podrían ayudarme
demostrar que entre las dos raíces o soluciones de una ecuación cuadrática, el punto medio se corresponde con la abscisa del vértice

Puedes plantear la forma general de la función polinómica cuadrática:
y = a*x2 + b*x + c, extraes el coeficiente principal como factor común entre los dos primeros términos, y queda:
y = a*( x2 + (b/a)*x ) + c, sumas y restas b2/(4*a2) en el agrupamiento, y queda:
y = a*( x2 + (b/a)*x + b2/(4a2) - b2/(4*a2) ) + c, factrorizas el trinomio cuadrado perfecto, y queda:
y = a*( ( x + (b/(2*a)) )2 - b2/(4*a2) ) + c, distribuyes en el primer término, y queda:
y = a*( x + (b/(2*a)) )2 - b2/(4*a) + c, que es la ecuación cartesiana canónica de la parábola,
cuyo vértice es el punto: V( -b/(2*a) ; -b2/(4*a)+c ), cuya abscisa es: h = -b/(2*a),
y cuya ordenada es: k = -b2/(4*a)+c
Luego, sustituyes las expresiones de las coordenadas del vértice, y la ecuación queda:
y = a*(x - h)2 + k;
luego, plantea la condición que cumplen las raíces de la ecuación:
y = 0, sustituyes en el primer miembro, y queda:
a*(x - h)2 + k = 0, haces pasaje de término, y queda:
a*(x - h)2 = -k, haces pasaje de factor como divisor, y queda:
(x - h)2 = -k/a, haces pasaje de potencia como raíz, y tienes dos opciones:
x1 - h = -√(-k/a), haces pasaje de término, y queda: x1 = h - √(-k/a) (1),
x2 - h = √(-k/a), haces pasaje de término, y queda: x2 = h + √(-k/a) (1),
que son las expresiones de las raíces (observa que la ordenada del vértice y el coeficiente principal debe tener signos distintos para que la ecuación admita soluciones reales).
Luego, plantea el promedio entre las raíces de la ecuación:
(1/2)*(x1 + x2) = (1/2)*( h-√(-k/a) + h+√(-k/a) ) = (1/2)*(2*h) = h;
luego, tienes que el promedio de las soluciones de la ecuación cuadrática, que coinciden con las raíces de la función cuadrática correspondiente, es igual a la abscisa del vértice de la parábola que es la representación gráfica de la función.
Espero haberte ayudado.
Hola, ¿podrían ayudarme con este límite?
lim (sen(2x)sen(3x))/(1-cos(4x))
x → 0
Gracias.

Comienza por multiplicar al numerador y al denominador del argumento del límite por la expresión "conjugada" del denominador, lo haces, y la expresión del argumento queda:
f(x) = sen(2x)*sen(3x)*( 1+cos(4x) ) / ( 1-cos(4x) )*( 1+cos(4x) ).
Luego, distribuyes en el denominador, y queda
f(x) = sen(2x)*sen(3x)*( 1+cos(4x) ) / ( 1-cos2(4x) ).
Luego, aplicas la identidad trigonométrica del cuadrado del seno en función del cuadrado del coseno en el denominador, y queda:
f(x) = sen(2x)*sen(3x)*( 1+cos(4x) ) / sen2(4x).
Luego, aplicas la identidad del seno del doble de un ángulo en el denominador, y qeuda
f(x) = sen(2x)*sen(3x)*( 1+cos(4x) ) / ( 2*sen(2x)*cos(2x) )2.
Luego, distribuyes la potencia entre todos los factores del denominador, y queda:
f(x) = sen(2x)*sen(3x)*( 1+cos(4x) ) / 4*sen2(2x)*cos2(2x).
Luego, simplificas, y queda:
f(x) = sen(3x)*( ( 1+cos(4x) ) / 4 )*sen(2x)*cos2(2x) = (1/4)*( 1+cos(4x) )*( 1/cos2(2x) )*sen(3x)/sen(2x).
Luego, expresas a los dos últimos factores del argumento como producto de expresiones fraccionarias, y queda:
f(x) = (1/4)*( 1+cos(4x) )*( 1/cos2(2x) ) * (sen(3x)/1) * ( 1/sen(2x) ).
Luego, multiplicas y divides por 3x, y agrupas el divisor en el anteúltimo agrupamiento, y queda
f(x) = (1/4)*(3x)*( 1+cos(4x) )*( 1/cos2(2x) ) * ( sen(3x)/(3x) ) * ( 1/sen(2x) ).
Luego, multiplicas y divides por 2x, y agrupas el factor en el último agrupamiento, y queda:
f(x) = (1/4)*(3x)*( 1/(2x) )*( 1+cos(4x) )*( 1/cos2(2x) ) * ( sen(3x)/(3x) ) * ( (2x)/sen(2x) ).
Luego, resuelves los tres primeros factores del argumento del límite, y queda
f(x) = (3/8)*( 1+cos(4x) )*( 1/cos2(2x) ) * ( sen(3x)/(3x) ) * ( (2x)/sen(2x) ).
Luego, planteas el límite, extraes el factor numérico, aplicas la propiedad del límite de un producto, y queda
Lím(x→0) f(x) = (3/8) * Lím(x→0) ( 1+cos(4x) ) * Lím(x→0) ( 1/cos2(2x) ) * Lím(x→0) ( sen(3x)/(3x) ) * Lím(x→0) ( (2x)/sen(2x) ).
Luego, observa que los dos primeros límites son determinados, y que los dos últimos son iguales a 1 (seguramente has visto límites de esta clase en clase, por lo que tienes:
Lím(x→0) f(x) = (3/8) * (1/2) * (1/1) * 1 * 1 = 3/16,
Espero haberte ayudado.
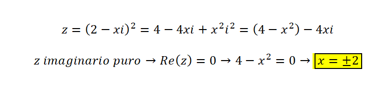
Hola necesito ayuda con este ejercicio
El apartado a) esta preguntado abajo


a)
z = (2-x*i)2 = 22 + 2*2*(-x*i) + (-xi)2 = 4 - 4*x*i + x2*i2 = 4 - 4*x*i + x2*(-1) = 4 - 4*x*i - x2 = (4-x2) - 4*x*i;
luego, planteas que la parte real es igual a 0, y queda la ecuación:
4 - x2 = 0, haces pasaje de término, y queda:
-x2 = -4, multiplicas en ambos miembros por -1, haces pasaje de potencia como raíz, y tienes dos opciones:
x = - 2 o x = 2.
b)
(2*x+y*i)/(1-i) = (3+i), haces pasaje de divisor como factor, y queda:
2*x + y*i = (3+i)*(1-i), distribuyes en el segundo miembro, y queda:
2*x + y*i = 3 - 3*i + 1*i - i2, resuelves el cuadrado y reduces términos semejantes en el segundo miembro, y queda:
2*x + y*i = 4 - 2*i, luego, por igualdad entre números complejos, igualas partes reales, igualas partes imaginarias, y tienes el sistema de ecuaciones:
2*x = 4, aquí haces pasaje de factor como divisor, y queda x = 2;
y = -2.
c)
z = (-5+2*i)*(-2+x*i) = 10 - 5*x*i - 4*i + 2*x*i2 = 10 - 5*x*i - 4*i + 2*x*(-1) = 10 - 5*x*i - 4*i - 2*x = (10-2*x) + (-5*x-4)*i,
luego, planteas que la parte imaginaria es igual a cero, y queda la ecuación:
-5*x - 4 = 0, aquí haces pasaje de término, y queda: -5*x = -4, haces pasaje de factor como divisor, y queda: x = 4/5.
Espero haberte ayudado.

d)
Observa que la parte real debe ser igual a la parte imaginaria.
z = (1+x*i)/(2+3*I), multiplicas al numerador y al denominador por el conjugado del denominador, y queda:
z = (1+x*i)*(2-3*i) / (2+3*i)*(2-3*i), distribuyes y resuelves en el numerador, distribuyes y resuelves en el denominador, y queda
z = ( (2+3*x) + (-3+2*x)*i )/13, distribuyes el denominador, y queda:
z = (2+3*x)/13 + ( (-3+2*x)/13 )*i,
luego igualas la parte real con la parte imaginaria, y queda la ecuación:
(2+3*x)/13 = (-3+2*x)/13, multiplicas por 13 en ambos miembros de la ecuación, y queda:
2 + 3*x = -3 + 2*x, haces pasajes de términos, reduces términos semejantes, y queda:
x = -5.
e)
Tienes la ecuación:
(2-i)2*x = 1, desarrollas y resuelves el cuadrado en el primer miembro, y queda:
(1-4*I)*x = 1, multiplicas en ambos miembros por el conjugado del número complejo del primer miembro, resuelves, y queda:
17*x = 1 + 4*i, divides por 17 en todos los términos de la ecuación, y queda:
x = 1/17 + (4/17)*i (observa que en este ejercicio tienes que x es un número complejo).
f)
Tienes la ecuación:
(1+i)2 + x*(-i) = -(2+2*i)2, desarrollas y resuelves los cuadrados, y queda:
2*i + x*(-i) = -8*i, resuelves el producto, y queda:
2*i - x*i = -8*i, divides por -i en todos los términos de la ecuación, y queda:
-2 + x = 8, haces pasaje de término, resuelves, y queda:
x = 10.
Espero haerte ayudado.

Tienes la integral
I = ∫ (1+lnx)*dx = ∫ (1+lnx)*1*dx.
Luego, planteas el Método de Integración por Partes, y tienes:
u = 1+lnx, de donde tienes: du = (1/x)*dx,
dv = 1*dx, de donde tienes: v = x.
Luego, aplicas el método, y la integral queda:
I = (1+lnx)*x - ∫ x*(1/x)*dx = (1+lnx)*x - ∫ 1*dx = (1+lnx)*x - x + C.
Luego, distribuyes en el primer término, y queda:
I = x + x*lnx - x + C;
luego, cancelas términos opuestos, y queda:
I = x*lnx + C.
Espero haberte ayudado.
Aquí vengo con otra duda aver si me la pueden resolver, la duda que tengo, es la siguiente; en este ejercicio me dan un matriz a diagonalizar, de la cual se ve trivialmente que posee las filas equivalentes 2 a 2, mi duda es si tengo que.tachar 2 filas, antes de aplicar el polinomio característico y que se quede por lo tanto una matriz 2x4 o aplicar A-xI sin quitar ninguna fila.
Si no quito filas el autovector que me queda es el 0,0,0,0 y por lo tanto no es diagonalizable
A continuación el ejercicio en cuestión
Hola, me podrian demostrar esta definicion.
"El conjunto de soluciones de ecuaciones lineal no homogeneo posee estrutura de subespacio afin"
He conseguido hacer que la homogenea es la estructura de un subespacio vectorial. Pero de ésta no tengo mi idea.gracias
Hola, tengo que estudiar el caracter de la siguiente serie.
∑((n+2)!/(n!2!)) bn
Obviamente el sumatorio es de terminos positivos, desde 1 a infinito
bn se le denomina a una serie con caracter convergente.
En principio he utilizado el criterio de comparación utilizando bn como termino comparativo ya que de primeras ya sabemos el carácter de la serie. Sin embargo al hacer el limite me he dado cuenta que tiende a infinito. Luego en este caso, cero que no me da un resultado claro de su carácter.
Que podría hacer? He pensado que si se podría decir que algo convergente por un termino que es divergente, sería divergente pero no me suena mucho y en mi libro no aparece nada asi que no se...
Gracias!