
Recuerda el límite trascendente:
Lím(u→0) sen(u)/u = 1, y observa que tanto el numerador como el denominador tienden a cero.
Luego, puedes plantear las expresiones de las funciones:
f(x) = e*sen(x),
g(x) = x;
y luego plantear el límite:
Lím(x→0) f(x)/g(x) = Lím(x→0) e*sen(x)/x = e * Lím(x→0) sen(x)/x = e * 1 = e,
y observa que los límites laterales para x tendiendo a cero de f(x)/g(x) también son iguales a e.
Por lo tanto, tienes dos funciones que cumplen las condiciones de tu enunciado, por lo que tienes demostrada su existencia.
Espero haberte ayudado.

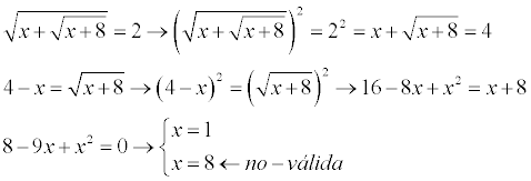
Elevas al cuadrado en ambos miembros, cancelas índice y exponente en el primer miembro, resuelves el segundo miembro, y queda:
x + √(x + 8) = 4, haces pasaje de término, y queda:
√(x + 8) = 4 - x, elevas al cuadrado en ambos miembros, cancelas índice y exponente en el primer miembro, y queda:
x + 8 = (4 - x)2, desarrollas el binomio elevado al cuadrado, y queda:
x + 8 = 16 - 8*x + x2, haces pasajes de términos, reduces términos semejantes, y queda:
-x2 + 9*x - 8 = 0, multiplicas en todos los términos de la ecuación por -1, y queda:
x2 - 9*x + 8 = 0,
que es una eccuación polinómica cuadrática, cuyas soluciones son:
a)
x = 1, que puedes verificar es una solución válida de la ecuación de tu enunciado;
b)
x = 8, que puedes verificar que no es una solución válida para la ecuación de tu enunciado.
Espero haberte ayudado.
Hola, alguien me podría ayudar a resolver este problema:
¿Cuál es la longitud total de los intervalos que se le sacan a un segmento para obtener el conjunto de Cantor? Demostrar.
Se que la respuesta es 1, pero no sé cómo demostrarla.
Muchas Gracias, Perdón las molestias

¡Hola! Nos encantaría ayudarte, pero no solemos responder dudas universitarias que no tengan que ver específicamente con los vídeos que David Calle ha grabado como excepción. O de otras asignaturas que no sean Matemáticas, Física y Química. Lo sentimos de corazón… Esperamos que lo entiendas.
Ojalá algún unicoo universitario se anime a ayudarte (de hecho, lo ideal es que todos los universitarios intentarais ayudaros los unos a los otros).

1ª iteración----> Quitamos 1 segmento de longitud 1/3
2ª iteración----> Quitamos 2 segmentos de longitud 1/9
3ª iteración----> Quitamos 4 segmentos de longitud 1/27
4ª iteración----> Quitamos 8 segmentos de longitud 1/81
.
.
En la enésima iteración habremos eliminado 2n-1 segmentos de longitud 1/3n
Entonces planteamos el siguiente límite para resolver lo que creo que preguntas:
infinito∑n=1 2n-1*(1/(3n)) =
infinito∑n=1 (2n/2)*(1/(3n)) =
infinito∑n=1 1/2*(2n/3n)) =
1/2* infinito∑n=1 (2n/3n)) =
1/2 * ((2/3)/(1 -2/3)) =
1/2 * ((2/3)/(1/3)) =
1/2 * ((2*3)/(3*1)) =
1/2 * 6/3 =
6/6 =
1