Buenas tardes, no consigo resolver este problema de programación lineal. ¿Me podrían ayudar?
El consejo de dirección de cierta empresa desea invertir 100 millones de € en sus dos factorías A y B. Razones técnicas desaconsejan que la inversión en cualquiera de las factorias supere el triple de la que se realiza en la otra. Por otra parte, para conseguir subvenciones de la la UE, es necesario que la inversión en a A sea de al menos 20 millones y la inversión en B de al menos 40 millones. La rentabilidad esperada es del 10% para la inversión en A y del 7% para la inversión que se realice en B. Cuantifica la inversión que debe realizarse en cada factoría para maximizar la rentabilidad esperada respetando las restricciones planteadas.
Muchas gracias de antemano.
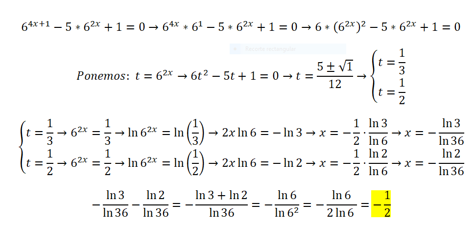
Me pueden decir si lo hago bien
vectores (1,2,3), (0,3,2), (2,-2,2) 3 vectores---rango 2 Linealmente dependienties
vectores (0,0,1), (0,-1,0), (1,0,0) 3 vectores-rango 3 linealmente independientes
vectores (1,2,-1), (1,0,1), (1,1,0) 3 vectores-rango 2 linealmente dependiente
Halle una función vectorial que describa la frontera de la región del primer cuadrante limitada por las curvas y=4x, y=x, y=1/x, recorrida en sentido antihorario. Encuentre un vector tangente a la curva en P(3/4 , 4/3). ¿En qué puntos no se puede definir el vector tangente a la curva dada? Justifique.
Yo grafiqué y luego hice lo siguiente, pero creo que no es lo que pide:
C1:
x=t
y= 4t
0<t<1/2
C2:
x=t
y=t
0<t<1
C3:
x=t
Y=1/t
1/2<t<1
La gráfica es similar a un triángulo.

¡Hola! Nos encantaría ayudarte, pero no solemos responder dudas universitarias que no tengan que ver específicamente con los vídeos que David Calle ha grabado como excepción. O de otras asignaturas que no sean Matemáticas, Física y Química. Lo sentimos de corazón… Esperamos que lo entiendas.
Ojalá algún unicoo universitario se anime a ayudarte (de hecho, lo ideal es que todos los universitarios intentarais ayudaros los unos a los otros).
De los 45 estudiantes que fueron de excursión, 22 visitaron el museo de ciencias, 8 el museo de bellas artes y 12 fueron al acuario. Si ningún estudiante visitó más de un lugar, ¿cuántos estudiantes no visitaran ningun museo?
excursión= (museoCiencias+museoBellasartes) + (acuario+ningún lugar) = museo + noMuseo
45 = ( 22 + 8 ) + ( 12 + x ) -----------------------> 45= (22+8)+(12+x) -----> x= 3 = ningún lugar
noMuseo= (acuario+ningún lugar) = 12+3= 15 no visitaron ningún museo
**También podriamos plantear directamente que de 45 estudiantes de la excursión, 30 fueron a museos (22+8) y los restantes no fueron a museos (45-30=15)
Desencadenado, si utilizas conjuntos mejor representarlo sin intersecciones entre ellos (pues cada uno de los estudiantes visitó un lugar y sólo uno)
acuario ∪ ningúnlugar = ningún museo
museoCiencias ∪ museoBellasartes = museo
acuario ∪ ningúnlugar ∪ museoCiencias ∪ museoBellasartes = excursión