
Supongo que allí dice 120/25 = 4.8 parece un 4.5 (corrige en todo caso)
Está bien como lo calculas y = 4.8
Otra forma dada la proporción que viene de la propiedad de la bisectriz : PS = 8k , SQ=17k ==> 8k + 7k = 15 ==> 25k = 15 ==> k=3/5
PS = 8k = 8(3/5) = 24/5 = 4.8 .
** Observa los triángulos ΔOTR y ΔOPS son semejantes (áng - áng - áng ) ==> ∠OTR = ∠OSP = θ
** En el punto T por opuestos por el vértice ∠OTR = ∠PTS = θ
** En el triángulo ΔTPS : ∠PTS = ∠PST = θ , de donde el triángulo es isósceles y PS = PT = 4.8
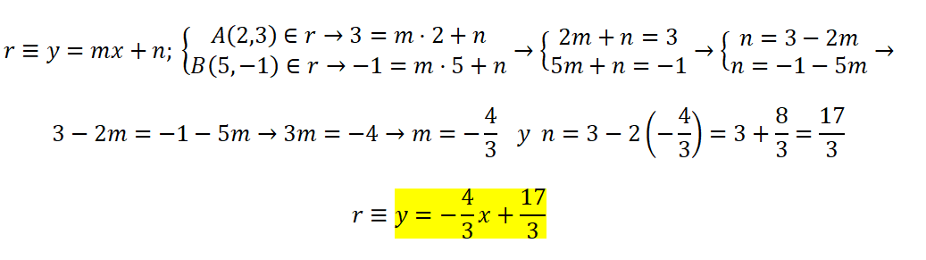
Buenas, ¿cómo se realizaría el siguiente ejercicio?
La recta pasa por los puntos A(2,3) y B(5,-1).
Lo necesito en la forma y=mx+n.
Muchísimas gracias.
Hola, tengo una duda sobre como resolver el siguiente ejercicio sobre funciones cuadráticas: Representa las siguientes parábolas, hallando el vértice, algunos punto próximos a el y los puntos de corte con los ejes. a) y= (x + 4) 2
Lo que hice fue: y = (x + 4)2 → y= x2 + 42 → y= x2+16
Tabla de valores q hice:
¿Esta bien o tengo que hacerlo de otra manera?

Recuerda que para la gráfica de una función polinómica cuadrática tienes que ésta es una parábola, y si indicas a su vértice como el punto cuyas coordenadas son: V(h,k), tienes que las puedes visualizar cambiadas de signos en la ecuación canónica de la parábola, cuya forma general es:
y - k = a(x - h)2;
luego, observa que tienes la ecuación:
y = (x + 4)2, que puedes escribir en la forma:
y - 0 = ( x - (-4) )2,
por lo que tienes que las coordenadas del vértice son: h = -4, k = 0, y queda expresado: V(-4,0).
Luego, puedes evaluar la expresión de la función, y hacer una tabla:
x y
-6 4
-5 1
-4 0 (vértice)
-3 1
-2 4.
Luego, puedes plantear para la intersección con el eje coordenado OX:
y = 0, sustituyes la expresión de la función en el primer miembro, y queda:
(x + 4)2 = 0, haces pasaje de potencia como raíz, y queda:
x + 4 = 0, haces pasaje de término, y queda:
x = - 4, por lo que la parábola corta al eje OX en el punto: V(-4,0).
Luego, puedes plantear para la intersección con el eje coordenado OY:
y = f(0), sustituyes la expresión de la función evaluada para x = 0, y queda:
y = (0 + 4)2, resuelves y queda:
y = 16, por lo que la parábola corta al eje OY en el punto: B(0,16).
Algo MUY IMPORTANTE que debes tener en cuenta es el desarrollo de un binomio elevado al cuadrado:
(x + 4)2 = (x + 4)*(x + 4) = distribuyes = x2 + 4x + 4x + 42 = x2 + 8x + 16,
y RECUERDA que si tienes una potencia cuyo argumento es una suma o una resta NO PUEDES DISTRIBUIR.
Espero haberte ayudado.