Hola buenas, no consigo hacer este ejercicio bien , si me ayudaseis os estaría muy agradecida.
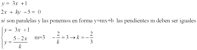
Calcula k para q las rectas y= 3x +1, 2x + ky -5= 0 sean paralelas.
Gracias

Si son paralelas las componentes de su vector direccional deben ser iguales entonces
Pasamos a forma general
Primera recta : 3x-y+1=0 ( A = 3 , B=-1)
Segunda recta: 2x+ky-5=0 ( A´ = 2 , k = B´)
Para que A y B (Ax+By+C=0) de la primera y de la segunda recta sean iguales A/B=A´/K´
luego k =2*(-1)/3 = -2/3

1)
A de las 100 piezas 5 son defectuosas
B de las 200 piezas 12 son defectuosas ya que tiene una % de 6, de cada 100, 6 son malas
Si sumamos todas las piezas va a dar 17 defectuosas de las 300 entonces si aplicamos que %de algo = Sucesos concretos / Sucesos totales : tenemos que 17/300=0,056 tanto por uno
2)Si 5 son defectuosas de 17 entonces 5/17 = 0,29 tanto por uno
Desde un barco se ve el punto más alto de un acantilado con un ángulo de 74º. Sabiendo que la altura del acantilado es de 200 m, ¿a qué distancia se halla el barco del pie del acantilado?
Un motorista se desplaza a una velocidad constante de 50km/h. a) Escribe la ecuación de la función que relaciona el espacio recorrido con el tiempo. b) ¿Qué tipo de función es? c) Representa gráficamente la función anterior. d) ¿ Cuánto tiempo tarda en recorrer 300km.?