Foro de preguntas y respuestas de Matemáticas

logo beUnicoos
Los foros de unicoos se han unificado en nuestra nueva plataforma beUnicoos. Para dejar nuevas preguntas deberás hacerlo allí, donde además podrás encontrar nuevas asignaturas y herramientas para ayudarte más con tus estudios.

  • icon

    Axel Morales Piñón.
    el 10/2/18

    Buen día, un cable con esto, por favor:

    a. Tipos de matrices y un ejemplo.

    b. Propiedades de los determinantes. 

    replythumb_up0 voto/sflag
    icon

    Antonius Benedictus
    el 10/2/18

    Ya me encargo, Axel.


    thumb_up0 voto/sflag
    icon

    Axel Morales Piñón.
    el 10/2/18

    Gracias mi buen amigo. 

    thumb_up0 voto/sflag
  • icon

    Nuria
    el 10/2/18

    Hola, en el calculo de areas que encierran dos funciones, ¿Cómo puedo calcular cual es la función que va por arriba y cual es la que va por abajo?

    replythumb_up0 voto/sflag
    icon

    Antonius Benedictus
    el 10/2/18

    Dibujando la gráfica. Si no, dando valore en los correspondientes intervalos.

    thumb_up1 voto/sflag
  • icon

    Maria Garcia
    el 10/2/18

    Hola, no se como resolver esta indeterminacion de tipo infinito menos infinito. Si me lo pudieran explicar, lo agradeceria, un saludo.

    replythumb_up0 voto/sflag
    icon

    Antonius Benedictus
    el 10/2/18


    thumb_up1 voto/sflag
  • icon

    Marcos Alonso
    el 10/2/18

    Hola compañeros, respecto al problema de hallas la posición relativa de dos rectas en r3 David lo hace mediante matrices y rangos.

    Nuestra profesora nos ha explicado un metodo que parece ser más sencillo pero que no se si sera aplicable a todos los ejercicios. 

    Esto método consiste en, sacas de la ecuación parametrica la información de las rectas (tanto el vector como un punto). Luego hallas el vector AB.


    Muchas gracias

    Adjunto foto. 

    replythumb_up0 voto/sflag
    icon

    Antonius Benedictus
    el 10/2/18

    Es correcto, por supuesto:


    thumb_up1 voto/sflag
  • icon

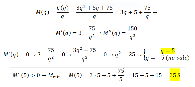
    Lsslie
    el 10/2/18

    Hola, me pueden ayudar con este ejercicio de optimization?? Graciaaass


    replythumb_up0 voto/sflag
    icon

    Antonius Benedictus
    el 10/2/18


    thumb_up0 voto/sflag
  • icon

    Alejandro
    el 10/2/18

    Buenas una duda importante y creo que también de muchos alumnos que van a hacer la PAU. Que calculadoras se permiten y esta se permite?

    replythumb_up0 voto/sflag
    icon

    José Manuel
    el 10/2/18

    En teoría cualquier calculadora que permita realizar cálculos diferenciales,integrales,matriciales... no son permitidas.

    thumb_up0 voto/sflag
  • icon

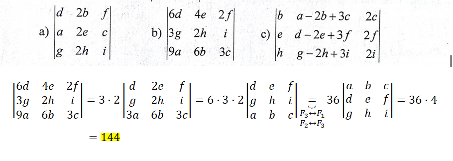
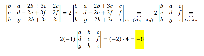
    Jordi García
    el 10/2/18

    Hola, ¿cómo se hace este ejercicio?


    El a) no lo sé hacer, el b) me sale 48 y el c) me sale -8



    Gracias.

    replythumb_up0 voto/sflag
    icon

    Antonius Benedictus
    el 10/2/18

    El a) está mal planteado.



    thumb_up0 voto/sflag
    icon

    Antonius Benedictus
    el 10/2/18


    thumb_up0 voto/sflag
  • icon

    Xavi Zambrano
    el 10/2/18

    Ayuda, buenos dias,

    Estoy buscando una calculadora normal y corrriente, que me solucione, de radicales, equaciones... batchillerato paso por paso. Que no sea una APP de movilo web. gracias 

    replythumb_up0 voto/sflag
    icon

    Jordi García
    el 10/2/18

    https://calcme.com/a

    thumb_up1 voto/sflag
    icon

    Jordi García
    el 10/2/18

    https://es.symbolab.com/

    thumb_up1 voto/sflag
    icon

    Xavi Zambrano
    el 11/2/18

    Buenos dias, necesito una calculadora física, no me sirve app o web.

    thumb_up0 voto/sflag

    Usuario eliminado
    el 11/2/18

    Te recomiendo fx-991 CASIO,una calculadora muy recomendable y muy fácil de manejar a mi parecer.Te resuelve sistemas ,ecuaciones ,inecuaciones,radicales ,además puedes hacer  física y química con ella .Para mí es muy recomendable.Ronda los 30 euros en Fnac,MediaMark .

    Si No hay  otras como la ClassPad que son más caras y más complejas .

    Espero haberte ayudado 

    thumb_up1 voto/sflag
  • icon

    Diego Schwindt
    el 10/2/18

    Buenas noches. 

    replythumb_up0 voto/sflag
    icon

    Mauro
    el 10/2/18

    log 1/x x2=

    logab=c

    ac=b

    ∴ (1/x)C=x2

    (x-1)c=X2

    X-C=X2

    C=-2

    log 1/x x2=-2

    saludos desde BOlivia

    thumb_up2 voto/sflag