Hola, buenas...
Mi duda es sobre el procedimiento para resolver la parte b) de este problema
Ya que la primera parte me da 8N lo cual según el libro si está bien, pero en la segunda me da (-0.04) y debería dar positivo, no sé dónde pongo mal el signo ni por qué...
Bueno, desde ya gracias 😊
Nota: la primera parte la resolví con el razonamiento
Fcp=T=m.acp
Ya que tengo los datos necesarios en la letra.
acp=w².r

a)
Has planteado y resuelto correctamente.
b)
Observa que con el cuerpo girando, tienes que sobre él está aplicada la acción elástica del resorte, por lo que aplicas la Segunda Ley de Newton (observa que no consideramos al peso ni a la acción normal de la superficie, debido a que son perpendiculares al plano de giros), y queda (observa que consideramos un sistema de referencia con origen de coordenadas en centro de giros, con sentido positivo hacia la posición del cuerpo):
Fe = M*acp, sustituyes la expresión del módulo de la aceleración centrípeta, y queda:
Fe = M*R*ω2, reemplazas datos (observa que empleamos unidades internacionales), y queda:
Fe = 0,50*0,25*8,02, resuelves, y queda:
Fe = 8 N, que es el valor del módulo de la fuerza elástica;
luego, planteas la expresión del módulo de la fuerza elástica (observa que su sentido es hacia el eje de giros), y queda:
-Fe = k*Δs, divides por k en ambos miembros, y luego despejas:
Δs = -Fe/k, reemplazas el valor del módulo de la fuerza elástica, reemplazas el valor de la constante elástica del resorte, y queda:
Δs = -8/200, resuelves, y queda:
Δs = -0,04 m, que es el valor del estiramiento del resorte (observa que el extremo del resorte se desplazó hacia una posición más alejada del eje de giros),
y observa que su longitud natural queda expresada:
LN = R - |Δs| = 0,25 - |-0,04| = 0,25 - 0,04 = 0,21 m.
Espero haberte ayudado.
Hola, a ver respecto a este problema Al apoyar con velocidad nula un cuerpo de 20 kg de masa sobre un muelle elástico dispuesto verticalmente, este se comprime 10 cm. Calcular la deformación que experimenta dicho muelle si el cuerpo se deja caer desde 2 m por encima de él.
Es fácil calculo la K sabiendo que mg=kX y me sale k=1960N/m y luego con energías calculo la segunda parte y me sale correcto.
Mi duda es que he intentado halar la K tambien usando energías y me da el doble, yo lo que planteo, en el momento que la masa se coloca en el muelle sin velocidad, tiene una energía potencial debida a la longitud del muelle, cuando este se comprime tendrá una energía potencial debida a la altura del muelle, ahora menor, y energía potencial elástica y de ahí despejo, quedaría : mgx=1/2kX2 no debería dar el mismo valor de k?? me parece que este planteamiento es también correcto, donde está el fallo.??

Observa que con el muelle comprimido con el cuerpo en reposo y apoyado sobre él, tienes que sobre éste último están aplicadas dos fuerzas verticales: su peso (con sentido hacia abajo, y cuyo módulo es: P = M*g), y la acción elástica del muelle (con sentido hacia arriba, y cuyo módulo es: Fe = k*Δs); luego, establece un sistema de referencia con eje OY vertical con sentido positivo hacia arriba, aplicas la Primera Ley de Newton, y queda la ecuación:
Fe - P = 0, sustituyes las expresiones de los módulos de las fuerzas, y queda:
k*Δs - M*g = 0, y de aquí despejas:
k = M*g/Δs, reemplazas datos (M = 20 Kg, Δs = 10 cm = 0,1 m, g = 9,8 m/s2), y queda:
k = 20*9,8/0,1, resuelves, y queda:
k = 1960 N/m, que es el valor de la constante elástica del muelle.
Para la segunda situación, establece el origen de coordenadas en el extremo del muelle relajado;
luego, planteas la expresión de la energía mecánica inicial (observa que solo es energía potencial gravitatoria del cuerpo, porque éste parte desde el reposo y el muelle está relajado), y queda:
EMi = M*g*yi;
luego, planteas la expresión de la energía mecánica final (observa que tienes que considerar que el muelle está comprimido, y que el cuerpo está en reposo, y que se encuentra en un punto que está por debajo del origen de coordenadas, por lo que su posición está descrita por una coordenada negativa, cuyo valor absoluto es igual a la longitud de compresión del muelle), y queda:
EMf = (1/2)*k*yf2 + M*g*yf;
luego, planteas conservación de la energía mecánica, y queda la ecuación:
EMf = EMi, sustituyes las expresiones de las energías que tienes planteadas, y queda:
(1/2)*k*yf2 + M*g*yf = M*g*yi,
reemplazas datos (observa que la altura inicial es: yi = 2 m, que tienes calculado el valor de la constante elástica del muelle, y que los demás datos ya los tienes indicados), y queda:
(1/2)*1960*yf2 + 20*9,8*yf = 20*9,8*2, resuelves coeficientes en el primer miembro, resuelves el segundo miembro, y queda:
980*yf2 + 196*yf = 392, restas 392 en ambos miembros, y queda:
980*yf2 + 196*yf - 392 = 0, divides por 196 en todos los términos, y queda:
5*yf2 + yf - 2 = 0,
que es una ecuación polinómica cuadrática, cuyas soluciones son:
1°)
yf = (-1 + √[41])/10 m ≅ 0,540 m, que no tiene sentido para este problema (recuerda que la posición final del cuerpo tiene coordenada negativa),
2°)
yf = (-1 - √[41])/10 m ≅ -0,740 m, que sí tiene sentido para este problema;
luego, puedes concluir que la longitud de compresión del muelle queda expresada:
Δs1 = |yf - yi|, reemplazas valores, y queda:
Δs1 = |(-1 - √[41])/10 - 0| = |(-1 - √[41])/10| ≅ 0,740 m.
Espero haberte ayudado.
Muchas gracias, muy desarrollado, pero si te fijas en la pregunta, el problema le había hecho, y me salia, la duda, es respecto al calculo de K, que si bien la calculé como tu... me planteé la posibilidad de calcularla mediante energías y me debería dar lo mismo, y no... da el doble... por eso quería saber donde estaba mi fallo...
A ver, al colocar el cuerpo son velocidad sobre el muelle, justo antes de que se comprima, el cuerpo tienen una energía potencial gravitatoria, debida a la longitud del muelle, y cuando se comprime los 0,1m, tendrá una energía potencia gravitatoria menor, porque ahora la longitud del muelle es menor y una energía potencial elástica: mgl = mg(l-x)+1/2kx2
y entendiendo que esto es correcto, me debería salir el mismo valor de k que haciéndolo con fuerzas y me da exactamente el doble. Eso es lo que no entiendo??
Hola, felices fiestas, ¿me podría ayudar alguien a como resolver el "b"? Lo he intentado igualando Fm a Fcp pero como no tengo la velocidad no soy capaz, y al no tener la distancia entre las "des" ni la diferencia de potencial no tengo ni idea de como seguir, gracia. Tambien da como datos la masa de p+ 1,7*10^-27kg y la carga del p+ 1,6*10^-19C![]()

Vamos con una orientación.
Observa que tienes la energía cinética de traslación con la cuál el protón entra a la "D", por lo que puedes plantear la ecuación:
(1/2)*Mp*vi2 = ECi,
y de aquí puedes despejar la expresión de la rapidez con la que el protón ingresa a la "D".
Espero haberte ayudado.
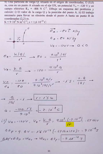
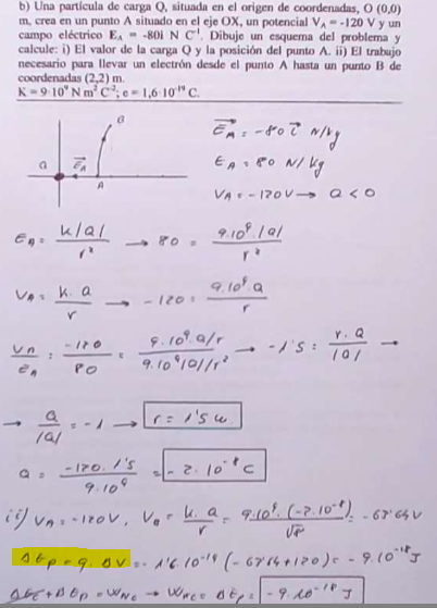
En la resolución no aparece. Podrían ayudarme a saber cómo tengo que responder a esto? Gracias! y perdón por ser pesada XD

Tienes el valor de la carga principal:
q1 = 5*10-6 C,
y tienes también el valor de la constante de Coulomb:
k = 9*109 N*m2/C2.
a)
Planteas la expresión general del potencial generado por la carga principal en un punto, y queda:
V = k*q1/r (1);
luego, tienes la distancia entre la carga principal y el punto (A) en estudio:
r = 0,5 m,
por lo que reemplazas valores en la expresión del potencial señalada (1) (aquí consulta con tus docentes por el valor de la constante de Coulomb que tienes consignado en el desarrollo que muestra tu imagen), y queda:
VA = 9*109*5*10-6/0,5 = 45*103/0,5 = 90000 J/C = 9*104 V.
b)
Observa que la expresión del potencial señalada (1) tiende a cero cuando r tiende a infinito, por lo que puedes considerar que el potencial en el infinito es igual a cero;
luego, tienes el valor de la carga secundaria:
q2 = -2*10-4 C,
cuya posición inicial puedes considerar que está muy alejada de la carga principal, y cuya posición final es: r = 0,5 m;
luego, planteas la expresión de la variación de energía potencial entre la posición inicial hasta la posición final de la carga secundaria, y queda:
ΔEP = q2*(VA - V∞) = -2*10-6*(9*104 - 0) = -18*10-2 = -0,18 J;
luego, planteas la ecuación trabajo-variación de energía, y queda la ecuación:
W = ΔEP, reemplazas el valor de la variación de energía potencial, y queda:
W = -0,18 J,
y el signo negativo te indica que el trabajo fue realizado por la fuerza eléctrica aplicada sobre la carga secundaria por la carga principal.
Espero haberte ayudado.
No entiendo este apartado, en concreto la aplicación de la fórmula señalada. Alguien me ayuda a verlo porfi? Mil gracias!!

Lo único que te dice la fórmula que es que la variación de energía potencial entre dos puntos para trasladar una carga es igual al producto de ésta por la variación del potencial eléctrico. Para preguntas de tipo teórico os recomendamos consultéis con vuestro profesores, y les insistáis en que os lo expliquen las veces que sea necesario ;)
Alguien podría resolverme este problema, no consigo hacerlo. ¿Cuánta masa de agua hay en un vaso de agua de h = 10 cm de altura, de volumen V = 200 mL, si la temperatura del agua aumenta linealmente con la altura x, entre 4 y 10 oC: t = m + n·x?
La densidad del agua varía con la temperatura entre 0 y 10oC según una parábola: ρ=a·t2+b·t+c, a= - 0,0078025 b=0,064335 c=999,8395 ( t en oC y ρ en kg/m3)

Vamos con una orientación.
Tienes la expresión de la densidad del agua en función de la temperatura:
ρ(t) = a*t2 + b*t + c (1).
Tienes la expresión de la temperatura del agua en función de la altura:
t(x) = m + n*x, con su dominio: Dt = [4;10] (en grados Celsius), que corresponde al intervalo de alturas: Ih = [0;0,1] (en metros);
luego, con los extremos de los intervalos Dt e Ih, reemplazas en la expresión de la función temperatura, y queda el sistema de ecuaciones:
4 = m + n*0,
10 = m + n*10,
cuya solución es: m = 4 °C, n = 0,6 °C/m,
por lo que la expresión de la temperatura en función de la altura queda:
t(x) = 4 + 0,6*x (2).
Luego, planteas la expresión de la densidad en función de la altura como la composición de la función cuya expresión hemos señalado (2), con la función cuya expresión hemos señalado (1), y queda:
δ(x) = (ρ o t)(x) = ρ[t(x)], sustituyes la expresión señalada (2), y queda:
δ(x) = ρ[4 + 0,6*x] = a*[4 + 0,6*x]2 + b*[4 + 0,6*x] + c, desarrollas los dos primeros términos, y queda:
δ(x) = 16*a + 4,8*a*x + 0,36*a*x2 + 4*b + 0,6*b*x + c, ordenas términos, extraes factor común entre términos semejantes, y queda:
δ(x) = 0,36*a*x2 + (4,8*a + 0,6*b)*x + (16*a + 4*b + c) (3),
que es la expresión de la densidad del agua en función de la altura en el vaso.
Luego, tienes la altura del vaso: h = 10 cm = 0,1 m, tienes el volumen del vaso: V = 200 mL = 200 cm3 = 0,0002 m3;
luego, si el vaso es cilíndrico o prismático regular, puedes plantear que el área de su base es constante, y su expresión es:
A = V/h = 0,0002/0,1 = 0,002 m2.
Luego, planteas la expresión del volumen de una sección de agua muy delgada paralela a la base del vaso, y que se encuentra a una altura x genérica, y queda:
dV(x) = A*dx = 0,002*dx (4).
Luego, planteas la expresión de la masa de la sección de agua muy delgada, y queda:
dM(x) = δ(x)*dV(x), sustituyes la expresión de la densidad señalad (3), sustituyes la expresión del diferencial de volumen de agua señalada (4), y queda:
dM(x) = [ 0,36*a*x2 + (4,8*a + 0,6*b)*x + (16*a + 4*b + c) ] * 0,002*dx,
y solo queda que integres esta última expresión, y luego evalúes con Regla de Barrow entre los extremos del intervalo de alturas (0 y 0,1 m).
Haz el intento de terminar la tarea, y si te resulta necesario, no dudes en volver a consultar.
Espero haberte ayudado.
Buenas, tengo el siguiente problema: Si se tiene una varilla de 50 metros de largo, con una masa de 50 toneladas. Esta varilla tiene un eje que pasa por su centro, eje el cual está conectado a un motor... ¿Cuál será la potencia requerida por el motor para hacer mover la varilla a 12 radianes por segundo? ¿También es posible saber el torque del motor?
Gracias de antemano!