Foro de preguntas y respuestas de Matemáticas

logo beUnicoos
Los foros de unicoos se han unificado en nuestra nueva plataforma beUnicoos. Para dejar nuevas preguntas deberás hacerlo allí, donde además podrás encontrar nuevas asignaturas y herramientas para ayudarte más con tus estudios.

  • icon

    lbp_14
    el 30/10/17

    Hola Unicoos,

    Tengo bien el dominio de arriba? Y como podría resolver las dos ecuaciones de abajo? Muchas gracias


    replythumb_up0 voto/sflag
    icon

    Ángel
    el 30/10/17

    Siguiendo en la línea de los anteriores:

    f(x)= ex-Lnx-3

    Tomamos valores que estén dentro del dominio, por ejemplo:

    f(1)= e-3 <0

    f(2)= e2-Ln2 -3 >0


    Aseguramos que hay una x entre 1 y 2 que es solución de f(x)= ex-Lnx-3


    El segundo procediendo igual concluyes que hay una x entre 0 y 1 que verifica la ecuación (y además su dominio es todo R)

    Si no te sale nos cuentas.


    thumb_up0 voto/sflag

    Usuario eliminado
    el 31/10/17

    No resoluble en términos elementales.

    thumb_up0 voto/sflag
  • icon

    Moxie
    el 30/10/17

    Que hice mal? Tiene que dar infinito

    replythumb_up0 voto/sflag
    icon

    Antonius Benedictus
    el 30/10/17


    thumb_up0 voto/sflag
  • icon

    Blanca
    el 30/10/17
    flag

    Buenas tardes, ¿como se encuentran todos los máximos de una función? Tanto los relativos como los absolutos.

    Igualando la derivada a 0 encuentro 1 máximo, pero  ¿cual es de todos? ¿relativo? ¿absoluto?

    Muchas gracias


    replythumb_up0 voto/sflag
    icon

    David
    el 15/11/17

    No podrás saber si es relativo o absoluto hasta que no dibujes la funcion....

    thumb_up0 voto/sflag
  • icon

    lbp_14
    el 30/10/17

    Hola Unicoos, no sé si tengo que aplicar Bolzano. Me he quedado atascada. Muchas gracias


    replythumb_up0 voto/sflag
    icon

    Ángel
    el 30/10/17

    Ahí no tienes que usar el Teorema de Bolzano tal cual, sino una pequeña modificación. 

    Ya que demostraste     que es continua tienes que encontrar un valor de x que haga f(x) menor que  2     y  otro f(x) mayor que 2.

    Por ejemplo: 

    f(0)=0

    f(90)=180


    Entonces entre 0 y 90 toma el valor 2.

    thumb_up0 voto/sflag
  • icon

    lbp_14
    el 30/10/17

    Hola Unicoos, como puedo resolver estas ecuaciones? 

    Muchas gracias


    replythumb_up0 voto/sflag
    icon

    Ángel
    el 30/10/17

    ¿Puedes poner el enunciado original? :D

    thumb_up0 voto/sflag
  • icon

    Adrian
    el 30/10/17

    Buenas tardes, estoy empezando con integrales y me cuesta reconocer que caso usar, me dirían como se hace Está integral? Gracias ∫3-(Χ/e).

    replythumb_up0 voto/sflag
    icon

    Ángel
    el 30/10/17

    ∫(3-(x/e))dx=

    ∫3dx - ∫(x/e)dx=

    ∫3dx -  1/e*∫xdx=

    3x - 1/e*(x2/2) +C=

    3x - x2/(2e) + C

    thumb_up0 voto/sflag
    icon

    Adrian
    el 30/10/17

    Hola Angel, usaste sustitución? 

    thumb_up0 voto/sflag
    icon

    Ángel
    el 30/10/17

    No, integración inmediata.


    ∫(3-(x/e))dx=

    La resta en una integral se convierte en resta de integrales:

    ∫3dx - ∫(x/e)dx=

    Sacamos el 1/e fuera de la integral:

    ∫3dx -  1/e*∫xdx=

    Integramos directamente (ten en cuenta que la integral de n es nx---->en tu caso integral de 3 es 3x  y la de    xn es xn+1/(x+1)  ---->  ∫x1dx= x2/2

    3x - 1/e*(x2/2) +C=

    3x - x2/(2e) + C

    thumb_up1 voto/sflag
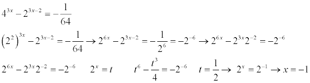
  • icon

    Jaquelin
    el 30/10/17

    Hallar el/los valores de X :

    43x -23x-2 =-1/64

    replythumb_up0 voto/sflag
    icon

    César
    el 30/10/17


    thumb_up0 voto/sflag
    icon

    Antonio Silvio Palmitano
    el 30/10/17

    Observa que al primer término puedes escribirlo: 43x = (22)3x = (23x)2.

    Observa que al segundo término puedes escribirlo: 23x-2 = 23x*2-2 = 2-2*23x = (1/4)*23x.

    Luego, aplica la sustitución (cambio de incógnita): w = 23x (observa que w toma valores estrictamente positivos),

    luego sustituyes, y la ecuación queda:

    w2 - (1/4)*w = -1/64, multiplicas por 64 en todos los términos, haces pasaje de término, y queda:

    64*w2 - 16*w + 1 = 0, factorizas el primer miembro (observa que es un trinomio cuadrado perfecto), y queda

    (8*w - 1)2 = 0, haces pasaje de potencia como raíz, y queda:

    8*w - 1 = 0, haces pasaje de término, y queda:

    8*w = 1, haces pasaje de factor como divisor, y queda:

    w = 1/8, expresas el segundo miembro como potencia con base dos, y queda:

    w = 2-3, luego, sustituyes en el primer miembro, y queda:

    23x = 2-3, aplicas la propiedad de la igualdad entre potencias con bases iguales, y queda:

    3x = -3, haces pasaje de factor como divisor, y queda:

    x = -1.

    Espero haberte ayudado.

    thumb_up0 voto/sflag
    icon

    Ángel
    el 30/10/17

    43x -23x-2 =-1/64

    (22)3x-23x-2 = -1/64

    (23x)2-23x-2 = -1/64

    (23x)2-(23x)/22 = -1/64

    (23x)2-(23x)/4 = -1/64

    Cambio de variable: 23x=t

    t2-(t/4)= -1/64

    64t2-16t= -1

    64t2-16t+1= 0

    Resolvemos la ecuación de segundo grado y obtenemos t= 1/8

    Como t=1/8 y t=23x, entonces 1/8=23x    -------->  1/(23)=23x   ----->  2-3=23x    -------->  x= -1

    thumb_up0 voto/sflag
  • icon

    lbp_14
    el 30/10/17

    Hola Unicoos, es correcto este ejercicio? Muchas gracias


    replythumb_up0 voto/sflag
    icon

    Ángel
    el 30/10/17

    Lo veo correcto.

    thumb_up0 voto/sflag
    icon

    César
    el 30/10/17

    Bolzano dice continua en [-1,1]   pero no lo es , luego no cumple el teorema.


    thumb_up0 voto/sflag
  • icon

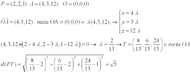
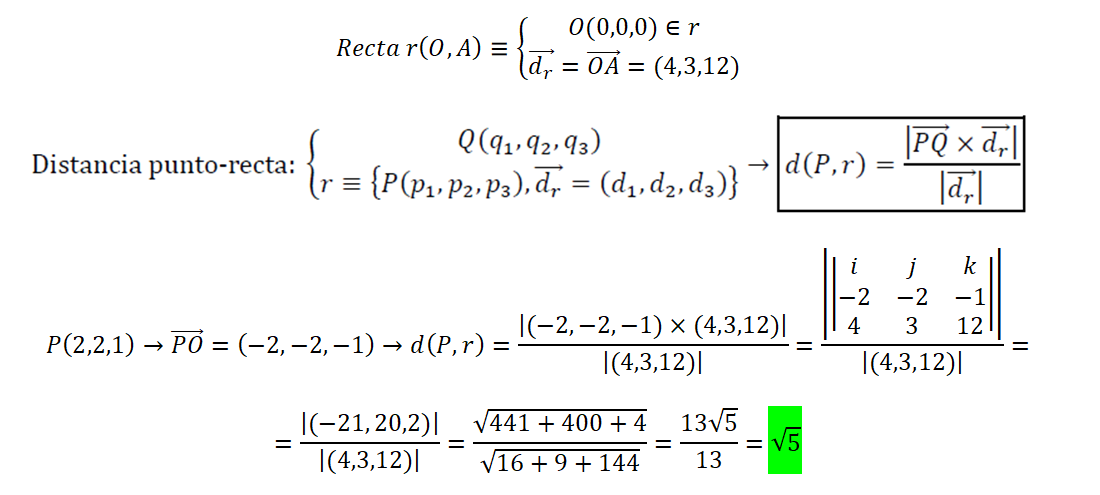
    Zero X
    el 30/10/17

    POR FAVOR ALGUIEN PODRIA AYUDARME.

    2.79 Calcular la menor distancia que existe entre el punto P y la recta que pasa por el origen de coordenadas y el punto A, sabiendo que sus coordenadas son (2;2;1) y (4;3;12) respectivamente.


    replythumb_up0 voto/sflag
    icon

    Antonius Benedictus
    el 30/10/17


    thumb_up0 voto/sflag
    icon

    César
    el 30/10/17


    thumb_up0 voto/sflag
  • icon

    Julian
    el 30/10/17

    Me ayudan con esta por L'hopital 

    Gracias! 

    replythumb_up0 voto/sflag
    icon

    Antonio Silvio Palmitano
    el 30/10/17

    Puedes aplicar la sustitución (cambio de variable):

    x = -1/w, y observa que w tiende a 0 desde valores positivos,  cuando x tiende a -infinito.

    Luego, sustituyes, y el límite queda:

    Lím(w→0+)  ( (-1/w)*e-w + 1/w) ) =

    Lím(w→0+) ( -1/(w*ew) + 1/w) ) =

    Lím(w→0+) ( (-1 + ew)/(w*ew) ) = aplicas la Regla de L'Hôpital:

    Lím(w→0+) ew/(ew + w*ew) = 1/(1+0*1) = 1/1 = 1.

    Espero haberte ayudado.


    thumb_up0 voto/sflag