
Has desarrollado correctamente la expresión de la funcion.
Luego, comienza por estudiar el límite para caminos rectos que pasen por el origen, cuya ecuación general es: y = m*x, con x ∈ R, y queda:
L = Lím(x→0) senx / (m*x*cosx) =
expresas al argumento del límite como una multiplicación de expresiones, y queda:
= Lím(x→0) (1/m)*(senx/x)*(1/cosx) =
extraes el factor que no depende de la variable x, aplicas la propiedad del límite de una multiplicación de funciones, y queda:
= (1/m) * Lím(x→0) ( senx / x ) * Lím(x→0) (1/cosx) =
resuelves (observa que el primer límite es un límite trascendente igual a 1, y que el segundo límite es igual a 1), y queda:
= (1/m)*1*1 = 1/m,
que es una expresión que depende de la pendiente de los caminos,
por lo que puedes concluir que el límite de tu enunciado no existe;
y para verificar, eliges dos valores distintos del coeficiente (pendiente) m, por ejemplo m = 1 y m = 2, y queda:
L = 1, para m = 0,
L = 1/2, para m = 1,
por lo que tienes que dos caminos diferentes conducen a límites distintos.
Espero haberte ayudado.
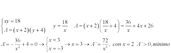
Buenas, me ayudan a este problema: Una hoja de papel debe contener 18cm3de texto impreso. Los márgenes superior e inferor tienen que tener 2cm cada uno y los laterales 1cm. Cclula las dimesiones de la hoja para que el gasto de papel sea minimo. Gracias !!!!
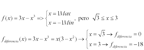
holaa, me podeis ayudar con este ejercicio de optimizar ?? Encuentra un numero en el intervalo (raiz de 3 , 3) tal que la diferencia entre su triple y su cubo sea máxima. Halla otro numero en el mismo intervalo, para el que la diferencia sea minima. Gracias!!
Buenas, alguien me podría ayudar con este problema:
Para funciones de una variable, que una función sea derivable en un punto implica que es continua en ese punto.
La situación no es la misma para funciones de dos variables, o sea que, si la función admite derivadas parciales en un punto no implica que sea continua en dicho punto.
-inventar una función que ejemplifique la afirmación anterior
Gracias!!!

¡Hola! Nos encantaría ayudarte, pero no solemos responder dudas universitarias que no tengan que ver específicamente con los vídeos que David Calle ha grabado como excepción. O de otras asignaturas que no sean Matemáticas, Física y Química. Lo sentimos de corazón… Esperamos que lo entiendas.
Ojalá algún unicoo universitario se anime a ayudarte (de hecho, lo ideal es que todos los universitarios intentarais ayudaros los unos a los otros).
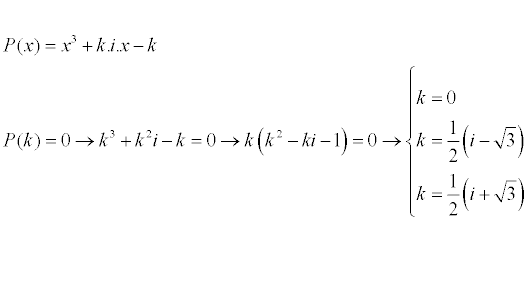
Buenas tardes, necesito ayuda con este problema de polinomios... gracias! "Existen al menos 2 valores de K ∈ ℛ para los cuales el polinomio "P(x)= x^3+k.i.x-k" tiene a "k" como raíz.
Encontre el valor de k=0 por puro instinto, pero no sé cómo hacerlo analíticamente.
Buenas, me pueden ayudar con este problema: De una pieza cuadrada de cartón de 40 cm. de lado se ha recortado un cuadrado pequeño en cada esquina para formar, doblando los bordes, una caja de base cuadrada. Calcular la longitud de los lados de los cuadrados que se deben recortar, para que la caja tenga una capacidad máxima. Gracias !!