Para la reacción siguiente:
2 C2H6 (g) + 7 O2 (g) -- para dar--- 4 CO2(g) + 6H2o (g) AH
hola buenas estoy en tercero de la eso y bueno pues mañana tengo un examen de fisica y de quimica en la que entra la estequiometria. Mayoritariamente en la ajustacion de reactivos y productos la entiendo pero a la hora de hacer las proporciones entre reactivos y productos no la entiendo y mucho menos decir las relaciones de estequiometria entre ellos. Sé que ya no me da tiempo pero si alguien me lo pudiera decir ya por lo menos para tenerlo aprendido :). Graciias

Lo unico que podría decirte, si llego a tiempo, es que por escrito no podría explicartelo y si lo consiguiera sería muy dificil que lo entendieras.... Lo ideal... Estequiometría
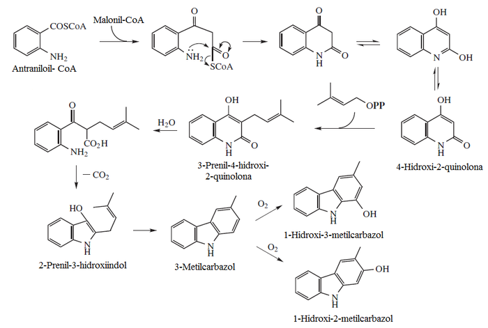
ola podrian hablar de los carbazoles y en esta imagen me podrian a ayudar como pasa de una rx a otra por favor
No entiendo este problema. Alguien podría decírmelo, gracias de antemano. Reaccionan 112g de N2 según la reacción N2 + 3H2 = 2NH3 Lo que no se es calcular el número de moléculas formadas.
(Masa de hidrogeno necesaria 24g)
Tienes que tener en cuenta que tienes 24g de H2 y 112g de N2. Lo que yo te recomiendo es que calcules cuantos gramos de H2 se necesitan para formar los 2 moles de amoniaco (que serian 6g ya que la molecula de H2 tiene esa mm y necesitas 3 de la misma) . Y con eso realizas una regla de tres con el siguente razonamiento:
Si con 6g de H2 se me forman 2 moles de NH3, con 24g ¿Cuanto se me forma? Respuesta: (24x2)/6 = 8 moles
Y luego tienes que corroborar que te alcance el N2 para poder formar los 8 moles de NH3, asi que vuelves a hacer otra regla de 3:
Si para formar 2NH3 necesito 24g de N2 (es lo que pesa un mol), para formar 8 moles ¿Cuanto necesito? Respuesta: (8x24)/2 = 112g
Entonces ahi puedes ver que efectivamente se formaran 8 moles de la molecula.
Hola! Necesito ayuda con la cuestión 1 de este examen de pau. No sé cómo seguir después de formular el cloroetino porque nunca he practicado este tipo de ejercicio con este compuesto (el último apartado sí sabría resolverlo)

Una vez formules el cloroetino verás que tiene un triple enlace. Ésto es, para triples enlaces, los dos átomos de carbonos tendrán hibridación sp (Pues el carbono sólo tiene 2 direcciones de enlace, la del triple enlace, y la del Cl o H respectivamente). Por tanto, la geometría es relativamente fácil, pues es una molécula lineal, α=180º.
Respecto a la segunda parte, si es soluble en compuestos polares, te está preguntando que si esa molécula es o no polar. Como ves, tiene un momento dipolar que va del C al Cl, y otro que va del C al H, no obstante, como la diferencia de EN entre el C y el H es mucho menor que entre el C y el Cl, su vector momento dipolar será menor, y por tanto, la molécula tendrá un momento dipolar total no nulo, siendo una molécula ligeramente polar que, debido al principio de semejanza, sí se podría disolver en compuestos polares.
Para la hidratación de alquenos por markonikov, esta reaccion como sería?? CH2=CH-CH3 + H2o---> CH2OH-CH2-CH3 o sería así CH3-CHOH-CH3 ??

La segunda opción! Markovnikov dice que el hidrógeno se va al carbono menos sustituido (o sea, el que tiene más hidrógenos) y el grupo hidróxido al carbono más sustituido.
Por curiosidad... Esto lo estás viendo en bachiller o en primero de carrera? (Simple curiosidad jeje)
Saludos!
En las reacciones de química del carbono, la adición es aquella en la que los dobles y triples enlaces se sustituyen por hidrógenos,
¿Estas reacciones si se sustituye por HCl, el hidrogeno se va al más sustituido y el cloro al menos sustituido o al revés?
Llevo un cacao mental entre las reacciones de adición y eliminación que no es normal jajaja
Si el reactivo a adicionar es un triple enlace más F2 la reacción que nos daría sería de doble enlace o simple enlace?

Hola! Como te puse arriba: la regla establece que, con la adición de un reactivo asimétrico del tipo H-X a un alqueno o alquino, el átomo de hidrógeno lábil se une al átomo de carbono del doble o triple enlace con el mayor número de átomos de hidrógeno, y el grupo halogenuro (X) se une al átomo de carbono del doble o triple enlace con el menor número de átomos de hidrógeno.
Si el caso es adicionar un halógeno, para lo cual es necesario la presencia de fósforo rojo como catalizador, el producto obtenido es un alqueno (doble enlace), con un átomo de halógeno en cada carbono que formaba el triple enlace.
Saludos!
hola hace unos momentos comente su video de youtube sobre la fem e hice la pregunta si tengo la fem y el par redox como calcular la concentracion de fe2+ aca dejo el enunciado
El par redox de una celda galvánica es Cuº/Cu2+ (x M) y H2(1 atm)/H+(1.0M). La FEM
de la celda galvánica fue de 0.295 V. Calcule la concentración del Fe2+.