¡UPS! Para ver vídeos en la web debes estar registrado, es totalmente gratuito.

Recuerda además que sólo por ser unicoo, GRATIS, podrás dejar tus dudas en los foros de beUnicoos, acumularás energy y help points y ganarás decenas de medallas. Registrarte solo te llevará unos segundos. Nosotros somos unicoos ¿y tú? #nosvemosenclase

Derivada utilizando la definición 03

Correspondiente a 1º de Bachiller, resolveremos la derivada de una función utilizando la definición.
En este caso, 1/√(x-1). Para ello será imprescindible racionalizar la expresión resultante e ir resolviendo las sucesivas indeterminaciones del tipo 0/0.

Agregar a mi mochila
0/ 724

* Para utilizar tu mochila o guardar tu progreso y acumular energy points debes ser usuario registrado. Regístrate o inicia sesión

Foro de preguntas y respuestas

logo beUnicoos
Los foros de unicoos se han unificado en nuestra nueva plataforma beUnicoos. Para dejar nuevas preguntas deberás hacerlo allí, donde además podrás encontrar nuevas asignaturas y herramientas para ayudarte más con tus estudios.
  • icon

    Elena
    el 18/4/19
    flag

    Siguiendo la definición me da el mismo resultado pero considerando f(x)=x"-1/2 y g(x)=2x-1 y haciendo f(g(x)). Resulta -(2x-1)"3/2. Y los resultados no me coinciden. ¿El fallo donde se situa?¿ o -(2x-1)"3/2  es equivalente a -(2x-1)"-3/2?


    replythumb_up0 voto/sflag
    icon

    David
    el 26/6/19

    Te sugiero subas una foto al foro general, con el enunciado literal. Allí podremos ayudarte mejor...

    thumb_up0 voto/sflag
  • icon

    alberto
    el 20/2/19

    Aplicando la fórmula de la división no me sale el mismo resultado. Creo que es por culpa del 1 del numerador, eso hace que se considere una potencia con exponente negativo (y puesto en forma de fracción) y no una división de 1 entre todo el denominador.

    ¿Estoy en lo cierto?

    replythumb_up0 voto/sflag
    icon

    David
    el 21/2/19

    Si nos envias una foto con todo lo que hiciste paso a paso, podremos saber que hiciste mal. En el foro general de matemáticas.


    thumb_up0 voto/sflag
  • icon

    Antonella Correa
    el 6/10/17

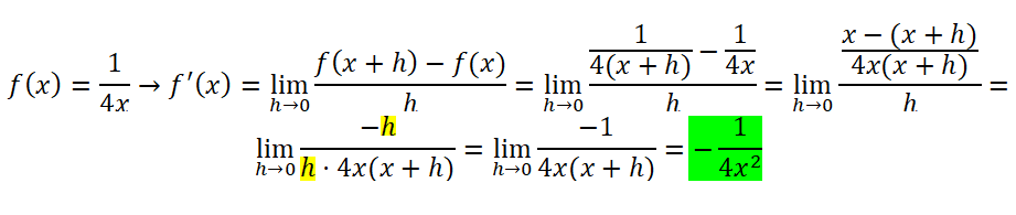
    Hola! Como puedo resolver la derivada por definición para 1/4x ?  

    replythumb_up0 voto/sflag
    icon

    Antonius Benedictus
    el 7/10/17


    thumb_up5 voto/sflag
  • icon

    Francisco
    el 25/5/17

    Hola David! No crees que seria mas rapido con la formula que hay en las divisiones? ( u/x= u'*x-u*x'/x^2)

    replythumb_up1 voto/sflag
    icon

    Antonius Benedictus
    el 25/5/17

    Lo es Francisco. Pero el ejercicio dice "aplicando la definición", y no "aplicando las fórmulas de derivar". Un saludo.

    thumb_up1 voto/sflag
  • icon

    Kevin Lizarraga
    el 11/11/16

    disculpa y para raices cubicas y quintas como puedo resolverlas?


    replythumb_up0 voto/sflag
    icon

    David
    el 13/11/16

    Con mucha paciencia. No sabría que decirte sin ver el enunciado...
    Para dudas que no tienen que ver explicitamente con lo que hago en un vídeo, lo ideal es que uséis el FORO GENERAL de matemáticas, física o química

    thumb_up1 voto/sflag
  • icon

    daniel garcia
    el 14/6/16
    flagflag

    podrias resolver y=1/x-1 cuando x=2 por la definicion porfa

    replythumb_up0 voto/sflag
    icon

    David
    el 19/6/16

    Para dudas que no tienen que ver explicitamente con el vídeo, lo ideal es que uséis los foros generales de matemáticas, física y química
    Se trata de que DESPUES DE IR A CLASE (ver los vídeos relacionados con vuestras dudas) enviéis dudas concretas, muy concretas. Y que nos enviéis también todo aquello que hayais conseguido hacer por vosotros mismos. Paso a paso, esté bien o mal. No solo el enunciado. De esa manera podremos saber vuestro nivel, en que podemos ayudaros, cuales son vuestros fallos.... Y el trabajo duro será el vuestro. #nosvemosenclase Nos cuentas ¿ok?

    thumb_up2 voto/sflag
  • icon

    Urameshi
    el 26/11/15

    en el final, cuando queda (2x-1).√(2x-1) no se puede simplificar quedando 2x-1 directamente?

    replythumb_up0 voto/sflag
    icon

    David
    el 28/11/15

    No pues (2x-1) esta fuera de la raiz cuadrada... con un ejemplo más sencillo...
    2√2 no es igual a √2²=2.... Sería √(2².2)=√2³=√8... ¿mejor?

    thumb_up1 voto/sflag
  • icon

    Itzel
    el 31/10/15

    Porfe no entendi el comun denominador......
    como se saca?

    replythumb_up0 voto/sflag
    icon

    David
    el 3/11/15

    El comun denominador de dos fracciones se obtiene hallando el minimo comun multiplo...
    A partir de ahí, te sugiero los videos de "expresiones algebraicas"... No sabría decirte más...

    P.D. Para la proxima, sería genial nos comentases el minuto:segundo exacto en el que te asaltan las dudas. Besos!

    thumb_up0 voto/sflag
  • icon

    Len
    el 22/5/15
    flagflag

    por favor ayudame hacer estos ejercicios, tengo examen manana ....

    replythumb_up1 voto/sflag
    icon

    David
    el 23/5/15

    ¿RESOLVER? ¿Que te piden? ¿DERIVARLAS?.... ¿por definicion?...
    ¿aplicando la regla de la cadena?. si no eres más concreto, si no nos envias todo lo que consigas por ti mismmo y trabajas duro, no podremos ayudarte. No se trata de que dejéis ejercicios de 3 en 3... Y además, si vuestras dudas no tiene que ver explicitamente con lo que hago en el video, la idea es que las dejéis en el foro general de matematicas...
    Si lo que te piden es derivar te sugiero antes estos videos...
    Regla de la cadena #nosvemosenclase

    thumb_up3 voto/sflag
  • icon

    Alejandra Perez
    el 6/4/15

    No quedaría en el numerador+2?? no lo entiendo:(

    replythumb_up2 voto/sflag