Buenas!!! Tengo una duda sobre los ejercicios de probabilidad, en los ejercicios cuando es más fácil realizarlos por árboles y cuando por tablas de contingencias??
Depende del ejercicio, la experiencia te ayudará a determinarlo con exactitud. Por ejemplo el ejercicio que has puesto en tu otro mensaje yo al menos lo resuelvo más rápido con árbol, pues sólo tienes que trazar líneas para relacionar probabilidades, la tabla de contingencia lleva más parafernalia.
De todos modos, puedes hacerlo de una manera u otra en principio y luego pasarlo al formato que quieras
http://thales.cica.es/rd/Recursos/rd98/Matematicas/28/6.html

Hola Carmela
lo resumire ....mira para cada angulo de elevacion A Y B, tienes que formular la tangente.
Esas dos formulas te permitiran igualar la altura, para llegar a despejar ¨a¨. Posteriormente con el teorema de senos entre A Y B del triangulo base que achure en el grafico. Reemplazas ¨a¨ y podras hallar el angulo de B y posteriormente las distancias que separan de los puntos A Y B hasta la torre.
Y asi podras hallar la altura!!!!!!!
a mi me salio la Segunda solucion
Hola, me podeis ayudar con este problema: Un pastor dispone de 1000 m. de tela metálica para construir una cerca rectangular aprovechando una pared ya existente. Halla las dimensiones de la cerca para que el área encerrada sea máxima. Gracias !!
Hola, alguien me podría ayudar a resolver este problema:
-Dividir el número 600 en tres sumandos positivos tales que la suma de sus productos binarios sea máximo
Gracias

Puedes designar a los sumandos como x, y, z, y observa que los tres son estrictamente positivos, por lo que puedes plantear:
x + y + z = 600, aquí haces pasajes de términos, y queda: z = 600 - x - y (1).
Luego, planteas la expresión de la función "suma de los productos dos a dos entre los tres sumandos", y queda:
f(x,y,z) = x*y + x*z + y*z, que es la expresión de una función diferenciable de tres variables.
Luego, sustituyes la expresión señalada (1) en la expresión de la función, observa que ésta queda reducida a dos variables, y queda:
f(x,y) = x*y + x*(600 - x - y) + y*(600 - x - y),
distribuyes, reduces términos semejantes, ordenas términos, y queda:
f(x.y) = -x2 - xy - y2 + 600x + 600y (2),
que es la expresión de una función continua con derivadas parciales primeras y segundas continuas en todo su dominio (D = R2);
luego, planteas las expresiones de sus funciones derivadas parciales primeras, y quedan:
fx = -2x - y + 600 (3),
fy = -x - 2y + 600 (4);
luego, planteas las expresiones de sus funciones derivadas parciales segundas, y quedan:
fxx = -2 < 0 (5),
fxy = -1 (6),
fyx = -1 (7),
fyy = -2 (8),
y observa que las cuatro expresiones de las funciones derivadas parciales segundas son constantes.
Luego, plantea la condición de punto estacionario (posible máximo o posible mínimo) de la función:
fx = 0,
fy = 0;
luego, sustituyes las expresiones señaladas (3) (4) en los primeros miembros, y queda:
-2x - y + 600 = 0,
-x - 2y + 600 = 0;
multiplicas por -1 y haces pasajes de términos numéricos en ambas ecuaciones, y queda:
2x + y = 600,
x + 2y = 600;
resuelves el sistema (te dejo la tarea), y su solución es: x = 200, y = 200, por lo que tienes el punto estacionario: A(200,200);
luego, reemplazas los valores remarcados en la ecuación señalada (1), resuelves y queda: z = 200:
Luego, planteas la expresión del discriminante hessiano, y queda:
H(x,y) = fxx*fyy - fxy*fyx,
evalúas para el punto estacionario, recuerda que las cuatro expresiones de las funciones derivadas parciales segundas son constantes en todo el dominio de la función, por lo que reemplazas los valores señalados (5) (6) (7) (8), y queda:
H(200,200) = (-2)*(-2) - (-1)*(-1) = 4 - 1 = 3 > 0, y como tienes: fxx = -2 < 0;
puedes concluir que la función alcanza un máximo en el punto estacionario, de acuerdo con el Criterio de las Derivadas Segundas para funciones continuas, con derivadas parciales primeras y segundas también continuas;
luego, evalúas la expresión de la función señalada (2) para el punto estacionario, y queda:
f(200.200) = -2002 - 200*200 - 2002 + 600*200 + 600*200, resuelves términos, y queda:
f(200,200) = -40000 - 40000 - 40000 + 120000 + 120000, resuelves, y queda:
f(200,200) = 120000, que es el valor máximo de la función.
Luego, puedes concluir que los tres números positivos son: x = 200, y = 200, z = 200, que hacen que la suma de los productos dos a dos entre ellos sea máximo, con el valor 120000,
Espero haberte ayudado.
¿Entonces lo correcto sería interpretar "binario" como "producto dos a dos"?
Pensaba que habría que pasar 600 a sistema de numeración binario -----> 1001011000 , dividirlo en 3 sumandos en binario tales que al multiplicarlos resulte el máximo número de unos en los bits más significativos (a la izda).
Dicho número resultante tendría que tener el mismo nº cifras (ceros o unos) que 600, 10 cifras
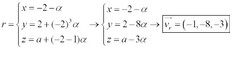
Buenas tardes, creo haber encontrado otro error en los ejercicios resueltos de gometria (2bachillerato).
¿Me puede confirmar algún profesor si es correcto? Lo mismo este no es el canal para comentar estas cosas, ruego que me disculpen pues soy nuevo y lo mismo hay una herramienta que no he visto para reportar fallos.
Muchas gracias
P.D. He cometido un error, el vector quedaría tal que (-1,-8,-3).