Hola, se supone que una de las diferencias entre la TEV y la TOM es que en la primera considera enlace localizados a diferencia de la segunda, sin embargo la TEV utiliza el concepto de resonancia para explicar la molecula de benceno refieiendose precisamente a la deslocalizacion de los enlaces entre orbitales p (enlaces "pi") , no es esto contradictorio?, quiero decir si la TEV siempre habla de enlaces localizados, como es que usa el termino de resonancia?

Con la TEV, simplemente describimos un enlace como una situación intermedia entre varias situaciones imaginarias posibles, así, el concepto de híbrido de resonancia sólo nos dice que, en promedio, ésa es la forma más cercana a la realidad en la que se va a encontrar nuestra molécula.
La TOM, en cambio, introduce el concepto de orbitales atómicos y moleculares, y de enlazantes y antienlazantes, en donde sí podemos decir con bastante certeza el grado de deslocalización (o localización) de un enlace.
Tu duda seguramente se genera porque, al hablar de la TEV, implícitamente se "meten" algunas cosas de la TOM.

En la TEV de una molécula de benceno, la resonancia viene dada según el coeficiente de participación en estructuras resonantes, en la cual tiene mayor participación (mayor probabilidad de ser) la que no tiene desplazamiento de cargas, por lo que la estructura resonante del benceno sería una mezcla de todas las estructuras posibles, en mayor o menor medida según la estabilidad. La TOM sí que hace referencia directa a movimiento de electrones por toda la molécula debido a que defiende que los enlaces son deslocalizados, generando también resonancia por todas las posiciones que pueden adquirir los electrones.
Yo creo que en realidad es lo mismo defendido desde dos puntos de vista diferentes.
Hola! Buenas tardes
Me gustaría que me ayudasen por favor a resolver este ejercicio,porque cuando me dan el número atómico si se obtener todo,pero si me dan cualquiera de las otras no sé como hacerlo
El primer elemento tiene z=12. Su configuración electrónica será 1s²2s²2p₆3s².La carga más probable del ión viene dada por la configuración electrónica, la cual consigue dicha carga probable mediante conseguir la configuración de gas noble u obtener el orbital semiocupado. La carga más probable de dicho ión sería +2 . Tal como se señala al final del enunciado, a la hora de asignar los últimos 2 números cuánticos, los valores negativos se pondrán en primer lugar. Por tanto, a la hora de definir los números cuánticos, los números cuánticos que definen al e- diferenciador serán: (3,0,0,+½) .
La configuración electrónica del elemento B sería 1s₂2s₂2p₆3s₂3p₆4s₂3d₆. Pertenecerá ,según su configuración electrónica, al período 4 y al grupo 8. La carga de ión más probable será +2 para eliminar el nivel 4 de valencia. El estado cuántico del electrón diferenciador será:
(4,0,0,+½).
Tal como se expone en el estado cuántico del e- diferenciador, dicho electrón será el orbital 3p₄. Teniendo en cuenta dicho orbital, podemos afirmar que la configuración electrónica será 1s₂2s₂3s₂3p₄. El número atómico Z de C será 16. La carga más probable de su ión será -2. El elemento se encuentra en el período 3, grupo 16.
Por último, según la descripción del D (configuración electrónica idéntica al tercer gas noble) , indica que, si se consigue dicha configuración con carga +1, el elemento se encontrará en el grupo 1 del período 4. Realizando la configuración electrónica del elemento (1s₂2s₂2p₆3s₂3p₆4s₁), comprobaremos que el elemento tendrá Z=19.
Te recomiendo los siguientes recursos:
Configuración electrónica y números cuánticos. Moeller AUFBAU
http://www.unicoos.com/imagenes/4f3660af89ea394c66f3ac45a7e9c67d.jpg
Hola! PRegunta de equilibrio, cuando se pone en la reacción final, si por ejemplo tenemos moles 7-x o 7α, es decir, cuando ponemos alfa y cuando x ? Aparte de quitar Kc cuanto es pequeño el valor, muchas gracias !!
Hola unicoos un favor ayúdenme con el problema 13.le doy muchas vueltas sin conseguir el resultado GASES IDEALES

Po.Vo/To = P1.V1/T1...
La presion inicial es Po= Patmosferica + Pa11mdepronfundidad = 75 mmHg + h.d.g = (75/760).101300 + 11.1000.9,8 Pa
La presion final es (75/760).101300 Pa
To=4+273=277 K
Tf=12+273=285K
Te sugiero estos vídeos.. Presión hidrostática Gases ideales
Buenas tardes! Quisiera saber como hacer este problema ya que con fracciones en los ordenes parciales me cuesta trabajar...
Calcula las unidades de K (constante de velocidad) si α=2 β=3/4. Dato: unidad de la velocidad= mol/l∗s
Buenas! Quisiera saber como obtener la concentración de la sal en los puntos A y B, ya que en esos puntos la cantidad de moles de hidróxido de potasio y del ácido no son iguales y no estoy seguro de como hacerlo. Gracias

Hola Emiliano! Para este ejercicio lo mejor es usar la ecuación de Henderson-Hasselbach.
Lo primero sería hallar la concentración de H+ en la disolución de 50ml de ácido benzoico 0,5M
Lo siguiente es empezar con los añadidos de KOH; el primero es de 20ml, lo que nos dará un volumen total de 70ml, y en base a ese nuevo volumen se calculan las nuevas concentraciones (para ello tienes que haber calculado previamente los moles de cada sustancia).
Cuando tenemos esas dos nuevas concentraciones en base a la mezcla de las dos disoluciones, usamos la siguiente fórmula:
pH= pKa + log([sal]/[ácido])
El pKa es igual a -log de Ka; y cuidado con el log[sal]/[ácido], hay que respetar el signo.
Si te queda alguna duda me comentas y te echo una mano. (Te chivo que el a) me da un pH=2,49)
Saludos!
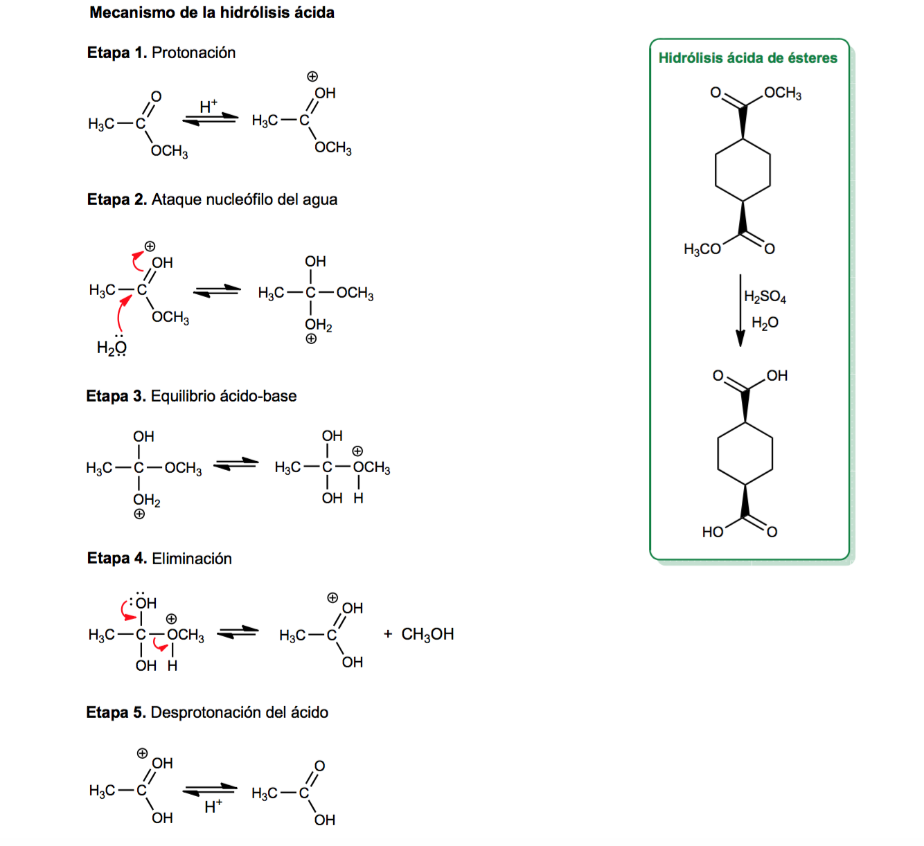
HOLA me podrian ayudar como se hace la hidrolisis de esteres en medio acido y su mecanismo

Hola Gabriela! Los ésteres se hidrolizan formando ácidos carboxílicos y alcoholes cuando se les calienta en medios ácidos o básicos. La hidrólisis de los ésteres es la reacción inversa a la esterilización.
Te paso la imagen del mecanismo de la reacción de mi libro de orgánica.
Saludos!
Hola. ¿No hay nada de formulación inorganica?
Me vendria muy bien repasarla.

Hola Adrian,
Si no también los tienes ordenados en esta página.
Puedes buscar los videos que necesites con el buscador de arriba a la derecha, una lupa, con palabras clave y te saldrán los vídeos correspondientes.
En este caso, te dejo el tema que necesitas: Formulación inorgánica