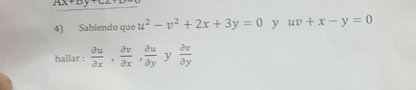
Yo despejaria primero "u" de una de las ecuaciones y "v" de la otra, luego sustituyes en una de ellas, asi tendras una de las variables solo en funcion de "x" e "y" y puedes hacer las derivadas. luego hacer lo mismo pero con la otra variable. Siento no poder resolvertelo pero tambien ando con examenes.

Usa el teorema de la función implícita. Deriva las 2 ecuaciones en todas las "direcciones". Coge los valores y haz la matriz 2x2 formada por la derivadas en direcciones u y v, busca su inversa (matriz A). La otra matriz formada por la derivadas de x,y se llama B. Pues: -A*B=C
C es una matrix 2x2 que incluye las 4 derivadas que buscas

La próxima vez que faltes el respeto a alguién en los foros, serás expulsado inmediatamente. Aquí no se consiente.
Por otro lado, unicoos no es el lugar donde os hacemos los deberes.
Se trata de que DESPUES DE IR A CLASE (ver los vídeos relacionados con
vuestras dudas) enviéis dudas concretas, muy concretas. Y que nos enviéis
también todo aquello que hayais conseguido hacer por vosotros mismos. Paso a
paso, esté bien o mal. No solo el enunciado. De esa manera podremos saber
vuestro nivel, en que podemos ayudaros, cuales son vuestros fallos.... Y el
trabajo duro será el vuestro. Nos cuentas ¿ok? #nosvemosenclase ;-)
Ayuda con el 3 y el 8
Vale, si no estoy mal te piden hallar las 3 razones trigonométricas en el tercer ejercicio, considerando que una de las razones siempre sera negativa, vale, te explico.
a)Sen(α)= -2/3 ; cos<0. Es decir, el coseno es negativo. utilizando la identidad fundamental de la trigonometría tenemos que
Sen^2(α)+Cos^2(α)=1, lo único que debes hacer es despejar lo que necesitas, en este caso, te piden hallar coseno y tangente, hallemos primero el coseno.
Despejando te queda:
Cos(α)=±√(1-sen^2(α)) , (lo coloco entre paréntesis para indicar que todo esta dentro de la raíz) pero sabemos que el coseno es negativo, entonces la raíz tendrá signo negativo.
Reemplazando valores:
Cos(α)=-√(1-(-2/3)^2) elevas al cuadrado la fracción = -√(1-4/3) aplicas m.c.m 3 = -√(5/9) y te quedara al final -√5/3.
Ya teniendo esos valores procedes a hallar tg(α), que sabemos que tg(α)=sen(α)/cos(α).
Reemplazando valores:
tg(α)= -2/3/-√5/3 Puedes simplificar el 3 ya que ambos son denominadores = -2/-√5 aplicando ley de signos y racionalizando te queda que = tg(α)=2√5/5.
Lo mismo debes hacer con todas los demás.
En la octava en el apartado a) no se a que se refiere con representar, depende de como te lo manden a hacer, pero lo de hallar tg(α) y sen(α) se hace de igual manera como en el caso anterior.
en el apartado b) como tienes ángulos notables, solo te queda aplicar formulas de identidades trigonométricas, supongo que sería con el valor de α que obtuviste en el apartado a), porque si no, en algunos de los ejercicios no llegarías a ningún resultado como sería el caso del primero que solo quedaría -tgα y no creo que sea eso lo que buscas. Si no sabes las formulas de identidades con gusto te puedo pasar una lista extensa que tengo de todas ellas.
Espero te haya ayudado en algo.

Vamos con una orientación.
Puedes plantear la función "distancia cuadrática" entre un punto genérico P(x,y,z) perteneciente al plano y el origen de coordenadas:
f(x,y,z) = x2 + y2 + z2, y observa que esta función des diferenciable en R3,
y su vector gradiente queda expresado: ∇f = < 2x , 2y , 2z >.
Luego, como el punto P pertenece al plano, debe cumplirse que sus coordenadas satisfacen la ecuación:
Ax + By + Cz + D = 0,
que es una ecuación implícita de un plano, que es una superficie de nivel de la función cuya expresión es:
g(x,y,z) = Ax + By + Cz + D, y observa que esta función es diferenciable en R3,
y su vector gradiente queda expresado: ∇g = < A , B , C >.
Luego, puedes plantear el sistema de ecuaciones del Método de los Multiplicadores de Lagrange:
∇f = λ*∇g, con λ ∈ R
g(x,y,z) = 0;
sustituyes expresiones, y queda:
< 2x , 2y , 2z > = λ*< A , B , C >, con λ ∈ R
Ax + By + Cz + D = 0;
descompones la ecuación vectorial según las componentes de los vectores, y queda el sistema de cuatro ecuaciones lineales con cuatro incógnitas:
2x = λA, aquí haces pasaje de factor como divisor, y queda: x = λA/2 (1),
2y = λB, aquí haces pasaje de factor como divisor, y queda: y = λB/2 (2),
2z = λC, aquí haces pasaje de factor como divisor, y queda: z = λC/2 (3),
Ax + By + Cz + D = 0;
luego, sustituyes las expresiones señaladas (1) (2) (3) en la última ecuación, extraes factor común, y queda:
(λ/2)*(A2+B2+C2) + D = 0, y de aquí puedes espejar:
λ = -2D/(A2+B2+C2), que es la expresión del multiplicador;
luego, sustituyes en las expresiones señaladas (1) (2) (3) y tendrás las coordenadas del punto perteneciente al plano más cercano al origen de coordenadas;
y finalmente, reemplazas las expresiones de las coordenadas en la expresión de la función, y tendrás la expresión del valor mínimo de la función.
Espero haberte ayudado.
Ejercicio de 2ºde ESO.
(X+1) . (2x-3)
Multiplicas X por 2x , y X por -3 ; te queda (2x cuadrado , y -3x ) y multiplicas 1 por 2x , y 1 por -3 ; y te queda 2x y -3.
Ahora ordenas todo lo que te ha resultado , y que te queda : 2xal cuadrado -x y -3 . Ya solo te falta resolver la ecuación de segundo grado.
Te queda X1 = 3/2 , y X2 = -1
Espero que te sirva.