Hola!!
Me podríais ayudar a plantear el ejercicio......no creo que sea muy complicado pero me he estancado....
La sacarosa-P se sintetiza por reaccion de fructosa y glucosa-P, segun el eq:
Fructosa+Glucosa-P-----Sacarosa-P
La constante de este eq es 0.05
Hasta que volumen debe ser diluida una disolucion que contiene 0.05moles de cada uno de los reactivos, fructosa y glucosa, para que en el equilibrio enzimatico se tenga un 3% de conversion a sacarosa?
- Planteo los moles iniciales 0.005 de cada reactivo, y he planteado que debe haber un 3% de estos moles en el producto, que sería 1.5.10-3...pero no se seguir......
Nombramos como alfa a la fracción que reacciona, como es el 3% alfa será 3/100 ósea 0.03
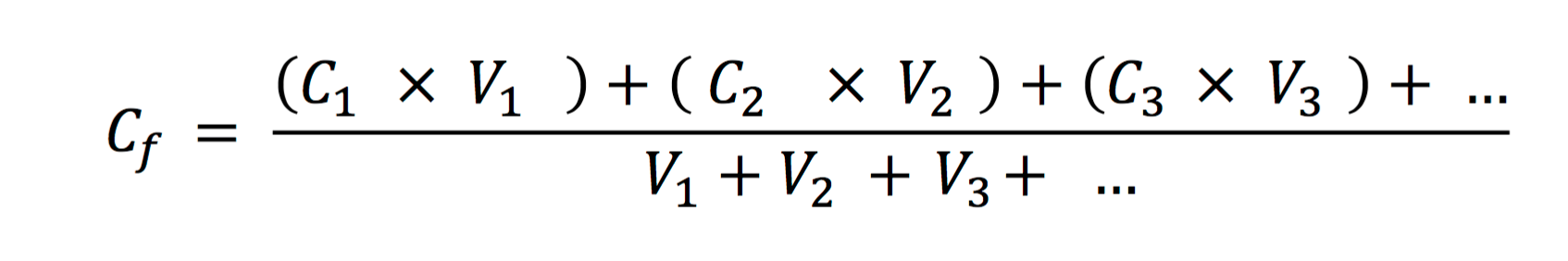
Puesto que son los mismos moles de cada reactivo, la concentración es la misma para ambos y en la imagen que te anexo está el proceso
La multiplicación de alfa por la concentración inicial ( que abrevió como Co) es la porción que reaccionó.
El chiste aquí es calcular Co para después de la fórmula M = n/V calcular V
Calcula el volumen de ácido clorhídrico de densidad 1,14 g/cm³ i de 28% en masa necesario para neutralizar una disolución que contiene 125g de hidróxido de sodio.
Ya he realizado el ejercicio pero no acabo de entender porque se usa el % de esta manera.
Si alguien se sorprende por algo que parece mal escrito aclaro que está en catalán :D.

El HCl que utilizas no está totalmente puro (en realidad no puedes tener HCl puro a temperatura y presión normales), por eso disolvemos HCl (g) en agua, para obtener una disolución de un determinado % de riqueza de HCl. En tu caso, la riqueza es del 28%, que significa que, de cada 100 g que cojas de esa disolución, 28g serán de HCl, y 72g serán del disolvente (generalemente suele ser agua). Por lo tanto, tiene sentido pensar que, si necesitas un determinado número de moles de HCl y partes de una muestra impurificada, debas coger más de lo que necesitas. También se puede ver poniendo "apellidos" en los factores de conversión, puedes verlo como 28g HCl (puro) en cada 100g HCl (comercial, "impuro").
¿Alguien me ayuda?
Zn+2HCl----ZnCl2+H2
Calcula el volumen de una disolución 1M necesario para que reaccionen completamente 5kg de zinc.

Hola Sala! Para este problema lo primero que haría, ya que la reacción está ajustada, sería hallar los moles a los que equivalen 5kg de Zn→ n=5000gramos/65,4 (Mm del Zn)= 76,45 moles; que según la relación 2:1 reaccionarán con 152,9 moles de HCl. Si la molaridad es igual a moles de solito dividido volumen de disolución en Litros → 1M=152,9/Volumen disolución (L) → V(L)=152,9 litros será el volumen necesario para hacer reaccionar 5kg de cinc.
Espero haberte ayudado. Saludos!
Buenas, ¿podríais ayudarme con este ejercicio? He estado mirando los vídeos de ajuste tanto en medio ácido como básico, pero en los que tengo que hacer yo me dan ya las valencias, y algunas no cuadran. ¿Cómo tendría que hacer esto? Muchísimas gracias!

Hola Alba! Yo ajustaría poniendo un 3 delante del SO4^2-
La explicación es que a ambos lados de la ecuación debe existir la misma carga total, de modo que el los reactivos tenemos una carga total de -4 (la suma de ambas cargas negativas: -2-2=-4); en los productos (sin ajustar) tenemos una carga de 0 (la suma de las cargas: -2+2=0) de modo que para conseguir igualar la carga total solo tenemos que multiplicar por 3 la carga negativa de modo que 3(-2)=-6 y la carga total sería -6+2=-4, exactamente igual que en los reactivos.
Esto se debe a que el anión SO4^2- al multiplicar por el coeficiente estequiométrico 3 tiene 6 electrones de los que 2 se los queda el mismo anión para mantener su carga negativa, y 4 electrones se los cede al manganeso (Mn) que para del estado de oxidación +7 a +2 en los productos.
Espero haberme explicado bien! Saludos!
Holaaa, alguien me podría decir por qué la fórmula de la metilbutanona es así: CH3CH(CH3)COCH3?
El metil no debería estar en el primer carbono?
Muchas gracias!!!!

Hola Alba! Si el metil estuviese en el primer carbono ya no sería un grupo sustituyente sino parte de la cadena principal, y ésta pasaría a llamarse 3-pentanona.
La molécula que nos planteas es la 3-metil-2-butanona, que como bien has simplificado, es la metilbutanona, ya que los grupos funcionales en este caso no pueden ir en otro lado, o sea, que no tenemos isómeros de posición para esta molécula (no confundir con isómeros de cadena, que como he indicado antes, uno sería la 3-pentanona).
Saludos!
Se mezclan 75 mL de HCL 0,2M con 50 mL de HCL 0,5M. Con la disolución resultante se valoran 20 mL de una solución de NaOH. utilizandose 25 mL. Cual es su molaridad?
No entiendo la parte de la valoración.
Gracias de antemano.

Hola Ivan! La técnica de valoración se usa en el laboratorio para averiguar la concentración desconocida de un reactivo conocido. De modo que averiguando la molaridad de la mezcla de clorhídrico, podremos saber la molaridad de la disolución de NaOH.
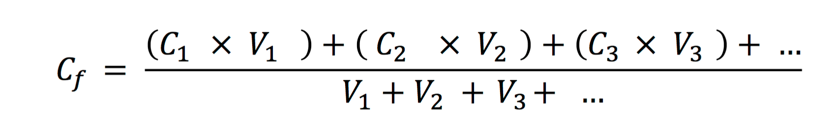
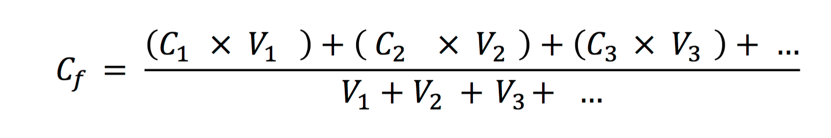
Mediante la fórmula que te dejo en la foto hallamos la concentración final de la mezcla de los dos HCl, siendo igual a 0,32M.
Según la fórmula:
Vacid · Macid · nº H+ cedidos = Vbas · Mbas · nº H+ ganados ( o de OH- cedidos)
25ml · 0,32M · 1 (H+ cedido) = 20ml · Mbas · 1 (H+ ganado)
Mbas(concentración de NaOH)= 0,4M
Buenas, esta semana tengo un examen de estequiometria y no entiendo este ejercicio. Agradecería mucho que me lo explicarais.
''Reaccionan 9X10 elevado a 24 moléculas de hidrogeno con nitrógeno para formar amoniaco según la reacción: H2 + N2 = NH3 El ejercicio me pide calcular la masa de nitrógeno necesaria para la reacción y el numero de moles de amoniaco formado. Si puedes explicármelo....

Hola Pablo! Yo lo entiendo de la siguiente manera: un mol de moléculas de hidrógeno (H2) equivale al número de avogadro (6,022x10^23) moléculas de H2; luego si dividimos ese 9x10^24 entre 6,022x10^23 nos queda aproximadamente 15 moles de H2. A partir de ahí solo tenemos que ajustar la reacción para dicho resultado, de lo que obtengo la siguiente ecuación ajustada: 15 H2 + 5 N2 → 10 NH3
La masa de nitrógeno necesaria es la equivalente a 5 moles de N2 → 5x(14x2)=140gramos
Y observamos que se produces 10 moles de amoniaco después de haber ajustado la ecuación estequiométrica.
Espero haberte ayudado. Saludos!

Hola dAy! Te recomiendo que le eches un vistazo a los vídeo de: Estequiometría
Con ese repaso seguro que eres capaz de ajustar la reacción y resolver lo que te piden en el problema, estoy segurísimo.
Si tienes problemas después de haberlo intentado cuéntame y te echo un cable.
Saludos!
Te dicen carbonato de sodio y por otra parte cal apagada, de la cual te dan la fórmula.
Tendrías que saber formular el carbonato de sodio, que es una sal.
Teniendo los reactivos, te da uno de los productos, el Na(OH) , en el cual se juntan el catión del carbonato de sodio con el anión del hidróxido de calcio.
Por lo tanto te quedaría libre el anión del carbonato: CO3- que se juntaría con el catión del hidróxido de calcio, el Ca+
El CO3- proviene del ácido carbónico, que es H2CO3, por lo tanto el catión que se va a juntar con el tiene que tener valencia 2, y el Calcio la tiene.
Conclusión, Ca2CO3
Espero que te haya servido!