5Xelevado a 4 -3x elevado a 2 mas 2 x : (x elevado a dos mas 2) en el divisor pone x elevado a dos y no se como se hace con un divisor elevado a dos o cualquier otro numero
Hola necesito ayuda con un Problema trate de buscar por todos lados y no encontre algo que me ayudase.
Me piden la ecuación parametrica de la hiperboloide de una hoja. Se que en la ecuación existe una elipse y dos hiperbolas.
En las ecuaciones que encontresalen directamentee dos ángulos uno se que esta en el plano xy en la elipse el otro donde ?
Como podría hallar la ecuación parametrica por favor

¡Hola! Nos encantaría ayudarte, pero no solemos responder dudas universitarias que no tengan que ver específicamente con los vídeos que David Calle ha grabado como excepción. O de otras asignaturas que no sean Matemáticas, Física y Química. Lo sentimos de corazón… Esperamos que lo entiendas.
Ojalá algún unicoo universitario se anime a ayudarte (de hecho, lo ideal es que todos los universitarios intentarais ayudaros los unos a los otros).

Considera un hiperboloide elíptico de una hoja, con eje de simetría OZ, cuya ecuación cartesiana es:
x2/a2 + y2/b2 - z2/c2 = 1,
asocias potencias en los términos, y queda:
(x/a)2 + (y/b)2 - (z/c)2 = 1 (*).
Luego, puedes proponer una parametrización:
x/a = u*cost, aquí haces pasaje de divisor como factor, y queda: x = a*u*cost (1),
y/b = u*sent, aquí haces pasaje de divisor como factor, y queda: y = b*u*sent (2),
con u ≥ 0 y 0 ≤ t < 2π.
luego, sustituyes en la ecuación señalada (*), y queda:
u2*cos2t + u2*sen2t - (z/c)2 = 1, extraes factor común y aplicas la identidad trigonométrica fundamental en los dos primeros términos, y queda:
u2 - (z/c)2 = 1, haces pasaje de término, y queda:
-(z/c)2 = -u2 + 1, multiplicas por -1 en todos los términos de la ecuación, y queda:
(z/c)2 = u2 - 1, haces pasaje de potencia como raíz, y tienes dos opciones:
1°)
z/c = -√(-u2 + 1), aquí haces pasaje de divisor como factor, y queda: z = -c*√(-u2 + 1) (3), y observa que debe cumplirse: |u| ≤ 1 (***);
2°)
z/c = √(-u2 + 1), aquí haces pasaje de divisor como factor, y queda: z = c*√(-u2 + 1) (4), y observa que debe cumplirse: |u| ≤ 1 (***).
Luego, con las ecuaciones señaladas (1) (2) (3), los intervalos paramétricos señalados (**) y la condición señalada (***) tienes las ecuaciones paramétricas de la mitad del hiperboloide que se encuentra "por debajo" del plano OXY:
x = a*u*cost,
y = b*u*sent,
z = -c*√(-u2 + 1),
con 0 ≤ u ≤ 1 y 0 ≤ t < 2π;
y con con las ecuaciones señaladas (1) (2) (3), los intervalos paramétricos señalados (**) y la condición señalada (***) tienes las ecuaciones paramétricas de la mitad del hiperboloide que se encuentra "por encima" del plano OXY:
x = a*u*cost,
y = b*u*sent,
z = c*√(-u2 + 1),
con 0 ≤ u ≤ 1 y 0 ≤ t < 2π.
Espero haberte ayudado.
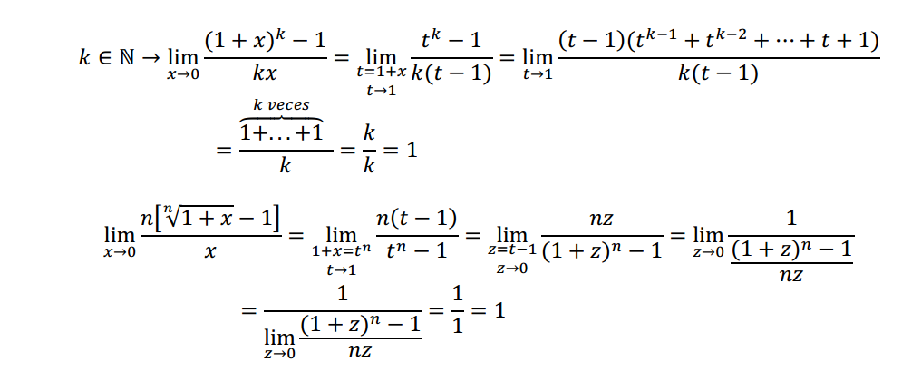
Hola, hay un apartado de un ejercicio que sé resolverlo por L'Hopital pero estoy en 1ºBach. así que no me dejan usarla y no se resolverlo de otra manera.
Límite cuando x tiende a 0 de (1+x)^n -1 / x
Gracias de antemano.
→ Sen x * √1+cotg²x
→1/cos²x – 1
→Sen 60°-sen30°/sen60°+sen30°
→Sen90°+tg135/sen 5∏/2 -cos∏
→Sen45°+tg ∏/6 ׃ sen∏/3 –cos 3∏/2
Necesito ayuda con estas expresiones tengo que simplificarlas,sé que tengo que utilizar la fórmula fundamental de trigonometría pero no consigo establecer las relaciones,hice varias y conseguí llegar al resultado final pero en estas me está costando.
Hola UNICOOS, estoy tratando de resolver este problema de función a trozo que dice: Encontrar el valor de "a" y "b" para que la función
ln(x-1). X>1
2x^2 +ax +b. X<=1
Sea continúa y su gráfico pase por el origen de coordenadas.
Lo que intenté hacer fue:
1. Introducir el punto (0,0) en la segunda función y despejar b, b=0.
2.Intenté igualar los límites, pero en la del logaritmo me sale infinito, cómo cálculo "a"?, alguien sabe?.
Gracias.

Tal como tienes presentada la expresión de la función, tienes que ésta es discontinua inevitable en x = 1, ya que el límite para x tendiendo a 1 por la derecha es -infinito.
Por lo tanto, con la condición: a = b = 0, solo puedes asegurar que el origen pertenece a la gráfica de la función, y que ésta es continua en x = 0.
Espero haberte ayudado.

Vamos con una precision.
Tienes un numero complejo imaginario puro, cuya parte imaginaria es negativa, y cuyo punto representante en un sistema cartesiano OXY pertenece al semieje OY negativo, por lo tanto su argumento puede ser -90° (o 270°), o -pi/2 radianes (o 3pi/2 radianes).
Espero haberte ayudado.
Buenas, cuando calculas limites en varias variables si el limite que te da a través de los limites iterados es diferente al que te da a través de los limites direcciones significa que no existe dicho limite no?