
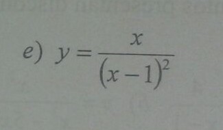
Observa que el dominio de la función es: D = (-∞,1) u (1,+∞).
Observa que la expresión de la función puede escribirse en la forma: f(x) = x/(x2-2x+1).
Luego, estudias el comportamiento de la función cerca del punto de discontinuidad x = 1:
Lím(x→1-) f(x) = Lím(x→1-) x/(x-1)2 = +∞,
ya que el numerador tiende a 1 y el denominador tiende a 0 desde valores positivos;
Lím(x→1+) f(x) = Lím(x→1+) x/(x-1)2 = +∞,
ya que el numerador tiende a 1 y el denominador tiende a 0 desde valores positivos;
por lo que tienes que la recta cuya ecuación es: x = 1 es asíntota vertical superior de la gráfica de la función, tanto por la izquierda como por la derecha.
Luego, estudias la existencia de asíntotas horizontales:
a)
Lím(x→-∞) f(x) = Lím(x→-∞) x/(x2-2x+1) = Lím(x→-∞) x / x2(1-2/x+1/x2) =
= Lím(x→-∞) 1 / x(1-2/x+1/x2) = 0,
y observa que los valores de la función tienden a cero desde valores negativos, ya que el numerador es igual a 1 y el denominador tiende a -infinito; por lo que tienes que la recta cuya ecuación es: y = 0 es asíntota horizontal izquierda de la gráfica de la función;
b)
Lím(x→+∞) f(x) = Lím(x→+∞) x/(x2-2x+1) = Lím(x→+∞) x / x2(1-2/x+1/x2) =
= Lím(x→+∞) 1 / x(1-2/x+1/x2) = 0,
y observa que los valores de la función tienden a cero desde valores positivos, ya que el numerador es igual a 1 y el denominador tiende a +infinito; por lo que tienes que la recta cuya ecuación es: y = 0 es asíntota horizontal derecha de la gráfica de la función.
Espero haberte ayudado.
¿Durante cuántos años debo invertir 300 € mensualmente al 6% para poder rescatar 139305€?

Observa que tienes capitalización mensual, cuyo índice es: i = 6 % = 0,06.
Luego, si llamas n a la cantidad de meses que estará vigente la inversión, puedes plantear la expresión:
Cn = Ci*(1+i)n, reemplazas valores, resuelves el argumento de la potencia, y queda:
139305 = 300*1,06n, haces pasaje de factor como divisor, y queda
464,35 = 1,06n, compones en ambos miembros con la función logarítmica decimal, y queda:
log(464,35) = log(1,06n), aplicas la propiedad del logaritmo de una potencia en el segundo miembro, y queda:
log(464,35) = n*log(1,06), haces pasaje de factor como divisor, y queda:
log(464,35)/log(1,06) = n, resuelves el primer miembro, y queda:
105,38 ≅ n;
por lo que puedes concluir que deberás mantener vigente la inversión por 106 meses para asegurar un capital final que no sea menor que el indicado en el enunciado;
luego, el lapso expresado en años y fracción de año expresada en meses, queda:
n = 106 meses = 8 años y 10 meses.
Espero haberte ayudado.

Comienza por calcular los transformados de los vectores que son elementos de la base canónica de R3:
T(1,0,0) = <1,-2,1> (aquí tienes los elementos de la primera columna de la matriz asociada a la transformación lineal),
T(0,1,0) = <-6,0,1> (aquí tienes los elementos de la segunda columna de la matriz asociada a la transformación lineal),
T(0,0,1) = <-3,-6,4> (aquí tienes los elementos de la tercera columna de la matriz asociada a la transformación lineal);
luego, la matriz asociada a la transformación lineal queda:
A =
1 -6 -3
-2 0 -6
1 1 4.
Luego, plantea la condición que cumplen los elementos del dominio de la transformación lineal que pertenecen al núcleo:
T(x,y,z) = <0,0,0>, sustituyes la expresión de la transformación lineal en el primer miembro, y queda:
< x-6y-3z , -2x-6z , x+y+4z > = < 0 , 0 , 0 >;
luego, por igualdad entre vectores, igualas componente a componente, y queda el sistema de ecuaciones:
x - 6y - 3z = 0,
-2x - 6z = 0, aquí despejas: x = -3z (1),
x + y + 4z = 0;
luego, sustituyes la expresión señalada (1) en las demás ecuaciones, reduces términos semejantes, y queda:
-6y - 6z = 0, de aquí despejas y = -z (2),
y + z = 0;
luego, sustituyes la expresión señalada (2) en la última ecuación, y queda:
0 = 0, que es una identidad Verdadera, por lo que tienes que el sistema de ecuaciones admite infinitas soluciones, que quedan expresadas:
x = -3z,
y = -z,
z ∈ R;
luego, el núcleo de la transformación queda expresado:
N = {
luego, planteas la expresión de un vector genérico perteneciente al núcleo de la transformación, y queda:
u =
luego, tienes que todos los vectores pertenecientes al núcleo son múltiplos escalares del vector <-3,-1,1>,
por lo que puedes concluir que el conjunto:
BN = { <-3,-1,1> } es una base del núcleo de la transformación,
y como el cardinal de la base es 1, tienes que la dimensión del núcleo queda:
dim(N) = |BN| = 1.
Espero haberte ayudado.
Hila unicoos!!!
Tengo este problema de distribución binomial aproximada a la normal y, después de resolverlo, la solución no me sale como pone en la hoja de problemas. No sé si está mal la hoja (espero que siiiii) o me estoy confundiendo en algo..... He visto los dos vídeos de distribución binomial, y creo que lo estoy haciendo bien, pero no estoy del todo segura.
"En un concurso de tiro al plato, un tirador tiene el 80% de probabilidades de acertar en cada tiro. En una serie se tiran 50 tiros. ¿Cual es la probabilidad de acertar por lo menos 35 tiros? La solución que pone es 96.14%. A mí me sale 98.30%.
Espero que podáis ayudarme.
Un saludo grande
Hola, como se haría el siguiente ejercicio:
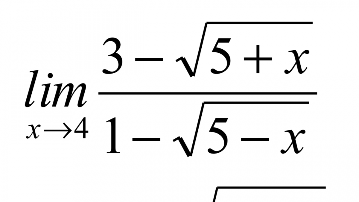
Calcula el siguiente límite (sin usar la regla de L'Hopital):![]()

Observa que el límite es indeterminado, ya que el numerador tiende a cero y el denominador también tiende a cero.
Luego, para salvar la indeterminación, comienza por multiplicar al numerador (N) y al denominador (D) por las expresiones "conjugadas" de ambos, para luego distribuir y resolver productos entre factores "conjugados", y quedan:
N = 3-√(5+x) = (3-√(5+x))*(3+√(5+x))*(1+√(5-x)) = (9-(5+x))*(1+√(5-x)) = (-x+4)*(1+√(5-x)) = -1*(x-4)*(1+√(5-x));
D = 1-√(5-x) = (1-√(5-x))*(1+√(5-x))*(3+√(5+x)) = (1-(5-x))*(3+√(5+x)) = (x-4)*(3+√(5+x)).
Luego, plantea para el límite de tu enunciado:
Lím(x→4) (3-√(5+x))/(1-√(5-x)) = sustituyes expresiones, y queda
= Lím(x→4) (-1)*(x-4)*(1+√(5-x)) / (x-4)*(3+√(5+x)) = simplificas, y queda:
= Lím(x→4) (-1)*(1+√(5-x)) / (3+√(5+x)) = evalúas, y queda:
= (-1)*2 / 6 = -2/6 = -1/3.
Espero haberte ayudado.