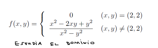
Hola, cómo se hace este ejercicio? O algún vídeo de Unicoos que lo explique, porque no he encontrado ninguno. Gracias.

¡Hola! Nos encantaría ayudarte, pero no solemos responder dudas universitarias que no tengan que ver específicamente con los vídeos que David Calle ha grabado como excepción. O de otras asignaturas que no sean Matemáticas, Física y Química. Lo sentimos de corazón… Esperamos que lo entiendas.
Ojalá algún unicoo universitario se anime a ayudarte (de hecho, lo ideal es que todos los universitarios intentarais ayudaros los unos a los otros).
Sea T : C^2 → C^2 la aplicación lineal definida por T((z1, z2)) = (z1 + z2, z2).
1. Considerando a C^2 como espacio vectorial COMPLEJO, calcule la matriz asociada a T con respecto a
la base
B = {(1 + i, 1 + i), (1 − i, 1 + i)} .
Me pueden ayudar con este ejrcicio porfavor, se que debo hacer la Transformación lineal a los componentes de la base B y luego hacer su combinación lineal con respecto a esta misma base
pero no me resulta nada al calcular esa combinación lineal! :(

¡Hola! Nos encantaría ayudarte, pero no solemos responder dudas universitarias que no tengan que ver específicamente con los vídeos que David Calle ha grabado como excepción. O de otras asignaturas que no sean Matemáticas, Física y Química. Lo sentimos de corazón… Esperamos que lo entiendas.
Ojalá algún unicoo universitario se anime a ayudarte (de hecho, lo ideal es que todos los universitarios intentarais ayudaros los unos a los otros).