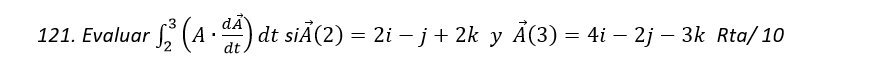
hola, alguien podira ayudarme con esta incognita, como puedo saber las componentes de un vector A(x,y,z)=xi+yj+zk, sabiendo 2 vectores por ejemplo
A(2)=2i-j+2k
A(3)=4i-2k-3k

¡Hola! Nos encantaría ayudarte, pero no solemos responder dudas universitarias que no tengan que ver específicamente con los vídeos que David Calle ha grabado como excepción. O de otras asignaturas que no sean Matemáticas, Física y Química. Lo sentimos de corazón… Esperamos que lo entiendas.
Ojalá algún unicoo universitario se anime a ayudarte (de hecho, lo ideal es que todos los universitarios intentarais ayudaros los unos a los otros).

Vamos con una orientación.
Tomamos a modo de ejemplo la función vectorial de tres variables:
A = < p , q , r >,
cuyas componentes (p, q, r) son funciones con variable t, que son derivables y también integrables.
Luego, plantea la expresión de la función derivada primera:
dA/dt = < dp/dt , dq/dt , dr/dt >.
Luego, plantea el producto escalar:
A • dA/dt = < p , q , r > • < dp/dt , dq/dt , dr/dt > = p*dpdt + q*dq/dt + r*dr/dt.
Luego, plantea la integral:
∫ (A • dA/dt) = ∫ (p*dpdt + q*dq/dt + r*dr/dt) = p2/2 + q2/2 + r2/2 + C = (p2 + q2 + r2)/2 + C = |A|2/2 + C,
que es la solución general de la integral, que corresponde a una familia de funciones escalares con variable t.
Espero haberte ayudado.
Calcula D, P y A10 de la matriz diagonalizable: ¿Cómo se haría?
A= 1 0 3
0 -2 0
2 0 0

¡Hola! Nos encantaría ayudarte, pero no solemos responder dudas universitarias que no tengan que ver específicamente con los vídeos que David Calle ha grabado como excepción. O de otras asignaturas que no sean Matemáticas, Física y Química. Lo sentimos de corazón… Esperamos que lo entiendas.
Ojalá algún unicoo universitario se anime a ayudarte (de hecho, lo ideal es que todos los universitarios intentarais ayudaros los unos a los otros).
porque la función y = 1/(x-2) en x=2 la discontinuidad es de segunda especie? no seria en todo caso una discontinuidad asintotica, es decir, de primera especie?

https://www.youtube.com/watch?v=5VcHZxch6H8 En este video, David dice que es de segunda especie. Que diferencia hay?