
Debes tener en cuenta que para el cálculo del área de la región, que no está limitada por el eje OX, debes emplear las expresiones que tienes en las ecuaciones de las dos curvas que consignan en tu enunciado.
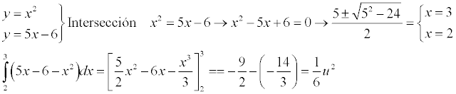
Haz un gráfico, y observa que tienes una región incluida en el primer cuadrante, limitada superiormente por la curva cuya ecuación es: y = 5x - 6 (observa que se trata de una recta), e inferiormente por la curva cuya ecuación es y = x2 (observa que se trata de una parábola con eje de simetría OY.
Luego tienes que la curva "más alta" en tu gráfico es la recta, y la "más baja" es la parábola, en lo que respecta a la región, cuyos vértices tienen abscisas a = 2 (que corresponde al punto A(2,4), que es el vértice "izquierdo" de la región), y b = 3 (que corresponde al punto B(3,9), que es el "vértice derecho" de la región), como te ha mostrado mi colega César.
Luego, plantea la integral para el área de la región (observa que indicamos: T(x) = 5x - 6 a la expresión de la curva "más alta", y P(x) = x2 a la expresión de la curva "más baja"):
A = a∫b ( T(x) - P(x) )*dx, sustituyes expresiones y los valores de los límites de integración, y queda:
A = 2∫3 ( 5x-6 - x2 )*dx, y luego continúas hasta terminar la tarea.
Espero haberte ayudado.
Sigui A una matriu tal que det (a) =2, ENTONCES el determinante de la inversa también es 2, no?
Buenas, necesito ayuda con un problema de ecuaciones, que se que se puede resolver por tanteo, pero no se traducirlo a la forma de ecuación, el problema es el siguiente: "Una clínica de belleza cobra 65$ por tratamiento. Tiene un promedio de 30 clientes a la semana. Por cada incremento de 6$ pierde 2 clientes ¿Qué precio deberá fijar de modo que los ingresos semanales no sean menores que los que obtiene con la tarifa de 65$?", Muchas gracias de antemano, felices fiestas.