Hola Unicoos
No entiendo por qué el módulo de u y v se eleva al cuadrado .
Me lo pueden explicar?
Muchas gracias

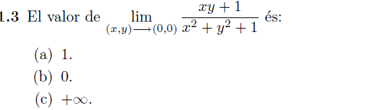
Tienes el valor preciso de la función en el punto en estudio (1,2):
f(1,2) = 0.
Tienes que para puntos muy cercanos al punto en estudio (1,2), la función toma el valor 0:
Lím( (x,y)→(1,2) ) = 0.
Luego, con la información disponible, puedes concluir que la función es continua en el punto en estudio (1,1),
por lo que la opción señalada (c) es la respuesta correcta.
Además, observa que no tienes información sobre el otro punto en estudio, (0,0), por lo que no puedes afirmar que la función sea continua o no lo sea en dicho punto.
Espero haberte ayudado.

Comienza por factorizar el numerador (N) y el denominador (D) del argumento de las raíces cuadradas positivas:
N = √(2) + √(8) = √(2) + √(4*2) = √(2) + √(4)*√(2) = √(2) + 2√(2) = 3√(2);
D = √(20) + √(5) = √(4*5) + √(5) = √(4)*√(5) + √(5) = 2*√(5) + √(5) = 3√(5).
Luego, planteas el argumento, y queda:
( √(2) + √(8) ) / ( √(20) + √(5) ) = reemplazas, y queda:
= 3√(2) / 3√(5) = multiplicas al numerador y al denominador por √(5), y queda:
= 3√(2)*√(5) / 3√(5)*√(5) = simplificas, y queda:
= √(2)*√(5) / √(5)*√(5) = resuelves los productos entre raíces, y queda:
= √(10) / √((25) = resuelves el denominador, y queda:
= √(10) / 5.
Luego, planteas la expresión completa de tu enunciado, y queda:
√( √( ( √(2) + √(8) ) / ( √(20) + √(5) ) ) ) =
reemplazas la expresión del argumento por su forma simplificada señalada (1), y queda:
= √( √( √(10) / 5 ) ) =
resuelves las raíces sucesivas,y queda:
= 4√( √(10) / 5 ) =
distribuyes la raíz cuarta entre el numerador y el denominador, y queda:
= 4√( √(10) ) / 4√( 5 ) =
resuelves las raíces sucesivas en el numerador, y queda:
= 8√( 10 ) / 4√( 5 ) =
multiplicas al denominador por4√( 53 ), y al numerador por su forma equivalente 8√( 56 ), y queda:
= 8√( 10 )*8√( 56 ) / 4√( 5 )*4√( 53 ) =
factorizas el argumento del primer factor en el numerador, resuelves productos entre raíces, y queda:
= 8√( 2*5*56 ) / 4√( 54 ) =
resuelves el producto de potencias con bases iguales en el argumento de la raíz en el numerador, simplificas raíz y potencia en el denominador, y queda:
= 8√( 2*57 ) / 5.
Espero haberte ayudado.
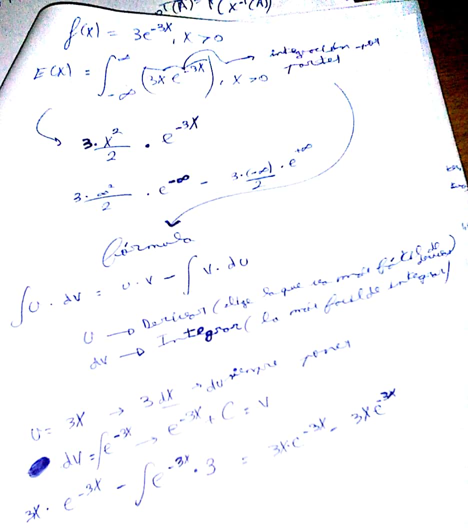
Hola, no me sale esta integral, no me sale utilizando integración por partes, la integral es ∫ 3x . e^-3x. Gracias

Te ayudo con la integral indefinida.
Tienes:
I = ∫ 3x*e-3x*dx;
luego, puedes plantear la sustitución (cambio de variable):
3x = w, de donde tienes: 3dx = dw, y también tienes: dx = dw/3;
luego sustituyes las expresiones remarcadas, y la integral queda:
I = ∫ w*e-w*dw/3 = (1/3)*∫ w*e-w*dw;
luego, puedes plantear el Método de Integración por Partes:
u = w, de donde tienes: du = dw,
dv = e-w, de donde tienes: v = -e-w;
luego, aplicas el método, y la integral queda:
I = (1/3)*( -w*e-w + ∫ e-w*dw ) = resuelves la integral secundaria = (1/3)*( -w*e-w - e-w ) + C = extraes factor común = -(1/3)*e-w*(w + 1) + C;
luego, sustituyes la primera expresión remarcada, y finalmente queda:
I = -(1/3)*e-3x*(3x + 1) + C;
y luego puedes plantear la integral impropia que tienes en tu problema.
Espero haberte ayudado.
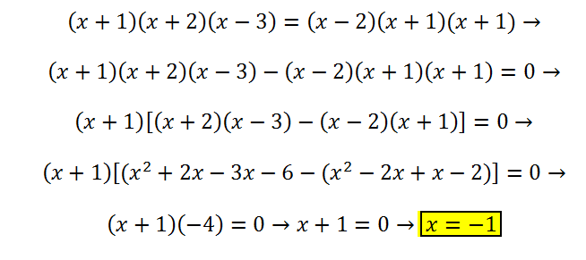
Hola unicoos saludos, tengo una duda. Con un sencillo. Problema pero estoy confundido.
Me pide hallar x de la siguiente:
(x+1)(x+2)(x-3)=(x-2)(x+1)(x+1)
Si desarrollo los productos me da -1.
Y si divido todo entre (x+1) que es lo que hice no me sale una respuesta.
Porque sucede esto ?

Comienza por hacer pasaje de término, y queda:
(x+1)(x+2)(x-3) - (x-2)(x+1)(x+1) = 0;
luego, extrae factor común (x+1), y queda:
(x+1) * ( (x+2)(x-3) - (x-2)(x+1) ) = 0;
luego, por anulación de un producto, tienes dos opciones:
a)
x + 1 = 0, haces pasaje de término, y queda:
x = -1;
b)
(x+2)(x-3) - (x-2)(x+1) = 0, distribuyes en los dos términos del primer miembro (presta atención al signo en el segundo término) y queda:
x2 - 3x + 2x - 6 - (x2 + x - 2x - 2) = 0, reduces términos semejantes, y queda:
x2 - x - 6 - (x2 - x - 2) = 0, distribuyes el signo en el agrupamiento, y queda:
x2 - x - 6 - x2 + x + 2 = 0, cancelas términos opuestos, reduces términos semejantes, y queda:
-4 = 0,
que es una identidad Falsa, por lo que tienes que esta opción no conduce a soluciones de la ecuación de tu enunciado.
Por lo tanto, puedes concluir que la ecuación de tu enunciado tiene solución única.
Espero haberte ayudado.