Unicos buenas noches, alguien podria ayudarme a definir los limites de integracion de una integral triple, se que no esta en el contenido, pero una pequeña ayuda podria ayudarme en la resolucion del ejercicio.

¡Hola! Nos encantaría ayudarte, pero no solemos responder dudas universitarias que no tengan que ver específicamente con los vídeos que David Calle ha grabado como excepción. O de otras asignaturas que no sean Matemáticas, Física y Química. Lo sentimos de corazón… Esperamos que lo entiendas.
Ojalá algún unicoo universitario se anime a ayudarte (de hecho, lo ideal es que todos los universitarios intentarais ayudaros los unos a los otros).
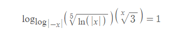
Buenas tardes, hice lo posible para entender como resolver esta ecuación logarítmica con los videos subidos por parte de David, pero no he logrado descifrar como. Se agradece ayuda.

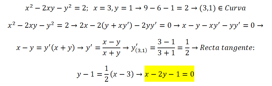
Observa que el punto (3,1) pertenece a la curva, por lo que es el punto de contacto con la recta tangente,
cuya ecuación puedes dejar planteada en la forma:
y - 1 = m(x - 3) (*),
y la pendiente queda planteada como el valor de la función derivada evaluada en el punto de contacto.
Luego, derivas implícitamente con respecto a x en la ecuación de la curva,
que define implícitamente a y como función de x: y = f(x), y queda:
2*x - 2*y - 2*x*y ' - 2*y*y ' = 0,
divides en todos los términos de la ecuación por 2, y queda:
x - y - x*y ' - y*y ' = 0,
reemplazas las coordenadas del punto de contacto, y queda:
3 - 1 - 3*y ' - 1*y ' = 0, reduces términos semejantes, haces pasaje de término, y queda:
-4*y ' = -2, haces pasaje de factor como divisor, y queda:
y ' = 1/2, que es el valor de la pendiente de la recta tangente en el punto de contacto,
por lo tanto tienes: m = 1/2;
luego, reemplazas en la ecuación de la recta tangente señalada (*), y queda:
y - 1 = (1/2)*(x - 3), distribuyes en el segundo miembro, haces pasaje de término, y queda:
y = (1/2)*x - 1/2.
Espero haberte ayudado.
Hola Unicoos,
Una ayuda con este ejercicio
En un experimento se introducen dos líquidos en dos matraces y se quiere hallar la masa total del líquido.
Se conocen:
M1=Masa del matraz 1+contenido=540± 10 g
m1=masa del matraz 1=72±1 g
M2=Masa del matraz 2 + contenido=940±20 g
m2=Masa del matraz 2=97± 1g
La pregunta es :¿Cuál es el error absoluto y el error relativo en el cálculo de la masa total de líquido?

¡Hola! Nos encantaría ayudarte, pero no solemos responder dudas universitarias que no tengan que ver específicamente con los vídeos que David Calle ha grabado como excepción. O de otras asignaturas que no sean Matemáticas, Física y Química. Lo sentimos de corazón… Esperamos que lo entiendas.
Ojalá algún unicoo universitario se anime a ayudarte (de hecho, lo ideal es que todos los universitarios intentarais ayudaros los unos a los otros).
Podeis ayudarme porfavor?
Actividad 8
La base de un triángulo isósceles mide 50 cm y los lados iguales 40 cm .Calcular los ángulos y el área del triángulo