Foro de preguntas y respuestas de Matemáticas

logo beUnicoos
Los foros de unicoos se han unificado en nuestra nueva plataforma beUnicoos. Para dejar nuevas preguntas deberás hacerlo allí, donde además podrás encontrar nuevas asignaturas y herramientas para ayudarte más con tus estudios.

  • icon

    federico garcia
    el 18/11/17

    el determinante como se deduce?

    replythumb_up0 voto/sflag
    icon

    Antonius Benedictus
    el 18/11/17


    thumb_up0 voto/sflag
  • icon

    Pablo Bonillo
    el 18/11/17
    flag

    Hola buenas tardes

    En clase cuando me han explicado como hallar el perimetro de un segmento circular han pueso que es L ( longitud del arco)+ b ( cuerda)

    Lo que no he entendido es de donde sale que b es igual a la raiz cuadrada de Rcuadrado + R cuadrado - 2.R.R cos alfa ...

    Sólo se que si aplico pitagoras b es la raiz cuadrada de Rcuadrado + haltrua cuadrado.. pero de donde sale que hatura cuadrado es R cuadrado - 2.R.R cos alfa??


    gracias

    replythumb_up0 voto/sflag
    icon

    Antonius Benedictus
    el 18/11/17

    Pon foto del original, y vemos exactamente qué te han explicado.

    thumb_up0 voto/sflag
    icon

    Rodrigo Ivan Saez
    el 21/11/17

    la formula que pones creo es el teorema del coseno, es una generalizacion del teorema de pitagoras. 

    esa formula se puede demostrar usando solo pitagoras y trigonometria, en wikipedia sale:

    https://es.wikipedia.org/wiki/Teorema_del_coseno

    thumb_up0 voto/sflag
  • icon

    bboy Fabian
    el 18/11/17

    Hola unicoos una duda, como podria resolver:

    hallar todos los puntos sobre la gráfica de la función en donde la tangente es paralela a la recta dada.

    f(x) = e^x -e^(2x) +1                                            y=2x+2y=5

    replythumb_up0 voto/sflag
    icon

    Gonzalo
    el 18/11/17

    Cuál es la recta?

    thumb_up0 voto/sflag
    icon

    bboy Fabian
    el 18/11/17

     y=2x+2y=5

    thumb_up0 voto/sflag
    icon

    Gonzalo
    el 20/11/17

    La recta debería ser 2x+2y=5, si es esa la ecuación de la recta la pendiente es -1, luego se resuelve f'(x)=-1 

    thumb_up0 voto/sflag
    icon

    Gonzalo
    el 20/11/17

    f'(x)=e^x-2e^2x=e^x(1-2e^x)

    e^x(1-2e^x)=-1

    x=0

    En el punto (0, f(0)) la gráfica de f(x) es paralela a la recta 2x+2y=5

    P(0,1)

    thumb_up0 voto/sflag
  • Usuario eliminado
    el 18/11/17

    Hola Unicoos, por favor me podrian ayudar con este ejercicio, es que no entiendo como hacerlo


    replythumb_up0 voto/sflag
    icon

    Antonius Benedictus
    el 18/11/17


    thumb_up1 voto/sflag
  • Usuario eliminado
    el 18/11/17

    ¿Me pueden ayudar con este Teorema, es que no lo entiendo? Muchas gracias de antemano



    replythumb_up0 voto/sflag
    icon

    Antonius Benedictus
    el 18/11/17


    thumb_up1 voto/sflag
  • icon

    federico garcia
    el 18/11/17

    esta bien resuelto?

    replythumb_up0 voto/sflag
    icon

    Antonius Benedictus
    el 18/11/17

    Está bien, Federico.

    thumb_up0 voto/sflag
  • icon

    Interayuda
    el 18/11/17

    Buenas tardes a todos los inicios,podría alguien aclarando esta pregunta: la propiedad del inverso multiplicativo no es válida para:

    a. Los números enteros.

    b. Los números racionales.

    c. Los números irracionales.

    d. Los complejos.


    Yo diría en mi ignorancia que la d.

    Es correcto?


    Gracias

    replythumb_up0 voto/sflag
    icon

    Antonio
    el 18/11/17

    Es la opción a,

    pues el inverso de un entero no es un entero

    thumb_up0 voto/sflag
    icon

    Antonio Silvio Palmitano
    el 18/11/17

    Completamos:

    la opción correcta es a,

    porque los únicos enteros que tienen inverso multiplicativo también entero son -1 y 1,

    y todos los demás enteros distintos de cero no tienen inverso multiplicativo en el conjunto de los números enteros.

    Espero haberte ayudado.

    thumb_up1 voto/sflag
  • icon

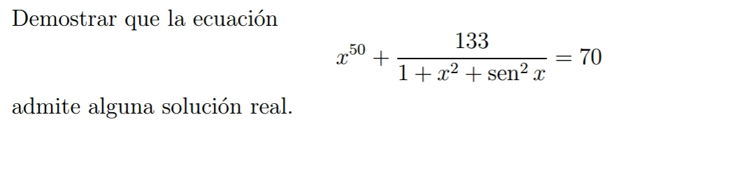
    Nuria
    el 18/11/17

    Hola:

    No entiendo por qué en el siguiente vídeo de David, cambia la primera columna por una combinación lineal de todas las columnas. Cuando hacemos una combinación lineal ¿no se hace con el resto de columnas?

    https://www.unicoos.com/video/matematicas/2-bachiller/determinantes/propiedades-de-los-determinantes/propiedades-de-los-determinantes-01

    replythumb_up0 voto/sflag
    icon

    César
    el 18/11/17


    thumb_up0 voto/sflag
  • icon

    Alvaro
    el 18/11/17

    Hola, por favor alguien podría resolverme este ejercicio? Gracias de antemano



    replythumb_up0 voto/sflag
    icon

    Antonius Benedictus
    el 18/11/17


    thumb_up0 voto/sflag
  • icon

    A. Q Torres
    el 18/11/17

    Alguien me podría dar una mano con este ejercicio de parábola plis!


    replythumb_up0 voto/sflag
    icon

    Antonius Benedictus
    el 18/11/17


    thumb_up0 voto/sflag