¡UPS! Para ver vídeos en la web debes estar registrado, es totalmente gratuito.

Recuerda además que sólo por ser unicoo, GRATIS, podrás dejar tus dudas en los foros de beUnicoos, acumularás energy y help points y ganarás decenas de medallas. Registrarte solo te llevará unos segundos. Nosotros somos unicoos ¿y tú? #nosvemosenclase

Tasa de variación media

Correspondiente a 2ºESO, calcularemos la TASA DE VARIACION MEDIA (TVM)de una funcion en un intervalo dado, esto es, el cociente entre la tasa de variación y la amplitud del intervalo considerado sobre el eje de abscisas.
Para ello utilizaremos la formula TVM=[(f(b)-f(a)]/(b-a)
Además, explicaremos el significado gráfico de dicha tasa y lo relacionaremos con algunos conceptos fisicos y matematicos.

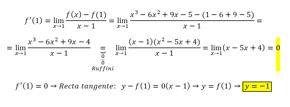
FE DE ERRORES
Minuto 2:25 En el denominador hay un 3 y voy por "la cara" y lo convierto en un 5. XD!
¿las razones? Varias. 1º Porque estaba pensando en el resultado final.
2º Para que veais lo que no se debe hacer. 3º Para ver si estáis atentos. 4º Porque cometo en ocasiones los fallos más tontos del mundo....

Agregar a mi mochila
0/ 175

* Para utilizar tu mochila o guardar tu progreso y acumular energy points debes ser usuario registrado. Regístrate o inicia sesión

Foro de preguntas y respuestas

logo beUnicoos
Los foros de unicoos se han unificado en nuestra nueva plataforma beUnicoos. Para dejar nuevas preguntas deberás hacerlo allí, donde además podrás encontrar nuevas asignaturas y herramientas para ayudarte más con tus estudios.
  • icon

    Julian
    el 24/3/18

    En mi temario de matemáticas, en los ejercicios no pone cuál es la función, solo hay una gráfica y unos intervalos, y de ahí tengo que hallar la Tasa de Variación Media. ¿Cómo la calculo?

    replythumb_up0 voto/sflag
  • icon

    Izaskun Etxezarreta
    el 28/1/18

    Hola, en la teoría de los temas 8 y 9 (derivadas) de las matemáticas aplicadas a las ciencias sociales, falta la solución de las actividades propuestas. En otros temas hay un cuadradito a la izda. del ejercicio, donde te muestra la solución.

    ¿Están las soluciones en algún otro sitio? 

    Gracias


    replythumb_up0 voto/sflag
    icon

    David
    el 1/2/18

    No, en este caso no, lo siento... Pero puedes dejarnos una foto en el foro general de matematicas con tus soluciones paso a paso y podemos corregirtelas. 

    thumb_up0 voto/sflag
  • icon

    Guillermo
    el 29/8/17

    por que acaba partido de 5???



    replythumb_up0 voto/sflag
    icon

    Antonius Benedictus
    el 29/8/17

    Si vas debajo de la pantalla al icono (!) , que es la "fe de erratas", el propio David te explica el error.

    thumb_up3 voto/sflag
  • icon

    Tere Pallarés
    el 20/4/17

    Buenos dias

    Podría recomendarme algún libro de ejercicios resueltos del teorema del valor?

    replythumb_up0 voto/sflag
    icon

    Antonius Benedictus
    el 20/4/17

    http://www.vitutor.com/fun/6/ejrcicios_rolle.html

    thumb_up3 voto/sflag
  • icon

    Tere Pallarés
    el 19/4/17

    Hola,en este ejercicio me habla de teorema del valor medio,aunque la resolucion es la misma.

    Entonces,el teorema del valor medio es lo mismo que la tasa de variacion media?

    replythumb_up0 voto/sflag
    icon

    Antonius Benedictus
    el 19/4/17

    No exactamente.

    El Teorema del Valor Medio viene a decir que, en las condiciones exigidas, la derivada coincide con la tasa del valor medio por lo menos una vez en un valor intermedio.

    thumb_up1 voto/sflag
  • Usuario eliminado
    el 7/4/17
    flag

    hola buenas tengo un examen de derivadas basado en tres ejercicios que pondré a continuación, pero no tengo ni idea de por donde empezar. Estoy cursando 1º de bachillerato semipresencial y mi profe no me da muchas opciones de seguir la materia ya que casi no puedo ir a clases. Bueno ahí lo dejo. Un saludo.

    Ejercicio 1º:

    Ejercicio 2º:

    Ejercicio 3º:



    replythumb_up0 voto/sflag
  • icon

    Santiago
    el 3/4/17

    4-1 es 3 , no 5 Einstein 

    replythumb_up0 voto/sflag
    icon

    Antonius Benedictus
    el 3/4/17

    Está controlado en el icono ! (errores)

    thumb_up1 voto/sflag
  • icon

    Lionel Kukelana
    el 2/4/17

    de donde sale el 5?


    replythumb_up0 voto/sflag
    icon

    Antonius Benedictus
    el 2/4/17

    ¡Despiste de David! Lo pone el botón !

    thumb_up0 voto/sflag
  • icon

    Jhonatan ipiales
    el 30/3/17

    nesecito ayuda con esto he visto sus videos y otros videos aparte de su canal y no entiendo estos ejercicios ni si quiera mi libro me ayuda 

    replythumb_up0 voto/sflag
    icon

    Antonius Benedictus
    el 30/3/17

    Termina tú las operaciones.

    thumb_up0 voto/sflag
  • icon

    Tayba Bin Muslim
    el 14/3/17

       Hola! Hay algún ejercicio como estos que hayas explicado David??

    replythumb_up0 voto/sflag
    icon

    Antonius Benedictus
    el 14/3/17

  • icon

    José Manuel
    el 16/10/16

    ¿Estas seguro que el denominador es 5? Me parece que te has equivocado. Debería ser 3 ¿No?


    replythumb_up1 voto/sflag
  • Usuario eliminado
    el 19/7/16

    ¿David, por qué en tu lista de reproducción de YouTube hay más videos de derivadas que en la página unicoos.com?


    https://www.youtube.com/playlist?list=PLECDFCC48AD8F3247

    replythumb_up0 voto/sflag
    icon

    David
    el 26/7/16

    Porque en la web están organizados en diferentes cursos, temas o lecciones...

    thumb_up2 voto/sflag
  • icon

    Eduardo Romano Valbuena
    el 5/4/16

    Hola de donde sacas el 5 en el denominador creo que es un error.

    replythumb_up2 voto/sflag
    icon

    David
    el 7/4/16

    Lo aclaro en el apartado de "errores" (esquina inferior izquierda del reproductor). GRACIAS!

    thumb_up3 voto/sflag
  • icon

    Débora
    el 6/3/16

    David, buenas tardes y perdón por las molestias, no se donde hacer el comentario, así que pido disculpas si por acá no es el lugar correcto.
    descargué el material adicional que adjuntan, "tabla de derivadas" la verdad está bárbaro !! pero....
    la derivada y= u^n , no seria y'= n*u(n-1) ?
    MUCHAS GRACIAS
    y perdón por las molestias!!!!
    cariños desde Arg.

    replythumb_up2 voto/sflag
    icon

    David
    el 8/3/16

    La derivada de una funcion elevda a un numero es n.f^(n-1). f'... Hay que multplicar por la derivada de la función, aplicando la REGLA DE LA CADENA... En caso de que sea x^n, la derivada sí es n.x^(n-1) porque la derivada de x es 1... ¿mejor?

    thumb_up3 voto/sflag
  • icon

    Sergio
    el 21/12/15

    Saludos David:

    Una pregunta, ¿Por donde me recomiendas empezar a ver las derivadas? Es decir, directamente empiezo por estos vídeos y no me hará falta nada más o me hace falta alguna base específica.

    Cabe destacar que soy alumno de 1º de Bachillerato de ciencias y me apetece hacer algo matemático xD, por cierto saco muy buena nota en el anterior examen de Trigonometría y Nº Complejos gracias a ti ¡Gracias!

    Espero su respuesta, Sergio.

    replythumb_up1 voto/sflag
  • icon

    Reider
    el 25/8/15

    David, me piden calcular a partir de la función:

    X(t)= -200+150t+5t^2

    derivando V(t) = 150 +10t

    . Cuál es la velocidad media del móvil en el intervalo [2;4]

    . Cual es la taza de variacion media del móvil de la posición respecto al tiempo en el intervalo [2;4].

    ¿No es acaso lo mismo?

    replythumb_up0 voto/sflag
    icon

    David
    el 29/8/15

    Es lo mismo... Por eso te lo preguntan, para que fijes ese concepto...

    thumb_up1 voto/sflag
  • icon

    christian picon calderon
    el 4/6/15

    profe el [1,4] es un punto cordenadas (X,Y) o es una distancia (x1,x2)?, si es una distancia por eso se pone entre `[] corchetes? gracias.

    replythumb_up1 voto/sflag
    icon

    David
    el 6/6/15

    No es un punto. Es un intervalo cerrado...

    thumb_up2 voto/sflag
  • icon

    juan
    el 21/5/15

    Profe tienes algún vídeo de tasa de variación en el que uses esta fórmula:
    (f(a+h)-f(a))/h?

    replythumb_up0 voto/sflag
    icon

    David
    el 23/5/15

    En los de DEFINICION DE DERIVADA... Definición de derivada #nosvemosenclase

    thumb_up0 voto/sflag
  • icon

    Maxi
    el 11/3/15

    la tasa de variación media no seria 5? , cambias el 3 por e 5 en la división la tasa de variación media debería ser 5

    replythumb_up2 voto/sflag
    icon

    David
    el 11/3/15

    Muy atenta!! Echale un vistazo al icono de "errores" en la esquina inferior del video..

    thumb_up3 voto/sflag