Buenas tardes, ¿teneis video de integrales definidas de más de dos funciones en Unicoos?.
Hola, estoy bloqueado con los ejercicios de probabilidad, se agradece ayuda:
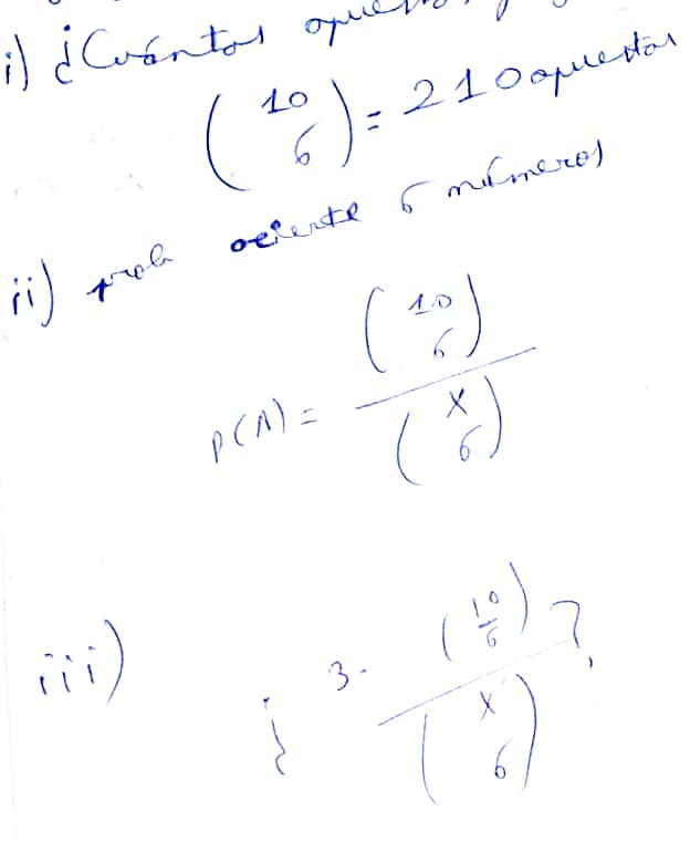
Un jugador de Lotería Primitiva hace una apuesta señalando 10 números en un boleto.
i) ¿Cuántas apuestas juega?
ii) ¿Cuál es la probabilidad de que acierte los 6 números?
iii) ¿Cuál es la probabilidad de que tenga 3 aciertos?
Creo que le faltan datos al enunciado, venía así, he supuesto que hay que que acertar seis números por lo que dice el segundo apartado. Hice el primero y el segundo, pero con el tercero estoy bloqueado. Tampoco me dan el número total de números disponibles, se agradece ayuda.
Gracias
Como aislo la X en esta ecuación matricial paso a paso?
X + 2A = X • A
Solución:
X • ( A - Id ) = 2A
* Se que esta es la solución pero no se como llegar a ella.
David, tal y como me comentaste, te dejo unos ejemplos de espacios vectoriales y subespecios vectoriales...por si pudieses hacer algún video de alguno de ellos....Gracias!!! Un abrazo!
Dice así:
1º En R4 se consideran los subespecies vectoriales: S1= <{(1,0,0,2),(1,1,0,2),(2,1,0,4)}> , S2= <{(0,1,0,0),(1,1,1,1)}>, S3= <{(0,1,1,0)}>
a) Halla S1∩ S2, S1+S2, S1+S2+S3
b) Encuentra suplementarios de S1,S2 y S3
2º Sean los subespecies de R4 : S= <{(1,1,1,0),(0,0,1,1),(-2,-2,-1,1)}> , T= <{(0,1,0,0),(1,1,2,1),(-1,-1,0,2)}>
Hallar dim S, dim T, dim (S∩T) y dim(S+T).
3º Sean F y G los subespacios de R3 dados por: F= {(x,y,z) ∈ R3 : x+y=0, y-z=0}, G= {(x,y,z) ∈ R3 : x - y=0}
Hallar una base y un suplementario de F ∩ G

Es muy posible te ayuden estos vídeos que grabé como excepción. Espacios vectoriales
A partir de ahí, me encantaría ayudarte, pero no respondo dudas universitarias
que no tengan que ver específicamente con los videos que ya he grabado como
excepcion. O de otras asignaturas que no sean matemáticas,
física y química. Lo siento de corazón… Espero lo
entiendas
Ojalá algun unicoo
universitario se anime a ayudarte (de hecho lo ideal es que todos los
universitarios intentarais ayudaros los unos a los otros)
Daniel está jugando a formar cuadrados
con piezas cuadradas de dos colores, todas del mismo tamaño: 1cm(elevado a 2) Realiza una construcción como la de
la figura. Las dos bandas exteriores (inferior derecha) tienen el mismo ancho.
Si la banda más oscura tiene un área de 31 cm (elevado a 2), ¿cuántas piezas ha utilizado en
total?
ALGUIEN PODRÍA AYUDARME A RESOLVER ESTE EJERCICIO ?? GRACIAS
Mi hijo tiene este problema, representado solo tenemos la continuidad del apartado a pero si nos lo pueden resolver entero seria de ayuda porque ya no recuerdo como eran.
Gracias

Recomiende a su hijo el visionado de estas clases:
Y para la segunda función, que, al hacer el límite factorice el numerador y simplifique la fracción.
a)
f(x)=
-x+1 si x< 0
x2 si x≥ 0
Continuidad
Como tenemos una función lineal y una parábola, entonces son continuas por definición en (-inf,0) y (0,inf) respectivamente.
Veamos en x=0 :
lim(x→0-) -x+1 = 1
lim(x→0+) x2 = 0
Como no coinciden los límites laterales, f(x) no es continua en x=0
Podemos concluir (y confirmar con la representación gráfica), que f(x) es continua en todo el conjunto de los números reales excepto en x=0, que presenta una discontinuidad de salto finito.