Hola buenas tardes,
En el apartado de números complejos dice así el ejercicio: obtenga una de las raíces de
El resultado me pone: pero no se como llegar ahí. Si alguien me ayudase se lo agradecería.
Muchas gracias.

Haces pasaje de término, y la ecuación queda:
(z - 1)4 = -16,
luego, expresas al número complejo real negativo en forma polar (módulo-argumento), y queda:
(z - 1)4 = 16180°,
haces pasaje de potencia como raíz, y queda:
z - 1 = 4√(16180°);
luego, aplicas la Fórmula de De Moivre para las raíces, y queda:
z - 1 = (4√(16))(180°+360°*k)/4, con k = 0, 1, 2, 3;
luego, resuelves la raíz en el módulo, distribuyes el denominador y simplificas en el argumento, y queda:
z - 1 = 2(45°+90°*k), con k = 0, 1, 2, 3;
luego, haces pasaje de término, y tienes la expresión general de las soluciones de la ecuación:
z = 1 + 2(45°+90°*k), con k = 0, 1, 2, 3.
Luego, reemplazas valores, y tienes cuatro soluciones:
z0 = 1 + 245° = 1 + 2*(cos(45°) + sen(45°)*i) = 1 + 2*√(2)/2 + (2*√(2)/2)*i = ( 1+√(2) ) + √(2)*i;
z1 = 1 + 2135° = 1 + 2*(cos(135°) + sen(135°)*i) = 1 + 2*(-√(2)/2) + (2*√(2)/2)*i = ( 1-√(2) ) + √(2)*i (esta es la solución que consignas en tu enunciado);
z2 = 1 + 2225° = 1 + 2*(cos(225°) + sen(225°)*i) = 1 + 2*(-√(2)/2) + (2*(-√(2)/2))*i = ( 1-√(2) ) - √(2)*i;
z3 = 1 + 2315° = 1 + 2*(cos(315°) + sen(315°)*i) = 1 + 2*√(2)/2 + (2*(-√(2)/2))*i = ( 1+√(2) ) - √(2)*i.
Espero haberte ayudado.
Necesito ayuda con Geometría Analítica. En un problema me dan las coordenadas del centro de la circunferencia y una recta tangente a la misma y me piden hallar la ecuación de dicha circunferencia. Mi duda es ¿Cómo hallarla sin usar la fórmula de distancia de un punto a una recta?

Vamos con un ejemplo.
Considera que la recta tangente a la circunferencia tiene ecuación: y = (3/4)x + 25/4, y que el centro de la circunferencia es: C(0,0).
Luego, plantea la ecuación de la recta perpendicular a la tangente (observa que su pendiente es: m =-1/(3/4) = -4/3), que pasa por el centro de la circunferencia, que en este caso es el origen de coordenadas, y tienes la ecuación (te dejo el planteo):
y = -(4/3)x.
Luego, plantea la intersección entre la recta tangente y la recta perpendicular, para ello igualas expresiones, y queda:
(3/4)x + 25/4 = -(4/3)x, multiplicas por 12 en todos los términos de la ecuación, y queda:
9x + 75 = - 16x, haces pasajes de términos, reduces términos semejantes, y queda:
25x = -75, haces pasaje de factor como divisor, y queda:
x = -3, que es la abscisa del punto de contacto de la recta tangente con la circunferencia;
luego, reemplazas en las ecuaciones de las rectas, y tienes:
y = 4, que es la ordenada del punto de contacto de la recta tangente con la circunferencia;
por lo tanto, tienes que el punto de contacto queda expresado: A(-3,4).
Luego, plantea que el radio de la circunferencia es igual a la distancia entre su centro y el punto de contacto,
haces el cálculo, y queda: R = 5.
Luego, tienes que la ecuación cartesiana de la circunferencia queda:
x2 + y2 = 25.
Espero haberte ayudado.

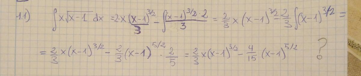
Te sugiero un camino.
Puedes plantear la sustitución (cambio de variable):
x = u2+ 1, de donde tienes:
dx = 2*u*du, y también tienes:
√(x-1) = √(u2) = u (1).
Luego, tienes la integral:
I = ∫ x*√(x-1)*dx, sustituyes expresiones, y queda:
I = ∫ (u2+ 1)*u*2*u*du, extraes el factor constante, reduces factores semejantes y distribuyes en el argumento de la integral, y queda:
I = 2 * ∫ (u4 + u2)*du, resuelves la integral, y queda:
I = 2 * (u5/5 + u3/3) +C, distribuyes el factor constante, y queda:
I = (2/5)*u5 + (2/3)*u3 + C, sustituyes la expresión remarcada en la cadena de igualdades señalada (1), expresas como potencias con exponentes fraccionarios, y queda:
I = (2/5)*(x - 1)5/2 + (2/3)*(x - 1)3/2 + C.
Espero haberte ayudado.
Quería comprobar que lo tengo bien, me sale:
Base ortogonal de S====>{( V1, -1/3*V1 + V2, -1/3*V1+V3)}
¿La union de todos los autovectores de una matriz de una aplicación forman una base la cual permite que la matriz de la aplicación sea diagonalizable?