
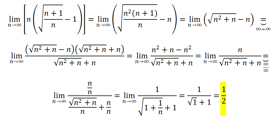
Observa que tienes todas las condiciones para aplicar el Teorema de Gauss:
la ecuación cartesiana de la superficie esférica es: (x-5)2 + (y-5)2 + z2 = 36,
y el sólido limitado por ella queda expresado por la inecuación: (x-5)2 + (y-5)2 + z2 ≤ 36,
luego, reemplazas las coordenadas de los puntos, y tienes:
que los puntos (0,0,0), (1,0,0) y (0,1,0) no pertenecen al sólido limitado por la esfera,
y que el punto (1,1,0) si pertenece a dicho sólido, y se encuentra en el interior de él,
por lo tanto tienes que la carga neta encerrada en el solido es: Q = 1 C.
Luego, aplicas el Teorema de Gauss, y tienes que la integral de superficie cerrada es igual a Q/ε0 (expresada en Nm2/C, en el sistema internacional de unidades).
Luego, solo queda que reemplaces valores y hagas el cálculo.
Espero haberte ayudado.
Hola Unicoos.
Para saber si es un máximo o un mínimo lo puedo hacer con la monotonía o con la segunda derivada. Lo he hecho de las dos formas pero mi duda es: no tengo que tener en cuenta el dominio de la función (lo subrayado en amarillo)? Porque eso sería la función verdad?
Muchas gracias

Observa que tienes las áreas:
x2, para el fondo, cuyo costo es: Cf = 3x2,
x2, para la tapa, cuyo costo es: Ct = 2x2,
luego, para las cuatro paredes tienes:
4xy, cuyo costo es: Cp = 2(4xy) = 8xy, aquí sustituyes la expresión que obtuviste a partir de la expresión del volumen: y = 160/x2 (*),
y queda: Cp = 8x(160/x2) = 1280/x2.
Luego, la expresión de la función costo total queda:
C(x) = Cf + Ct + Cp, sustituyes expresiones, y queda:
C(x) = 3x2 + 2x2 + 1280/x2, reduces términos semejantes, y queda:
C(x) = 5x2 + 1280/x2 (1),
y las expresión de la función derivada primera queda:
C ' (x) = 10x - 2560/x3 (2),
y la expresión de la función derivada segunda queda:
C ' ' (x) = 10 + 7680/x4 (3).
Luego, plantea la condición de punto crítico (posible máximo o posible mínimo):
C ' (x) = 0, sustituyes la expresión señalada (2), y queda:
10x - 2560/x3 = 0, haces pasaje de término, y queda:
10x = 2560/x3, haces pasaje de divisor como factor, luego de factor numérico como divisor, y queda:
x4 = 256, haces pasaje de potencia como raíz, y quedan dos opciones:
a)
x = -4, que no tiene sentido para este problema, porque x representa una longitud y, por lo tanto, debe tomar valores estrictamente positivos;
b)
x = 4, que si tiene sentido para este problema;
luego, reemplazas el valor remarcado en la expresión señalada (3), y queda:
C ' ' (4) = 10 + 7680/44 = 40 > 0,
por lo que tienes que la gráfica de la función es cóncava hacia arriba en el punto crítico,
por lo que puedes concluir que la función alcanza un mínimo en x =4 cm,
luego, reemplazas en la expresión señalada (*) y tienes para la altura de la caja: y = 160/10 = 10 cm,
luego, reemplazas en la expresión señalada (1), y el valor del costo mínimo queda:
C(4) = 5(4)2 + 1280/(4)2 = 80 + 80 = 160 euros.
Espero haberte ayudado.

Puedes comenzar por eliminar z entre ambas ecuaciones, y para ello sumas miembro a miembro, y queda:
6x - 2y = 19, que es una ecuación cartesiana implícita del plano proyectante sobre el plano coordenado OXY.
Luego, puedes eliminar y entre ambas ecuaciones, para ello al triple de la primera ecuación le sumas miembro a miembro la segunda, y queda:
8x - 2z = 27, que es una ecuación cartesiana implícita del plano proyectante sobre el plano coordenado OXZ.
Luego, puedes eliminar x entre ambas ecuaciones, para ello al quíntuple de la primera ecuación le restas miembro a miembro la segunda, y queda:
8y - 6z = 5, que es una ecuación cartesiana implícita del plano proyectante sobre el plano coordenado OYZ.
Espero haberte ayudado.
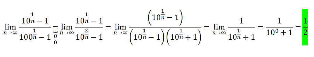
Utilizando el teorema del emparedado (o como lo quieras llamar, aquí se recogen todos sus "apodos": http://profe-alexz.blogspot.com.es/2011/11/teorema-del-sandwich-para-limites.html) llegas a la solución c) -->El resultado del límite pertenece al intervalo (-1,1)
Este es el proceso a seguir https://es.symbolab.com/solver/step-by-step/%5Clim_%7Bx%5Cto%5Cinfty%7D%5Cleft(%5Cfrac%7Bx%5E%7B2%7Dcos%5Cleft(x!%5Cright)%7D%7Bx%5E%7B4%7D%2B1%7D%5Cright)
, si dudas es algún paso nos cuentas.
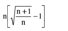
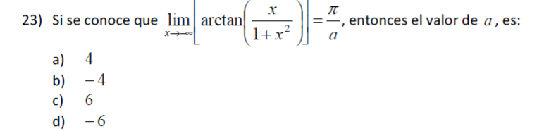
Hola Unicoos, por favor me pueden ayudar con este limite, la verdad no se como manejar ese arcotangente...
lim(x→-∞) arctg(x/(1+x2))=
lim(x→-∞) (arctg((x/x)/(1+x2)/x)=
lim(x→-∞) arctg(1/(1+x2)/x)=
lim(x→-∞) arctg(1/((1/x)+ (x2/x)))=
lim(x→-∞) arctg(1/((1/x)+ x)))=
arctg(1/((1/-∞) - ∞)))=
arctg(1/(0 - ∞))=
arctg(1/-∞)=
arctg(0)=
0 = lim(x→∞) arctg(x/(1+x2))
Tu enunciado dice que 0= π/a y las opciones que te dan NO lo hacen verdadero en ningún caso:
a) 0≠ π/4
b) 0≠ π/-4
c) 0≠ π/6
d) 0≠ π/-6
***la respuesta correcta sería a=infinito, ya que 0= π/∞

¡Hola! Nos encantaría ayudarte, pero no solemos responder dudas universitarias que no tengan que ver específicamente con los vídeos que David Calle ha grabado como excepción. O de otras asignaturas que no sean Matemáticas, Física y Química. Lo sentimos de corazón… Esperamos que lo entiendas.
Ojalá algún unicoo universitario se anime a ayudarte (de hecho, lo ideal es que todos los universitarios intentarais ayudaros los unos a los otros).