¡UPS! Para ver vídeos en la web debes estar registrado, es totalmente gratuito.

Recuerda además que sólo por ser unicoo, GRATIS, podrás dejar tus dudas en los foros de beUnicoos, acumularás energy y help points y ganarás decenas de medallas. Registrarte solo te llevará unos segundos. Nosotros somos unicoos ¿y tú? #nosvemosenclase

Ecuaciones de primer grado Interpretado en lengua de signos

Este video incluye subtítulos y ha sido interpretado en lengua de signos para ayudar a personas con discapacidad auditiva GRACIAS a la Plataforma Educativa Peecas y a ASPANPAL, Asociación de Padres de Niños con Problemas de Audición y Lenguaje. #Accesibilidad​ #EducaciónAccesible.
Resolveremos dos ecuaciones de primer grado para recordar algunos conceptos fundamentales

Agregar a mi mochila
0/ 736

* Para utilizar tu mochila o guardar tu progreso y acumular energy points debes ser usuario registrado. Regístrate o inicia sesión

Material adicional

* Los materiales marcados con el símbolo de la estrella () sólo serán accesibles para usuarios PRO. Conviértete en PRO

Foro de preguntas y respuestas

logo beUnicoos
Los foros de unicoos se han unificado en nuestra nueva plataforma beUnicoos. Para dejar nuevas preguntas deberás hacerlo allí, donde además podrás encontrar nuevas asignaturas y herramientas para ayudarte más con tus estudios.
  • Usuario eliminado
    el 25/11/18
    flag

    no entiendo porque por ej: a/b *x=a*x/b

    replythumb_up1 voto/sflag
  • icon

    Yolanda Iker
    el 31/8/18

    Buenos días,

    Tengo este problema que no lo se resolver y me parece interesante saber resolverlo:

    La edad de Ana es la tercera parte de la de su madre y 30 años menos que la de su padre. Si entre los tres suman 90 años, ¿qué edad tiene cada uno?

    replythumb_up1 voto/sflag
  • icon

    Carmen Zen GM
    el 12/7/18

    hola Antonio no entiendo porque quitas los dos 6 x 

    me lo podrias explicar porfavor 

    un saludo 

    clara

    replythumb_up1 voto/sflag
    icon

    Antonius Benedictus
    el 12/7/18

    6x (sumando) y 6x (restando) ,en la misma operación, se aniquilan mutuamente.

    thumb_up4 voto/sflag
  • icon

    Valerie Johana Alvarez Osma
    el 27/5/18

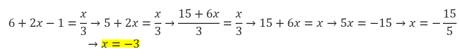
    Hola tengo una duda con una tarea que dice algo así 

    6+2x-1=x/3

    replythumb_up1 voto/sflag
    icon

    Antonius Benedictus
    el 27/5/18


    thumb_up1 voto/sflag
  • icon

    Raquel Baeza
    el 2/4/18

    Hola, no entiendo muy bien los criterios con que se cambia de signo el valor de × al pasarlo al otro lado del signo =. Haciendo el exámen de ecuaciones racionales me he liado mas que aclararme....hay algun video donde pueda salir de dudas??? Se que es una pregubta de primaria pero estoy retamando los estudios despues de muchos años y aún se me quedan dudas colgando. Gracias!!!

    replythumb_up1 voto/sflag
    icon

    David
    el 3/4/18

    El unico criterio es el que explico en el video. si esta sumando, pasa al otro lado restando. si esta restando, pasa al otro lado sumando. Simplemente. Te sugiero veas todos los videos que puedas... Un abrazo!

    thumb_up3 voto/sflag
  • icon

    Javi
    el 4/6/17

    Buenas tardes, en la autoevaluación que viene en material adicional

    en las preguntas números 1, 5 y 6 cuando hay un dígito sin signo detrás de un paréntesis como se resuelve.

    Muchas gracias

    replythumb_up6 voto/sflag
    icon

    Miguel
    el 5/6/17

    Si no lleva signo es como si fuese un número positivo, primero resuelve el paréntesis      

    PD: Grande Isco

    thumb_up8 voto/sflag
  • icon

    Miguel
    el 30/5/17

    Profe, una pregunta, si cambias todo de un lado a otro del igual, ¿estaría correcto?, es decir:

    49=7x

    x=49/7      Estaría mal o habría que poner signo negativo.            Gracias.




    replythumb_up1 voto/sflag
  • icon

    Ibai Cambero
    el 20/3/17

    Que formula es mejor utilizar?

    replythumb_up0 voto/sflag
  • icon

    Pedro Hermida
    el 20/2/17

    ¿Puedes hacer un vídeo de las ecuaciones equivalentes?

    replythumb_up2 voto/sflag
    icon

    David
    el 22/2/17

    ¿a que te refieres con ecuaciones equivalentes? ¿algun ejemplo?

    thumb_up4 voto/sflag
  • icon

    Mari Carmen
    el 19/2/17
    flagflagflag

    Hola, ¿podrías resolver esta ecuación?: x + 1/3 (x-3-1/2 (4-3x))= 2/3 (1-5x/2). Llevo toda la tarde intentando hacerla, tengo el resultado, pero mi resultado (14/21) no coincide con el que me han dado (2/3) y me estoy volviendo loca. Gracias y saludos desde Málaga.


    replythumb_up1 voto/sflag
    icon

    David
    el 19/2/17

    Para dudas que no tienen que ver explicitamente con lo que hago en un vídeo, lo ideal es que uséis el FORO GENERAL de matemáticas, física o química

    Por otro lado, te sugiero que dejes una FOTO con todo lo que hiciste paso a paso.. 

    De esa manera podremos saber vuestro nivel, en que podemos ayudaros, cuales son vuestros fallos.... Y el trabajo duro será el vuestro. Nos cuentas ¿ok? #nosvemosenclase ;-)


    thumb_up12 voto/sflag
  • icon

    Rocío
    el 25/1/17

    por que se van (6x) y (- 6x) en el minuto 2:40

    replythumb_up1 voto/sflag
    icon

    Antonius Benedictus
    el 25/1/17

    Quiere decir que, como 6x-6x=0, en la cuenta queda +0, que es lo mismo que no poner nada.

    thumb_up5 voto/sflag
  • icon

    violeta ibáñez reñé
    el 27/12/16

    que hago si hay un menos al principio del parentesis????? 🤔


    replythumb_up0 voto/sflag
    icon

    David
    el 28/12/16

    Cambiar de signo a cada sumando

    thumb_up2 voto/sflag
  • icon

    Carolina Maldonado
    el 4/12/15

    entonces aqui hay que volver a hacer lo mismo que hicimos con las ecuaciones lineales?

    replythumb_up1 voto/sflag
    icon

    David
    el 4/12/15

    Sí...

    thumb_up6 voto/sflag
  • icon

    ADRIANA SEGUNDO PÉREZ
    el 11/11/15
    flag

    ¿por que se tiene que utilizar el mayor exponente?

    replythumb_up4 voto/sflag
  • icon

    neno londono
    el 22/7/15

    Buenas David te escribo desde marbella y quería preguntarte si podías hacer un vídeo de monomios es que cuando me lo explicaron mis profesores no lo entendi ni tampoco entendi los polinomios haber si podías hacer un vídeo con mas ejemplos de monomios y polinomios
    Muchas gracias

    replythumb_up1 voto/sflag
    icon

    David
    el 24/7/15

    Irán cayendo poco a poco, te lo prometo. ABRAZOS hasta Marbella.
    Disfruta del mar por mí ¿ok? ;-)

    thumb_up6 voto/sflag
  • icon

    Abraham Rumie
    el 24/4/15
    flag

    David estoy con un profesor de mi ciudad, Cartagena Colombia que sabe mucho de matematicas, Algebra y todo lo relacionado, tengo un projecto de entrar a una universidad Privada Prestigiosa en Junio del proximo año y estoy retomando todo desde 0 y cuando termino de Dar las clases con el, lo primero que hago es repasarlo con Unicoos, te agradezco mucho y quisiera saber un testimonio de como es esa carrera, si en la universidad el primer examen te van a poner problemas super dificiles o te ensenan por ejemplo como tu lo haces en la clase y asi o hay que ir a la universidad sabiendo Derivadas, integrales, Calculos, etc... Gracias... :D (se que es solo para preguntas referentes con el tema pero no sabia donde mas postearlo)

    replythumb_up3 voto/sflag
  • icon

    Melissa Enriquez
    el 20/4/15

    Hola me gustaría saber donde puedo encontrar ejercicios de ecuaciones resueltos para poder practicar. Gracias!

    replythumb_up1 voto/sflag
  • icon

    Mendas
    el 28/2/15
    flag

    Hola soy Daniel, al simplificar fracciones si hay 140/0,7. ¿Se puede correr la coma y quitar el 0?

    replythumb_up2 voto/sflag
    icon

    David
    el 1/3/15

    140 / 0,7 = 1400 / 7 = 200....
    Se trata de dividir... SALU2!

    thumb_up4 voto/sflag
  • icon

    Mario
    el 26/2/15
    flag

    Hola soy Mario, ¿ da igual pasar las x a un lado y los números a otro ?

    replythumb_up2 voto/sflag
    icon

    David
    el 27/2/15

    Sí. Da igual...

    thumb_up4 voto/sflag
  • icon

    Danna Morales
    el 11/2/15
    flag

    Hola, como sería 16/x - 1= 1 ?

    replythumb_up2 voto/sflag
    icon

    David
    el 11/2/15

    Para dudas que no tienen que ver explicitamente con el vídeo, lo ideal es que uséis los foros generales de matemáticas, física y química
    Se trata, además de que enviéis dudas concretas, muy concretas. Y que nos enviéis también todo aquello que hayais conseguido hacer por vosotros mismos. Paso a paso, esté bien o mal. No solo el enunciado. De esa manera podremos saber vuestro nivel, en que podemos ayudaros, cuales son vuestros fallos.... Y el trabajo duro será el vuestro. #nosvemosenclase


    Me queda la duda además de si es 16/x - 1= 1 o 16/(x - 1)= 1
    En ese caso, cuidado con los parentesis...

    thumb_up2 voto/sflag
  • icon

    Aura Maria Ruiz
    el 11/12/14
    flag

    Hola tengo un ejercisio de simplicando lo máximo posible

    replythumb_up2 voto/sflag
  • icon

    javier
    el 10/12/14
    flag

    hola me llamo javier y mi pregunta es la siguiente tengo la esta ecuacion 3x +4=(2x+8)-(6+x) y me hago un lio en lo de las x me lo podria explicar es que llevo toda la semana para resolverlas

    replythumb_up2 voto/sflag
    icon

    David
    el 10/12/14

    3x +4=2x+8-6-x.... 3x-2x+x=8-6-4.... 2x=-2.... x=-2/2=-1 ¿mejor?

    thumb_up17 voto/sflag