
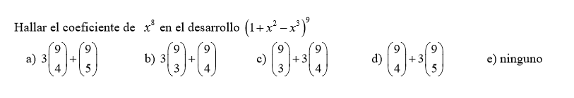
Tienes la expresión:
(1 + x2 - x3)9 = ( (1+x2) - x3 )9 = ∑(k=0,9) C(9,k) (1+x2)9-k*(-x3)k.
Luego, plantea los primeros términos del desarrollo, y tienes:
(1 + x2 - x3)9 = C(9,0) (1+x2)9-0*(-x3)0 + C(9,1) (1+x2)9-1*(-x3)1 + C(9,2) (1+x2)9-2*(-x3)2 + C(9,3) (1+x2)9-3*(-x3)3 + ...
Resuelves coeficientes y exponentes en los términos, y queda:
(1 + x2 - x3)9 = 1*(1+x2)9 - 9*(1+x2)8*x3 + 36*(1+x2)7*x6- 84*(1+x2)6*x9 + ...
Luego, observa que todos los términos, a partir del término remercado, tienen grados mayores o iguales que 9,
por lo que debes considerar solamente los desarrollos correspondientes a los tres primeros términos.
Luego, considera cada término por separado:
a)
A = 1*(1+x2)9 = (1+x2)9 = ∑(k=0,9) C(9,k)*19-k*(x2)k = ∑(k=0,9) C(9,k)*1*x2k = = ∑(k=0,9) C(9,k)*x2k =
= C(9,0)*x0 + C(9,1)*x2 + C(9,2)*X4 + C(9,3)*X6 + C(9,4)*x8 + C(9,5*x10 + ....,
y observa que tienes un término con parte literal x8, al que hemos remarcado;
b)
B = -9*(1+x2)8*x3 = -9*x3*(1+x2)8 = -9*x3*∑(k=0,8) C(8,k)*18-k*(x2)k = -9*x3*∑(k=0,9) C(9,k)*x2k =
= -9*x3*( C(9,0)*x0 + C(9,1)*x2 + C(9,2)*x4 + C(9,3)*x6 + ... ) = distribuyes, y queda:
= -9*C(9,0)*x3 - 9*C(9,1)*x5 - 9*C(9,2)*x7 - 9*C(9,3)*x9 - ...,
y observa que no tienes términos con parte literal x8;
c)
C = 36*(1+x2)7*x6 = 36*x6*(1+x2)7 = 36*x6*∑(k=0,7) C(7,k)*17-k*(x2)k = 36*x6*∑(k=0,7) C(7,k)*x2k =
= 36*x6*( C(7,0)*x0 + C(7,1)*x2 + C(7,2)*x4 + ... ) = dsitribuyes, y queda:
= 36*C(7,0)*x6 + 36*C(7,1)*x8 + 36*C(7,2)*x10 + ...,
y observa que tienes un término con parte literal x8, al que hemos remarcado.
Luego, tienes que el término con parte literal x8 en el desarrollo de la expresión de tu enunciado es igual a la suma de los términos remarcados:
T8 = C(9,4)*x8 + 36*C(7,1)*x8 = extraes factor común = ( C(9,4) + 36*C(7,1) )*x8,
cuyo coeficiente es:
a8 = C(9,4) + 36*C(7,1) = 9!/(4!*5!) + 36*7!/(1!*6!) = 126 + 36*7 = 126 + 252 = 378.
Luego, haces los cálculos expresados en las opciones de respuesta, y tienes para la opción:
b) 3*C(9,3) + C(9,4) = 3*84 + 126 = 252 + 126 = 378, por lo que tienes que esta opción es la respuesta correcta.
Espero haberte ayudado.
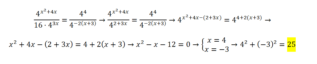
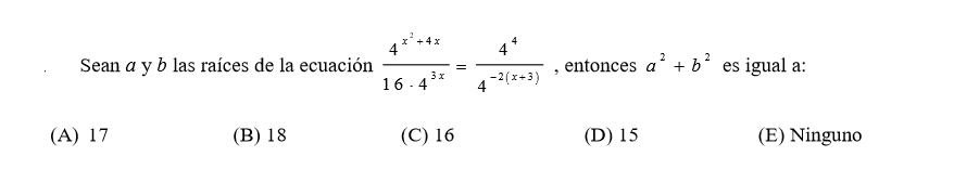
Realiza la siguiente operación de potencias sin utilizar la calculadora. Solo serán válidas las operaciones realizadas con propiedades de potencias.
Hola, alguien me puede echar una mano con este problema. A ser posible con el desarrollo.
Mil gracias por vuestro trabajo.
Hola Ángel, primero muchas gracias por tu respuesta de ayer. Lo único que no entiendo es que en la respuesta que me dan es la misma que tu me dices pero con el 1 delante es decir 1*-210 *33 .
No se lo que has hecho tu con el uno. ¿Me lo puedes explicar por favor?. A lo mejor te parece que soy muy torpe, pero es que hace muchos años que no estudiaba. Gracias de corazón.
un saludo
Es exactamente lo mismo, Bernardo.
1*-210 *33 = -210 *33 = 1*1*-210 *33 ...........
En matemáticas se puede representar el resultado de muchas formas, pero los profesores prefieres la expresión más simplificada posible (con los mínimos números), en este caso es la solución que te dije yo.
No te preocupes, irás tomando nivel con la práctica.
Un saludo.
Buenas tardes,
Necesito una introducción al polinomio de Taylor de tercer grado.
Muchas gracias,

Tienes a tu disposición vídeos aquí en Unicoos, y sería muy conveniente que los mires.
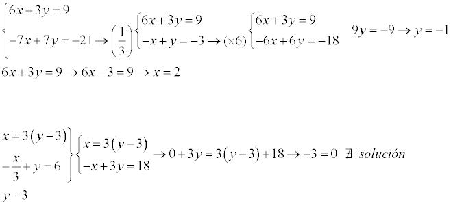
1)
Tienes el sistema, que resolveremos con el Método de Sustitución:
6x + 3y = 9
-7x + 7y = -21;
luego, observa que puedes dividir por 3 en todos los términos de la primera ecuación, y por 7 en todos los términos de la segunda ecuación, y queda:
2x + y = 3
-x + y = -3, aquí haces pasaje de término, y queda: y = -3 + x (1);
luego, sustituyes la expresión señalada (1) en la primera ecuación, y queda:
2x + (-3 + x) = 3, distribuyes el agrupamiento, y queda:
2x - 3 + x = 3, haces pasaje de término, y queda:
2x + x = 3 + 3, reduces términos semejantes en ambos miembros, y queda:
3x = 6, divides en ambos miembros por 3, y queda: x = 2;
luego, reemplazas el valor remarcado en la ecuación señalada (1), y queda:
x = -3 + 2, reduces términos semejantes, y queda: y = -1;
luego, puedes concluir que la solución del sistema es: x = 2, y = -1.
2)
Tienes el sistema, que resolveremos con el Método de Sustitución:
x = 3*(y - 3)
-(1/3)x + y = 6;
luego, distribuyes en el segundo miembro de la primera ecuación, multiplicas por 3 en todos los términos de la segunda ecuación, y queda:
x = 3y - 9 (1)
-x + 3y = 18;
luego, sustituyes la expresión señalada (1) en la segunda ecuación, y queda:
-(3y - 9) + 3y = 18, distribuyes el agrupamiento en el primer miembro, y queda:
-3y + 9 + 3y = 18, haces pasaje de término, y queda:
-3y + 3y = 18 - 9, reduces términos semejantes en ambos miembros, y queda:
0 = 9, que es una igualdad absurda, por lo que puedes concluir que el sistema es incompatible, y no tiene solución.
Espero haberte ayudado.

29)
Observa que las expresiones de los trozos corresponden a funciones continuas, por lo que solamente debes estudiar la continuidad en e punto de corte x = 2,
a)
Debes aplicar la definición:
1°)
f(2) = e2-2 + k = e0 + k = 1 + k;
2°)
Lím(x→2-) f(x) = Lím(x→2-) (2*x - 2) = 2*2 - 2 = 4 - 2 = 2,
Lím(x→2+) f(x) = Lím(x→2+) ex-2 + k = e2-2 + k = e0 + k = 1 + k,
luego, plantea la igualdad entre los límites laterales, y queda:
1 + k = 2, haces pasaje de término, y queda: k = 1.
3°)
La expresión de la función continua en el intervalo [0,4] queda:
f(x) =
2*x - 2 si x < 2
ex-2 + 1 si x ≥ 2.
b)
Observa que tienes:
f(3) = e3-2 + 1 = e1 + 1 = e + 1, por lo que tienes que el punto A(3,e+1) es el punto de contacto entre la gráfica de la función y la recta tangente.
Luego, plantea la expresión de la función derivada:
f ' (x) =
2 si x < 2
no está definida si x = 2 (observa que los límites laterales son diferentes para x tendiendo a 2)
ex-2 si x > 2;
luego, evalúas para el punto de contacto, y queda:
f ' (3) = e3-2 = e1 = e, por lo que tienes que la pendiente de la recta tangente es: m = e;
luego, planteas la ecuación punto-pendiente de la recta tangente, y queda:
y = e*(x - 3) + e+1, distribuyes, y queda:
y = e*x - 3e + e + 1, reduces términos semejantes, y queda:
y = e*x - 2e+1.
c)
Observa que la gráfica del primer trozo es un segmento (trozo de recta), que pasa por los puntos: (0,-2), (1,0) y (2,2) (observa que este último punto no pertenece al trozo),
por lo que tienes para él dos triángulos:
1°)
con vértices (0,-2), (0,0) y (1,0), cuya base mide: b = 1 y cuya altura mide: h = 2, por lo que su área queda: A1 = b*h/2 = 1*2/2 = 1;
2°)
con vértices (1,0), (2,2) y (2,0), cuya base mide: b = 1 y cuya altura mide: h = 2, por lo que su área queda: A2 = b*h/2 = 1*2/2 = 1;
3°)
plantea para el área determinada por el segundo trozo:
A3 = 2∫4 (ex-2 + 1)*dx = [ ex-2 + x ] = evalúas = ( e2 + 4 ) - ( e0 + 2 ) = e2 + 4 - 1 - 2 = e2 + 1;
luego, tienes para el área determinada por la gráfica de la función y el eje OX en el intervalo [0,4]:
A = A1 + A2 + A3 = 1 + 1 + e2 + 1 = e2 + 3.
Espero haberte ayudado.