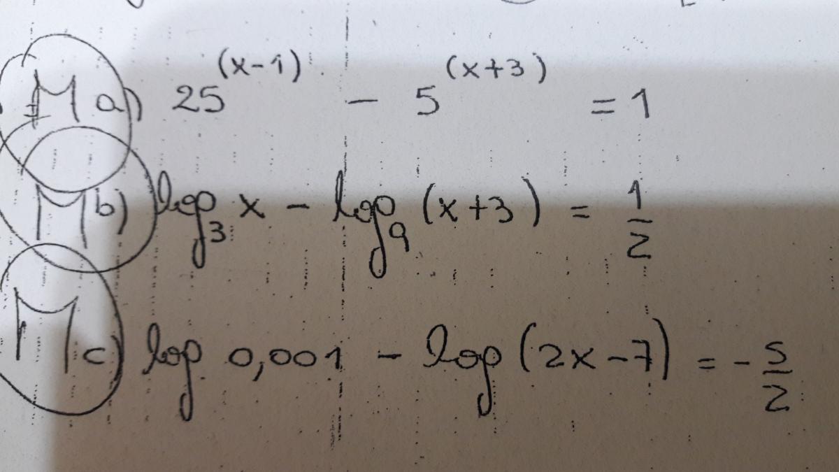
hola, me podríais ayudar a resolver estos dos ejercicios? solo tengo en enunciado en catalán pero creo que se puede entender, el problema del tren he supuesto que és un triángulo pero no se si me equivoco. Gracias!!

Proponemos la sustitución: f ' (x) = y.
Tienes la ecuación lineal de segundo orden, primer grado, y homogénea:
y ' ' - 5*y ' + 6*y = 0;
luego propones una solución general con la forma:
y = C*erx, con C ∈ R,
luego planteas sus derivadas primera y segunda, sustituyes expresiones en la ecuación diferencial, simplificas factores, y tienes su ecuación característica (recuerda que , en forma práctica: sustituyes r2 en lugar de y ' ', r en lugar de y ', 1 en lugar de y), y queda:
r2 - 5*r + 6 = 0,
que es una ecuación polinómica cuadrática, cuyas soluciones son: r1 = 3 y r2 = 2;
por lo que puedes proponer como solución general de la ecuación diferencial de tu enunciado:
y = A*e^r1*x + B*e^r2*x, con A ∈ R y B ∈ R,
reemplazas coeficientes en los exponentes, y queda:
y = A*e3x + B*e2x, con A ∈ R y B ∈ R,
que es la solución general de la ecuación diferencial de tu enunciado.
Luego, observa que la solución particular señalada (a) es la correcta, y corresponde a:
A = 5, B = 4.
Con respecto al segundo ejercicio, por favor envía la imagen a la que hace referencia tu enunciado.
Espero haberte ayudado.
ayuda con este problema pls!!!!!!!!
Sabiendo que un capital de 2500 euros ha sido ingresado en un banco durante 18 meses con un rédito del 3%. Calcula:Capitalinicial= 2500
rédito= 3% = 0.03
tiempo=18meses= 1.5 años
a) Con interés simple
Capitalfinal=Capitalinicial*(1+(rédito*tiempo))
Capitalfinal=2500*(1+(0.03*1.5))
Capitalfinal=2500*(1+(0.045))
Capitalfinal=2500*1.045
Capitalfinal=2612.5 euros
b) Con interés compuesto
Capitalfinal=Capitalinicial*(1+rédito)tiempo
Capitalfinal=2500*(1+0.03)1.5
Capitalfinal=2500*(1.03)1.5
Capitalfinal≈ 2500*1.045336
Capitalfinal≈ 2613.34 euros
**He supuesto el periodo de liquidación anual, ya que no se especifica en el enunciado.
Buenas Unicoos, necesito ayuda con este problema, también quisiera saber como se expresaría en grados sexagesimales. Por favor y gracias de antemano.

Recuerda la equivalencia entre grados y radianes:
π rad = 180°.
Luego, expresa un radián en grados:
1 rad = 180°/π.
Luego, tienes en tu enunciado (observa que llamamos α la medida del ángulo indicado en tu enunciado):
α = 10 rad = 10 * (1 rad) = 10 * 180°/π = 1800°/π ≅ 572,957795°.
Espero haberte ayudado
En un centro escolar los alumnos pueden optar por cursar como lengua extranjera inglés o francés. En un determinado curso, el 90% de los alumnos estudia inglés y el resto francés. El 30% de los que estudian inglés son chicos y de los que estudian francés son chicos el 40%. El elegido un alumno al azar, ¿cuál es la probabilidad de que sea chica? Yo lo planteé mediante una tabla de contingencia
Masculino Femenino Total
Inglés 0,3 0,6 0,9
Francés 0,04 0,06 0,1
Total 0,34 0,66 1
P(chica) = 0,66 / 1 = 0,66
Sin embargo, la respuesta original es 0,69 y lo planteo mediante un diagrama de árbol, quisiera saber si mi respuesta está dentro del rango de lo aproximado al resultado o está mal, y en caso de que esté mal, tengo la duda de en que casos conviene plantear un problema de probabilidad mediante un diagrama de arbol. Muchas gracias!