¿Cómo se pueden introducir ecuaciones en el foro?, es decir, exponentes, fracciones...

Puedes adjuntar tú ejercicio en una imagen ó con el teclado de tu movil y/o computador
Para fracciones
(1/2)
Para exponentes (x^2) ó x²
En la misma forma que ingresaste esta pregunta, abajo hay un menú de opciones(Responder, Cancelar, Imagen...) y el símbolo de Ohm ( ahí donde están esas opciones fracciones, exponentes, simbología...
Hola :)
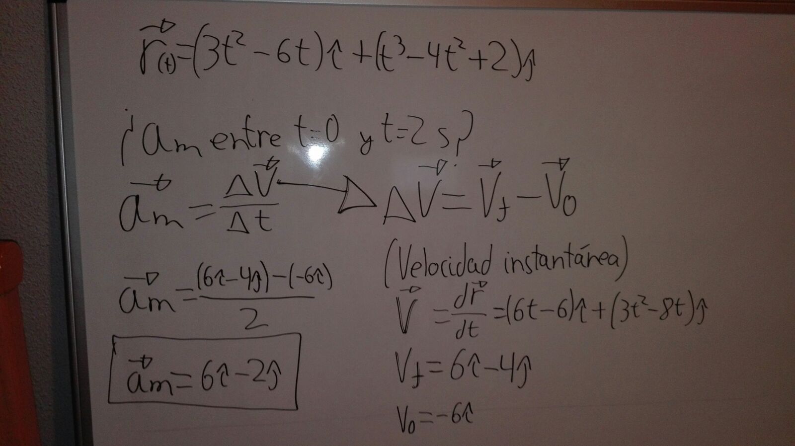
Tengo una duda, el ejercicio dice así la ecuación del movimiento de un móvil es: r vector (t)= (3t^2 - 6t) i vector + (t^3 -4t^2 +2)j vector)
Calcula la aceleración mediana entre t=0s y t=2s
Mi duda está en si da -2j vector o 6i vector -2j vector
Muchas gracias :)
Una duda si me piden el desplazamiento entre unos instantes a partir de la ecuacion del movimiento y lo expreso en los vectores: j i
estoy calculando r pero con la flecha, no? o sea con vector, no?

dfghjkl, la pregunta no se comprende bien. Mira si calculas un desplazamiento, has calculado una distancia, es decir un módulo, y no lleva notación vectorial.
Si pones el enunciado en concreto te podré ayudar mejor. ES muy importante que tengas estas cuestiones muy claras. Un Saludo.
BUENAS! Me preparo para una recuperación y necesito ayuda. Tiene que ver con ACELERACIÓN TOTAL, CENTRÍPETA Y TANGENCIAL.
GRACIAS DE ANTEMANO

Bien, Lucía:
Por teoría sabemos que la a²=an²+at². La componente an será a·cos 30º al proyectarla sobre el radio que sabemos que es perpendicular a at. (Sabemos que las componentes x e y de un vector en el plano son perpendiculares entre sí) Entonces tenemos:
an=a·cos 30=15·cos 30=12.99 m/s²
Aplicando la primera igualdad (Pitágoras): at=√(a²-an²)=√15²-12.99²=7.50 m/s² Espero que te sirva. Si no entiendes algo lo preguntas. Un Saludo.
ALGUIEN ME PODRÍA AYUDAR CON ESTO PORFAVOR!! ES GRAFICAR CON COMPUERTAS LÓGICAS LO SIGUIENTE, SIN SIMPLIFICAR NADA, SOLO GRAFICAR TAL Y COMO SE MUESTRA.
Buenas estimados Unicoos, aca les presento un ejercicio sencillo pero que quisiera me corrigieran y guiaran para su resolucion correcta.
Mov, Parabolico.
Un proyectil es disparado desde el suelo con una velocidad de Vo= (600i + 1000j) m/s . Calcular :
a ) Tiempo que tarda en caer al suelo
b) La velocidad que lleva cuando se encuentra a 18Km de altura
c) La magnitud y direccion (vector unitario) de la velocidad cuando se encuentra a 18Km de altura
d) El tiempo transcurrido hasta qe se encuentra a 18Km de altura
Mi planteamiento con la velocidad pasa por lo siguiente
Vo = √(600)²i + (1000)²j
Vo= 1166.19 m/s
entonces con ella calcular usando las formulas correspondientes : X= Vo.Cosα.T // Y= Ho+ VoSenαT- 1/2 g t² // Vx = Vo.Cosα // Vy= VoSenα.T- g.t
Sin embargo los resultados no me coinciden con la guia ( Resp del inciso A = 200seg)
Así que también pensé que debía era aplicar la Vo de la siguiente manera
Como se lanza desde el suelo α= 0
Vx= 600i. Cos(0).
Vy= 1000j.Sen(0)- 9,81.T
Pero en Vy me quedan dos incógnitas y realmente no se de que manera trabajar las velocidades expuestas vectorialmente.
Saludos cordiales

Vamos a ver: Te están dando directamente Vx y Vy. En el eje Y: MRUA en el X: MRU El ángulo viene dado de forma implícita.
a)El tiempo de vuelo se calcula para H=0→0=Voyt-0.5gt²→0=1000t-5t²→t(1000-5t)=0→t=0 t=1000/5= 200 s
b), c) Vy²-Voy²=-2gH→Vy²=1000²-2·10·18000=640000→Vy=800 m/s Vx=600 m/s V=√Vx²+Vy²=√600²+800²=1000 m/s Dirección: α= arctg (Vy/Vx)=800/600=53.13 º
d) Vyf=Voy-gt→800=1000-10t→t=20 s También se puede plantear: 18000=1000t-5t²→t=20 s
Nota: he tomado g = 10m/s² para agilizar cálculos. Te recomiendo que te mires la teoría del tiro parabólico y los vídeos del foro de esta materia. Un saludo.

Ricardo te explico un poco:
Nos dan la velocidad con notación vectorial con sus dos componentes. Bien Tu has hallado el módulo de dicho vector, y te decía que el ángulo viene implícito. Pues bien, en efecto α=arctg(Vy/Vx)=arctg(1000/600)=59.03 º
así las componentes serían: Vy=1166.19·sen 59.03=999.9≅1000j Vx=1166.19·cos 59.03=600i
Espero que así te quede más claro. En el apartado c se da el vector en forma polar, es decir, doy su módulo y su ángulo. Si te piden las componentes, calculas Vx y Vy usando sen y cos del ángulo calculado para esa velocidad.
Un saludo.
a) El tiempo de vuelo (tv) es el tiempo que el proyectil demora para regresar al plano horizontal, desde donde fue lanzado; en ese momento Vy = - Voy, así que si se sustituye Vy en la fórmula
Vy = Voy + at siendo a= - g
Nos quedaría
- Voy = Voy - gt y despejando el tv
– Voy – Voy = – gt
– 2 Voy / – g = tv
tv= – 2 Voy / – g
Ahora solo tienes que asignarles valores a las variables
En los incisos b y c debes revisar las respuestas de Francisco G pues cuando convirtio de Km a m, el resultado debe dar 18 km = 18000 m y no 1800m
Saludos Dwilliams
Hola Maria dan una mano. Estoy viendo termodinámica 2 principio, estoy como se obtiene la entropia a partir de la primara ley de la temodumica en forma diferencial.
No entiendo como llega a la igualdad Cv.dT=Cp.dT y por que se omite en número de moles.
Gracias
Tension en cuerpo rígido.
He visto en un video de David que cuando tenés una polea con dos cuerpos unidos a una soga que pasa por la cuerda, la tensión a ambos lados es la misma si no hay momento de inercia. Pero mi pregunta es... cuándo no hay momento de inercia en un cuerpo rígido? Aquí las tensiones serían iguales?
En las resoluciones del ejercicio 39 vi que plantean Trabajo de fuerza de rozamiento = Variación de energía mecánica. Por qué no plantean: Trabajo de fuerza de rozamiento + trabajo de tensión 1 + trabajo de tensión 2 = Variación de energía mecánica?? Gracias!
Existe momento de inercia cuando el cuerpo posee masa apreciable, de acuerdo a la fórmula
I= sumatoria (m.r^2)
Y comúnmente la tensiones no son iguales en los cuerpo rígidos ( rotatorios) , a menos que los datos lo ameriten.
Siento no poder ayudarte más la verdad me encuentro exudado en el tema.saludis
Me podrías pasar el Link de la guía de ejercicios. Grax
Hola sé que este ejercicio es una chorrada, pero no sé ahora mismo como hacerlo. Al colgar una masa de 5000g de dos muelles, A y B, observamos que los dos estiramientos producios son de 2cm y 25 cm, respectivamente. ¿Cuál es el valor de k de cada muelle?