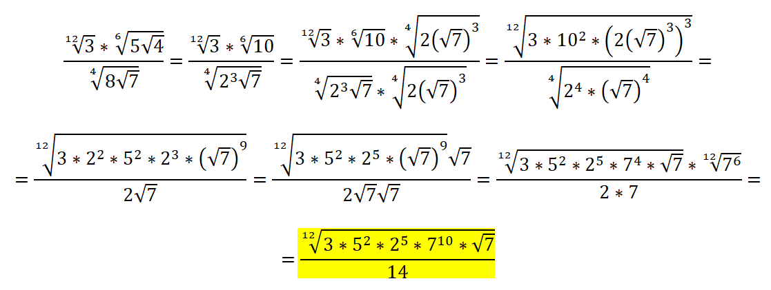
Hola me podrían ayudar a racionalizar esta operación????? Esque se me hace imposible se lo agradecería muchísimo .Muchas gracias

Comienza por tratar cada factor, y el denominador, por separado, hasta expresarlos con el mínimo índice común:
A = 12√(3) = 24√(32);
B = 6√( 5*√(4) ) = 6√(5*2) = 24√( (5*2)4 ) = 24√(54*24);
C = 4√( 8*√(7) ) = 4√(8)*4√( √(7) ) = 4√(23)*8√(7) = 24√( (23)6 )*24√(73) = 24√(218)*24√(73) = 24√(218*73).
Luego, plantea la expresión que tienes en tu enunciado:
A*B/C = 12√(3)*6√( 5*√(4) ) / 4√( 8*√(7) ) = sustituyes expresiones, y queda:
= 24√(32)*24√(54*24) / 24√(218*73) =
aquí multiplicas al numerador y al denominador por la expresión "complementaria" del denominador, y queda:
= 24√(32)*24√(54*24)*24√(26*721) / 24√(218*73)*24√(26*721) =
asocias raíces en el numerador y en el denominador por separado, y queda:
= 24√(32*54*24*26*721) / 24√(224*724) =
reduces y ordenas factores en el argumento de la raíz en el numerador, simplificas índice y exponentes en el denominador, y queda:
= 24√(210*32*54*721) / (2*7) =
= 24√(210*32*54*721) / 14,
y observa que no es posible extraer factores en la raíz del numerador.
Espero haberte ayudado.
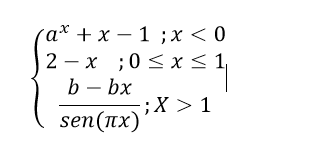
Hola Unicoos por favor me podrian ayudar con este ejercicio de continuidad, me pide que halle los valores de a y b para que la funcion sea continua en todos los numeros reales
Hola Unicoos.
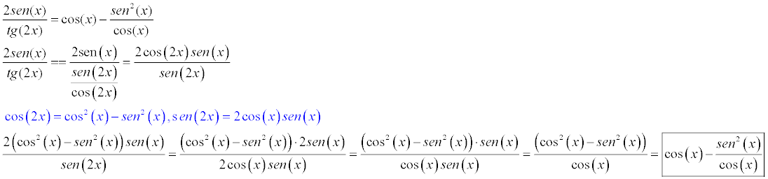
A mí esta integral me da Ln|√3| y en las soluciones pone que su resultado es -1/6(e^-2 - e)
Podrían ayudarme a llegar hasta esa solución?
Muchas gracias.

Tu respuesta es correcta , debe existir algún error en el texto o copiaste mal.
El numerador es Sec2t por identidad , luego es una integral directa ya que abajo está Tant y arriba su diferencial que es Sec2t dt , entonces queda ya evaluando : Ln|Tan(pi/3)| - Ln|Tan(pi/4)| = Ln|sqrt(3)|
(2senx)/(tg2x) ⇔
(2senx)/ ((sen2x)/(cos2x)) ⇔
(2*cos2x*senx)/ (sen2x) ⇔
(2*(cos2x-sen2x)*senx)/ (2*cosx*senx) ⇔
((2cos2x-2sen2x)*senx)/ (2*cosx*senx) ⇔
((2cos2x*senx-2sen3x)/ (2*cosx*senx) ⇔
(2cos2x*senx)/(2*cosx*senx) - (2sen3x)/(2*cosx*senx) ⇔
(2cos2x*senx)/(2*cosx*senx) - (2sen2x)/(2*cosx*senx) ⇔
cosx- ((sen2x)/cosx)