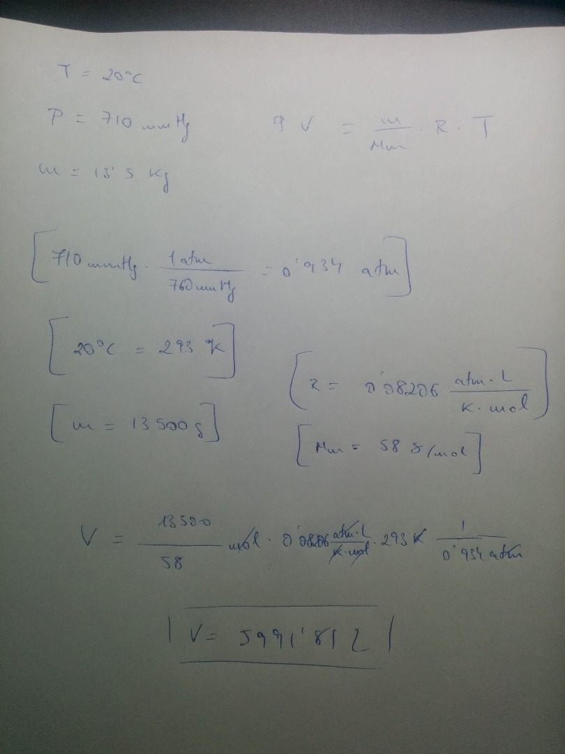
Alguien me puede ayudar a sacar este ejercicio.Se que debo sacarlo con la Formula PV=nRT pero no se como llegar al porcentaje que me piden
El bicarbonato de sodio se descompone según:
NaHCO3(s) E NaOH(s) + CO2(g)
Si se recogen 412 mL de CO2 a 56 ºC y 897 mmHg, ¿cual es el porcentaje de bicarbonato de sodio
(PM = 84 g/mol) descompuesta si la cantidad inicial del mismo era 2,0 g?

Hola Diego, el primer paso será convertir ese volumen que nos dan de CO2 en moles mediante la ecuación general de los gases. Lo primero será pasar todo a las unidades correspondientes para poder trabajar con dicha ecuación: 412mL de CO2= 0,412L; T=56ºC=329K; P= 897mmHg= 1,18atm. Ahora sustituimos estos datos en PV=nRT → 1,18·0,412=n·0,082·329 y despejamos n obteniendo un resultado de n= 0,018moles.
Según la ecuación estequimétrica, por cada mol de bicarbonato se produce un mol de CO2. Los 2g de NaHCO3 los dividimos entre la masa molecular 84g/mol obteniendo 0,0238 moles de bicarbonato. Vemos que esa es la cantidad de moles que deberíamos obtener de CO2 si la materia prima fuese pura, pero como hemos obtenido una cantidad inferior deducimos que no lo es (además hay otros factores como el rendimiento de la reacción, pero este no es el caso).
La pureza se mide de la siguiente manera: %pureza=(cantidad real/cantidad teórica)x100; de modo que sustituimos datos: %pureza= (0,018/0,0238)x100 = 75,6% de pureza.
Espero haberte ayudado.
Saludos!
En el apartado b) , alguien que me explique que es lo de gramos por litros de disolución , si se refiere a porcentaje ne volumen o algo así., Planteo: Se disuelven 5 gramos de Hcl en 35 gramos de agua. La densidad de la disolución es : 1,060 gr/ ml. Hallar la concentración de la disolución:
b) en gramos de soluto por litros de disolución.

Hola Enrique, ya que te dicen la densidad de la disolución, lo único que tienes que hacer es sumar ambas masas (soluto+disolvente) y ese resultado dividido por la densidad es igual al volumen de disolución → 5g de HCl + 35g de H2O = 40g de disolución (ác. clorhídrico); esos 40g / 1,060 = 37,7 ml = 0,0377L
La concentración en gramos de solito por litro de disolución la expresaremos: [HCl]= 132,6g/L
Soy yo de nuevo.
¿La electonegatividad es lo mismo que electroafinidad? Primero pensaba que electroafinidad era lo mismo que afinidad electrónica, pero me ha aparecido en el mismo libro una pregunta donde me pide las diferencias.
Gracias de antemano.

Hola Catalina, la electronegatividad es la capacidad de ciertos átomos de para atraer electrones; la afinidad electrónica se define como la energía liberada cuando un átomo gaseoso neutro en su estado fundamental captura un electrón y se forma un ion mononegativo.
La electroafinidad es lo mismo que afinidad electrónica, se puede llamar de las dos maneras.
Saludos.
Buenos días,
Repasando definiciones, me he hecho un lío con la carga nuclear efectiva. No termino de comprender si esta carga es una atracción. ¿Lo es? Es que mi libro me pone la fórmula pertinente y no la definición...
Gracias de antemano.

Hola de nuevo: la carga nuclear efectiva es la carga positiva neta experimentada por un electrón en un átomo polielectrónico. El término "efectiva" se usa porque el efecto pantalla de los electrones más cercanos al núcleo evita que los electrones en orbitales superiores experimenten la carga nuclear completa.
En un átomo con muchos electrones, los electrones externos son, simultáneamente, atraídos al núcleo debido a su carga positiva, y repelidos por los electrones cargados negativamente. La carga nuclear efectiva en un electrón de este tipo de átomo está dada por la siguiente ecuación: Z(efe)= Z - S
Saludos.
Hola, necesito ayuda para resolver un problema que parece fácil pero no me está saliendo. Acá va:
En cierta masa de hidrógenocarbonato de sodio (NaHCO3 M= 84g/mol) hay 1,51.10^24 átomos de oxígeno. ¿Qué cantidad de hidrógenocarbonato hay en dicha masa? Rta= 0,836 mol
Muchas gracias!!!!
Espero no haberme equivocado igual te recomiendo un video
QUIMICA moles y número de AVOGADRO
Hola a todos. No sé cómo resolver la siguiente pregunta, la cual es de Estequiometría. Por favor ayuda:
Una muestra de 1,367 gramos de un compuesto orgánico se quemó en corriente de aire y dio 3,002 gramos de CO2 y 1,640 gramos de H2O. Si el compuesto sólo contenía C, H y O:
A) ¿Cuál es su fórmula empírica?
B) Si su masa molar determinada experimentalmente es 60 gramos/mol. ¿Cuál es su fórmula molecular?
Necesito aprender cuál es el primer paso que debo hacer. Sé sacar fórmula empírica cuando dan porcentajes, pero de verdad no comprendo esta y todos los siguientes ejercicios son similares por lo que no ouedo avanzar.
Muchas gracias por leer esto :(

Vamos allá, Mai.
Te dicen que hay 1'367 gramos de un compuesto, y que de ese compuesto obtienes 3'002 gramos de CO2 y 1'640 gramos de H2O. Lo primero que debes hacer es calcular las masas moleculares de dichos compuestos (CO2 y H2O), que son 44u y 18u respectivamente.
Sabiendo esto, vamos a calcular cuántos gramos de carbono, de hidrógeno y de oxígeno tenemos. Calcula siempre el oxígeno al final porque hay en los dos compuestos y resultaría complicado empezar por él, así que vamos allá:
12 (masa del carbono) / 44 · 3'002 (gramos de compuesto en el que está el carbono) = 0'82 gramos de carbono.
2 (masa del hidrógeno, diatómico) / 18 · 1'640 (gramos del compuesto en el que está el hidrógeno) = 0'182 gramos de hidrógeno.
Y ahora, sabiendo las masas de carbono e hidrógeno, calcular la de oxígeno es muy fácil ----> 1'367 gramos del compuesto desconocido - ( 0'82 + 0'182) = 0'365 gramos de oxígeno.
Sabiendo los gramos, calculas los moles:
0'82 / 12 = 0'068 moles de carbono.
0'182/ 1 = 0'182 moles de hidrógeno.
0'365 / 16 = 0'23 moles de oxígeno.
Ahora dividimos por el más pequeño de estos números, ya que así averiguamos la proporción, por así decirlo, de los otros respecto a ese.
0'068/0'068 = 1
0'182/0'068 = 2'67 ∼ 3
0'23/0'068 = 3'38 ∼ 3
Deducimos así que la fórmula empírica del compuesto es: CH3O3
Para calcular la fórmula molecular, teniendo como dato la masa molar es muy fácil, otras veces te dan datos para emplear la fórmula de los gases ideales y se hace más engorroso. Sólo tienes que calcular los gramos/mol de compuesto de cada átomo de la fórmula. Lo harías de la siguiente manera:
0'068 gramos de carbono / 1'367 gramos de compuesto · 60 (masa molar) = 2'98 gramos /mol de compuesto ----> 2'98 / 12 (masa atómica de C) = 0'99 ∼ 1 mol de C /mol de compuesto.
0'182 / 1'367 · 60 = 7'98 gramos/mol de compuesto ------------> 7'98 / 1 = 7'98 ∼ 8 mol de H / mol de compuesto.
0'23 / 1'367 · 60 = 10'09 gramos/mol de compuesto -------------> 10'09 / 2 = 5'04 ∼ 5 mol de O /mol de compuesto.
La fórmula molecular es CH8O5
Estos ejercicios se hacen siguiendo SIEMPRE el mismo patrón. Espero haberte ayudado, y si tienes más dudas vuelve a comentar :)
Hola tengo un problema de estequiometria que no entiendo:
En una planta industrial se elabora diariamente soda caustica tratando 140,0 t de carbonato de sodio 98,5% pureza con agua y cal viva. La pureza de este material es del 94% en oxido de calcio y queda un exceso del 4,50%. La reaccion es: Na2CO3 (s) + CaO (s) + H2O (l) → NaOH (ac) + CaCO3 (ac)
Calcular la masa de cal viva necesaria y la produccion diaria de hidroxido de sodio si el rendimiento segun este metodo es del 94%

Haz el 98,5% de 140t para saber las toneladas puras de carbonato de sodio.
Pasalo a gramos y despues a moles.. Los moles de Na2CO3 te servirán para hallar los moles de CaO puros... Con esos moles y la masa molecular del CaO podrás hallar los gramos ( y despues los kg y toneladas puros de CaO).. Llamemos T a esas toneladas puras de CaO...
Como de cada 100 toneladas de cal viva, solo 94 toneladas son puras, las toneladas de cal viva serán T.100/94...
Te sugiero los videos de ESTEQUIOMETRIA, pureza... Estequiometría
Se trata de que DESPUES DE IR A CLASE (ver los vídeos relacionados con vuestras dudas) enviéis dudas concretas, muy concretas. Y que nos enviéis también todo aquello que hayais conseguido hacer por vosotros mismos. Paso a paso, esté bien o mal. No solo el enunciado. De esa manera podremos saber vuestro nivel, en que podemos ayudaros, cuales son vuestros fallos.... Y el trabajo duro será el vuestro. #nosvemosenclase Nos cuentas ¿ok?
Que tal? Consulta si tengo N2O4 -> 2 NO2 como es la entalpia (signo) la entropia (signo), por que? Y cual debera ser la temperatura para que la reaccion sea espontanea?

Una reacción será endotérmica (absorbe energía en forma de calor) o exotérmica (libera energía en forma de calor) en función del signo de la entalpía. Si la entalpía -o más bien su variación/incremento, que se representa por ΔH) es negativa significa que se desprende calor y por tanto es exotérmica, y si es positiva significa que absorbe calor y que es endotérmica. Para saber si el signo de la entalpía es positivo o negativo, debes averiguar si se trata de una reacción endotérmica o extotérmica, y dado que se trata de una reacción de 'escicisión' en la que una molécula se transforma en dos, será necesario un aporte de energía para romper los enlaces que unen la molécula de N2O4, de manera que absorberá calor, por lo que será endotérmica y, por lo tanto, su ΔH será positiva.
Respecto a la entropía, aclarar que dado que se trata de una magnitud que mide el 'desorden' del universo, es evidente que al escindir una molécula en dos más pequeñas, estamos aumentando la cantidad de partículas por unidad de volumen, y por lo tanto la entropía -el desorden- aumentará. Su signo será por lo tanto positivo.
Respecto a la última pregunta, debes fijarte en la fórmula que determina la llamada Energía libre de Gibbs, que es: ΔG = ΔH - T ΔS, donde ΔG es la energía libre de Gibbs, ΔH la variación de entalpía, T la temperatura y ΔS la variación de entropía -lo que analizamos en los anteriores apartados-. Según la teoría, una reacción es espontánea siempre y cuando la ΔG sea negativa, por lo tanto:
Sabiendo que la variación de entalpía de esta reacción es positiva y que su variación de entropía es también positiva, ΔG sólo será negativa -y por lo tanto la reacción, espontánea- si y sólo si el valor absoluto del término TΔS es mayor que el término ΔH, de manera que la temperatura debe ser positiva y siempre que TΔS sea mayor en valor absoluto que ΔH, ya que si la temperatura es negativa, estaríamos en el caso de ΔG = ΔH + TΔS, y siendo todo positivo, ΔG nunca podría ser negativa. Si por el contrario T es positiva pero nos suficientemente grande para que TΔS sea en valor absoluto mayor que ΔH, ΔG seguirá siendo positiva.
Espero haberte ayudado. Si sigues teniendo dudas, vuelve a comentar!