¿Alguien podría decirme las fórmulas básicas del trabajo y energía? Las de la W y esas, y sus unidades. Muchísimas gracias.
Emec1=Emec2
Ec1+Ep1=Ec2+Ep2
La energía mecánica es igual a la suma de la energía cinética y la energía potencial.
La energía mecánica se conserva si las fuerzas que actúan son fuerzas conservativas.
Entonces podemos expresa el trabajo como : W=menos el incremento de la energía potencial y como W=incremento energía cinética
Igualando ambas expresiones obtenemos:
Emec1=Emec2
Ahora bien si actúan fuerzas NO conservativas,como por ejemplo la fuerza de rozamiento el trabajo se puede expresar como:
W=Incremento de energía cinética y como W=Wno conservativo menos el incremento de la energía potencial.
Igualando ambas expresiones obtenemos:
Emec1+Wnc=Emec2
Espero que te haya servido!
Por si no lo sabes:
Ec=1/2 m v^2
Ep=mgh
¿Me pueden ayudar con este ejercicio? Favor de especificar los límites de integración y el planteamiento de la integral.
Hola: me plantean el siguiente enunciado (óptica geométrica)
Supon que el ojo es una lente converrgente de distancia focal 17mm. (a) un miope no ve con claridad los objetos situados a distancias superiores a 75cm. calcula la potencia de la lente que le permite ver con nitidez objetos lejanos.
Lo que sé plantear es lo siguiente:
POTtotal= POTlente+ POTojo
POTojo=1/(0,017)=58.82 dioptrias
POTlente= ???
Gracias y un saludo

No hay que aplicar la formula que comentas porque no te piden la potencia total de un sistema formado por una lente y un ojo...
Te dicen que SUPONGAS que el ojo es una lente... Y por tanto solo debes centrarte en eso, una lente convergente (olvidate de que es un ojo)...
A partir de ahí se trata de plantear unb ejercicio estandar de lentes convergentes.. Espero te ayude...
tengo una duda :en un examen....Que se puede preguntar del tema de Energia y Trabajo??,en plan ejercicios y problemas de todo tipo que se pueda preguntar,no se que pueden preguntarme de ese tema.

Ejercicios como estos FISICA - TRABAJO sin rozamiento 01 FISICA - Trabajo de Rozamiento
Hola
El desplazamiento transversal de los puntos de una cuerda por los que se propaga una perturbación
armónica viene dado por
y(x,t)=0.2·sen (4t + 6x – π/6)
donde x e y se miden en metros y t en segundos. Calcule:
a) El periodo y la longitud de onda.
b) La velocidad de propagación de la perturbación así como la velocidad máxima de vibración de
cualquier punto de la cuerda.
c) La diferencia de fase entre dos puntos de la cuerda separados entre sí una distancia de 40 cm.
Hola
Se dispone de un banco óptico y de dos lentes, una convergente y otra divergente, que tienen ambas la
misma distancia focal, que vale 10 cm.
a) Calcule numéricamente, la posición y el tamaño de la imagen de un objeto de 2 cm de alto, colocado
a 6 cm delante de la lente convergente.
b) Calcule numéricamente, la posición y el tamaño de la imagen de un objeto de 4 cm de alto, colocado
a 12 cm delante de la lente divergente.
c) Dibuje el trazado de rayos correspondiente a la lente divergente y deduzca a partir del mismo la
naturaleza de la imagen: real / virtual; invertida / no invertida; mayor / menor.
real, no invertida y menor
Hola David... quisiera que me ayudes con videos sobre reacciones, es lo que estoy viendo y no logro enteder, si lo has grabado y puedes ayudarme con eso. En la mayoria nos dan ejecicios combinados con Fuerzas, poleas moviles, torques, reacciones, todo en el mismo ejercicios. Si tienes videos asi de combinados me ayudarias un monton. Gracias
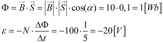
hola unicoss porfavor me ayudan en estos 2 problemas porque no encuentro cual formula usar y lo que significa cada simbolo de la formula porfavor me podrian explicar detalladamente :
¿cual es la magnitud de la en FEM volts,inducida en una bobina que consta de 100 vueltas de alambre? considere que cada vuela tiene un area de 0.1m2 y se activa con un campo de 10 T perpendicular al plano de la bobina que cambia linealmente cada 5 segundos.
A)2
B)5
C)20
D)50
Se tiene una bobina de 200 vueltas de alambre,cada vuelta es un cuadrado de 0.4 m2 de area y se activa con un campo perpendicular al plano de la bobina. Si este campo cambia linealmente 2T en 1 segundo,¿cual es la magnitud de la en FEM volts,inducida en la bobina mientras cambia de campo?
A)1.6 x 10 a la -2
B)8.0 x 10 a la 1
C)1.6 x 10 a la 2
D)8.0 x 10 a ala 2
Helllo unicos un saludos de mi parte, podrian ayudarme con una cuestion que tengo, selecionado la rezpuesta corecta.
Si ud. lanza una pelota hacia arriba con cierta rápidez inicial, ésta cae libremente y alcanza una altura máxima h en un instante t después sale de su mano.
a.) Si ud. arroja la pelota hacia arriba con el doble de la rápidez inicial. ¿Qué nueva altura máxima alcanzará la pelota? ¿h(2)^1/2?
b.) Si ud. lanza la pelota hacia arriba con el doble de la rápidez inicial. ¿Cúanto tiempo le tomará alcanzar su nueva altura máxima?
I.) t/2
II.) t/(2)^1/2
III.) t(2)^1/2
IV.) t
V.) 2t
Muchas gracias de antemano unicos. Saludos.

Para una velocidad vo, la altura maxima es aquella para la cual la velocidad final es 0... Como v=vo-g.t... vo=g.t... t=vo/g
Para ese tiempo "t", la altura alcanzada sería h=ho+vo.t-(1/2)g.t².... h=vo.t-(1/2).g.t²... h=vo.(vo/g)-(1/2).g.(vo/g)²=vo²/g-vo²/(2g)=vo²/(2g)
Tenemos por tanto una formula que nos permite deducir la altura maxima (que llamaremos h) en funcion de la velocidad inicial (vo)....
Si la velocidad fuera 2vo... la altura máxima sería h'=(2vo)²/(2g)=4vo²/(2g)=4.hmax
Si la velocidad fuera 2vo... el tiempo en alcanzar la altura maxima sería t'=(2vo)/g=2.(vo/g)=2.t, el doble del tiempo inicial....