Foro de preguntas y respuestas de Matemáticas

logo beUnicoos
Los foros de unicoos se han unificado en nuestra nueva plataforma beUnicoos. Para dejar nuevas preguntas deberás hacerlo allí, donde además podrás encontrar nuevas asignaturas y herramientas para ayudarte más con tus estudios.

  • icon

    Sebástian
    el 20/4/17

    Hola unicoos, por fsvor ayudenme con el siguiente enunciado.

    Gracias.

    replythumb_up0 voto/sflag
    icon

    Antonius Benedictus
    el 20/4/17


    thumb_up0 voto/sflag
  • icon

    Jon Aginaga
    el 20/4/17

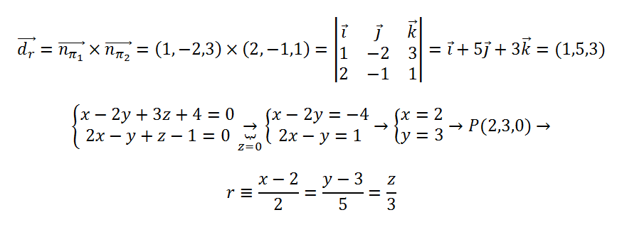
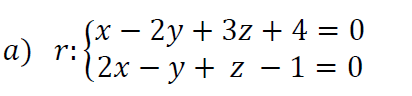
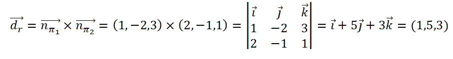
    ¿Cómo se hace este ejercicio?  Poner esta recta en la forma continua. Sé que necesitaría sacar algún vector (creo) pero no sé cómo hacerlo. Muchas gracias.

    replythumb_up0 voto/sflag
    icon

    Antonius Benedictus
    el 20/4/17


    thumb_up0 voto/sflag
    icon

    Jon Aginaga
    el 20/4/17

    ¿Y luego? Me refiero para ponerlo en la ecuación continua, el punto cuál sería? Muchas gracias.

    thumb_up0 voto/sflag
    icon

    Antonius Benedictus
    el 20/4/17


    thumb_up0 voto/sflag
  • icon

    Guillem De La Calle Vicente
    el 20/4/17
    flag

    ¿Por qué es significativo el teorema de Stokes general para los matemáticos? 

    ¿De qué manera es útil para algo más que ser un teorema elegante en sí mismo?

    replythumb_up0 voto/sflag
    icon

    David
    el 26/4/17

    Lo siento Guillem pero solo podemos ayudaros en este foro con dudas de SECUNDARIA o BACHILLER.
    Un abrazo!

    thumb_up0 voto/sflag
  • icon

    Andres Collazos
    el 20/4/17

    Ayuda por favor
    "parametrice la circunferencia x^2+y^2=2aX para a>0 usando como parámetro el angulo positivo comprendido entre el eje OX y el segmento de recta que va desde el origen hasta el borde de la misma"

    replythumb_up0 voto/sflag
    icon

    Antonius Benedictus
    el 20/4/17


    thumb_up1 voto/sflag
  • icon

    Miltoner Oficial
    el 20/4/17

    Una manita con estos ejercicios :-)


    replythumb_up0 voto/sflag
    icon

    Antonius Benedictus
    el 20/4/17

  • icon

    Anderson Calet Ramriez
    el 20/4/17
    flag

       ayuda con la pregunta 39


    replythumb_up0 voto/sflag
    icon

    David
    el 26/4/17

    Lo siento pero no se ve la imagen...

    thumb_up0 voto/sflag
  • icon

    Nicolas
    el 20/4/17

    Multiplicación de polinomios :

    (x2+3x-1).(x+3).(x-3)=

    Gracias

    replythumb_up0 voto/sflag
    icon

    Ángel
    el 20/4/17

    (x2+3x-1).(x+3).(x-3)=

    (x2+3x-1).(x2-32)=

    (x2+3x-1).(x2-9)=

    x4-9x2+3x3-27x-x2+9=

    x4+3x3-10x2-27x+9

    thumb_up1 voto/sflag
    icon

    Diaz Daniel Victor
    el 20/4/17



    thumb_up1 voto/sflag
  • icon

    Diego Latorre
    el 20/4/17

    Estoy confundido con este ejercicio que creo que es facil!

    Primero para el dominio, debo resolver la integral y evalular en x y 0? pero da un logaritmo! no puedo evaluar en 0!

    Y para decreciente y concavidad, usando primera y segunda derivada me da una cosa, pero la grafica muestra otra, no se que estoy haciendo mal!

    Gracias!!!

    replythumb_up0 voto/sflag
    icon

    Antonius Benedictus
    el 20/4/17


    thumb_up0 voto/sflag
  • icon

    Jota XIV
    el 20/4/17

    No se me ocurre como demostrar esto....

    Sea S ⊂ N un subconjunto de los naturales no vacío y acotado superiormente. Probar que el supremo de S pertenece a N. ¿Se puede afirmar si es o no maximo? 

    replythumb_up1 voto/sflag
    icon

    AnDres Navarrete
    el 20/4/17


    thumb_up0 voto/sflag
    icon

    AnDres Navarrete
    el 20/4/17

    eso tal vez podria ayudarte amigo.

    thumb_up0 voto/sflag
  • icon

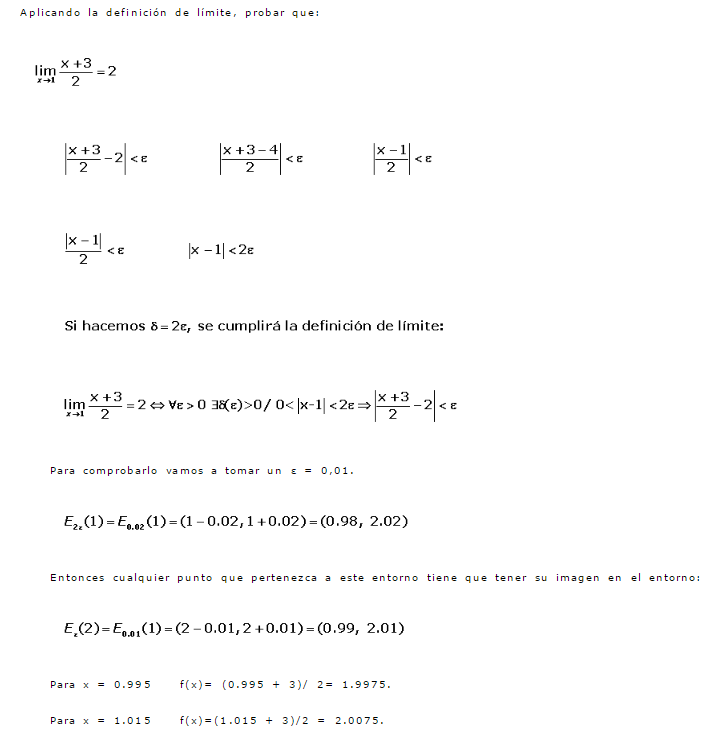
    Silvia Nohemy
    el 20/4/17

    Help me


    Alguien me podría ayudar con este ejercicio o decirme un ejercicio parecido a este pues no tengo ni idea como resolverlo he visto vídeos pero no hay ninguno como este o yo no encuentro


    Desmostar por definición:

    Lim x-->c          1/x =1/c


     

    replythumb_up0 voto/sflag
    icon

    Ángel
    el 20/4/17

    thumb_up1 voto/sflag
    icon

    Antonius Benedictus
    el 20/4/17


    thumb_up1 voto/sflag