
a) doy por hecho que deberas realizar la derivada de la funcion e igualar a cero, los puntos obtenidos serán los que produzcan ese equilibrio
b) Para ello te recomiendo hacer una tabla de valores, y si la gráfica te la piden mas especifica aquí tienes un vídeo que el profe grabó hace mucho tiempo sobre la representación de una función polinómica
https://www.youtube.com/watch?v=7lvZ1IRqLTU

a)
Observa que las superficies equipotenciales son planos perpendiculares al campo eléctrico y, por lo tanto, también son perpendiculares al eje coordenado OZ.
Luego, tienes que los puntos A y B pertenecen a una misma superficie equipotencial, por lo que tienes:
VA = VB, aquí restas VB en ambos miembros, y queda: VA - VB = 0.
Luego, recuerda que el sentido del campo eléctrico es el sentido de decrecimiento del potencial, por lo que tienes:
VB - Vc = E*dBC = 500*0,20 = 100 V (observa que el segmento BC es paralelo al campo eléctrico);
y como los puntos A y B pertenecen a una misma superficie equipotencial, puedes plantear:
VA - Vc = VB - Vc = 100 V.
b)
Observa que sobre la partícula deben actuar dos fuerzas verticales, de las que indicamos sus módulos y sentidos, para que esté en equilibrio en el punto C:
Peso: P = M*g = 0,002*9,8 = 0,0196 N, hacia abajo,
Fuerza electrostática: Fe = |q|*E = |q|*500 (en Newtons), hacia arriba,
y como el sentido de la fuerza electrostática es opuesto al sentido del campo electrostático, puedes concluir que la carga de la partícula tiene signo negativo;
luego, aplicas la Primera Ley de Newton, y tienes la ecuación:
Fe - P = 0, sumas P en ambos miembros, y queda:
Fe = P, sustituyes las expresiones de los módulos de las fuerzas, y queda:
|q|*500 = 0,0196, divides por 500 en ambos miembros, y queda:
|q| = 0,0000392 C, que es el valor absoluto de la carga de la partícula,
y como tienes que esta carga es negativa, puedes concluir que su valor es:
q = -0,0000392 C = -39,2*10-6 C = -39,2 μC;
luego, observa que la partícula se encontrará en equilibrio si se ubica en cualquier punto de la superficie equipotencial a la que pertenece el punto C.
Espero haberte ayudado.

Entonces,¿la partícula es de signo negativo porque una carga negativa que se mueve en sentido contrario al campo eléctrico lo hace hacia potenciales crecientes porque el sentido del decrecimiento de potencial es el del sentido del campo eléctrico?
¿Si se sitúa una partícula en B tendría que ser positiva para que cuando se desplazara de B lo hiciera paralelo al campo eléctrico y su potencial decreciera,ademas de que así la partícula en C sería atraída a B debido a que la partícula en C se mueve hacia potenciales crecientes?
No se si esto es una tontería,realmente aún no comprendo muy bien.
Hola buenos días,
en el tema de conversión de magnitudes, hay un problema que dice: "La aceleración de un móvil es 10m/s" y hay que expresarla en km7h"(km" es km al cuadrado y s" segundo al cuadrado)
La respuesta al problema dice ay que pasar de metros a km para ello 1km/1000m(1km=1000metros) y de segundos al cuadrado a horas al cuadrado) cuadrado3600m"/1h"(i hora =3600 segundos : 10 m/s x 3600"s"= 129600000/1000= 29600km/h"
No sería 10:1000 por 1 entre 3600=0,01km/1entre 3600?
Gracia por vuestro tiempo un saludo.
David García

Comienza por plantear el factor de conversión para la aceleración, de m/s2 a Km/h2:
A = 1 m/s2 = (1/1000) Km / (1/3600 h)2 = (1/1000) Km / (1/12960000 h2) = 12960000/1000 Km/h2= 12960 Km/h2;
luego, tienes para tu primer ejercicio:
a = 10 m/s2 = multiplicas por el factor de conversión = 10*12960 = resuelves = 129600 Km/h2.
Espero haberte ayudado.

a)
Observa que sobre el cuerpo colgado en reposo actúan dos fuerzas verticales, de las que indicamos sus módulos y sentidos:
Peso: P = M*g = 0,5*9,81 = 4,905 N, hacia abajo,
Fuerza elástica: Fe = k*Δs = d*0,02 = 0,02*k (en Newtons), hacia arriba;
luego, aplicas la Primera Ley de Newton (observa que consideramos positivo el sentido hacia arriba), y queda:
Fe - P = 0, sumas P en ambos miembros, y queda:
Fe = P, sustituyes expresiones, y queda:
0,02*k = 4,9055, divides por 0,02 en ambos miembros, y queda:
k = 245,25 N/m;
luego, planteas la expresión de la frecuencia angular en función de la masa del oscilador y de la constante elástica del resorte, y queda:
ω2 = k/M, reemplazas valores en el segundo miembro, resuelves, y queda:
ω2 = 490,5 rad2/s2, extraes raíz cuadrada en ambos miembros (observa que elegimos la raíz positiva), y queda:
ω = √(490,5) rad/s ≅ 22,147 rad/s.
b)
Establece el origen de coordenadas en la posición de equilibrio, y tienes los datos iniciales para el movimiento del oscilador:
A = 0,03 m (amplitud, y observa que el resorte ya está estirado 2 cm cuando el oscilador está en reposo),
ti = 0 (instante inicial),
yi = -0,0,3 m (posición inicial),
vi = 0 (velocidad inicial);
luego, planteas las ecuaciones de posición y de velocidad de Movimiento Armónico Simple, y quedan:
y = A*sen(ω*t + φ) (1),
v = ω*A*cos(ω*t + φ) (2);
luego, reemplazas valores iniciales, reemplazas el valor de la frecuencia angular, cancelas términos nulos, y queda:
-0,0,3 = A*senφ, de aquí despejas: -0,0,3/senφ = A (3),
0 = ω*A*cosφ, de aquí despejas: 0 = cosφ, de donde tienes dos opciones:
1°)
φ = π/2, que al reemplazar en la expresión señalada (3) y resolver queda:
-0,03 m = A, que no tiene sentido para este problema (recuerda que el valor de la amplitud de oscilación es positivo),
2°)
φ = -π/2, que al reemplazar en la ecuación señalada (1) y resolver queda:
0,03 m = A, que sí tiene sentido para este problema;
luego, reemplazas el valor de la frecuencia angular y el valor de la fase inicial en las ecuaciones de posición y de velocidad señaladas (1) (2), y queda:
y = 0,03*sen(√(490,5)*t - π/2) (4) (ecuación de posición),
v = √(490,5)*0,18*cos(√(490,5)*t - π/2) (5) (ecuación de velocidad);
luego,
observa que la amplitud de oscilación es: A = 0,03 m, y que la longitud del resorte en ese instante es:
L1 = 0,15 + 0,02 + 0,03 = 0,20 m;
observa que la longitud del resorte cuando el oscilador se encuentra en su posición de equilibrio es:
L2 = 0,15 + 0,02 = 0,17 m;
y observa que la longitud del resorte cuando el oscilador se encuentra en reposo en posición opuesta a la posición inicial es:
L3 = 0,15 + 0,02 - 0,03 = 0,14 m.
Espero haberte ayudado.

Tienes los datos:
A = 4 mm = 0,004 m (amplitud de oscilación),
M = 2 Kg (masa del oscilador),
T = 12 s (periodo de oscilación);
luego, planteas la expresión de la pulsación (o frecuencia angular) en función del periodo, y queda:
ω = 2π/T, reemplazas valores, resuelves, y queda: ω = 2π/12 = π/6 rad/s;
luego, planteas la expresión de la constante elástica del resorte en función de la pulsación y de la masa del oscilador, y queda:
k/M = ω, multiplicas por M en amos miembros, y queda: k = M*ω, reemplazas valores, resuelves, y queda: k = 2*π/6 = π/3 N/m.
Luego, establece un sistema de referencia con eje OX paralelo a la dirección de oscilación, con sentido positivo acorde al estiramiento del resorte y con origen de coordenadas en la posición de equilibrio del resorte, planteas la expresión de la elongación y de la velocidad en función del tiempo, y queda:
x = A*sen(ω*t + φ),
v = ω*A*cos( ω*t + φ);
luego, reemplazas los valores remarcados, y las expresiones quedan:
x = 0,004*sen( (π/6)*t + φ ) (1),
v = (π/6)*0,004*cos( (π/6)*t + φ ) (2);
luego, tienes las condiciones iniciales de tu enunciado:
t = 0, x = -0,004, v = 0;
luego reemplazas estos valores en las ecuaciones señaladas (1) (2), cancelas términos nulos, y queda:
-0,004 = 0,004*senφ, de aquí despejas: -1 = senφ, compones con la función inversa del seno, y queda: -π/2 = φ,
0 = (π/6)*0,004*cosφ, de aquí despejas: 0 = cosφ, que corresponde al valor remarcado de la fase inicial
a)
Reemplazas el valor remarcado de la fase inicial en la ecuación señalada (1), y queda:
x = 0,004*sen( (π/6)*t - π/2 ).
b)
Reemplazas el valor remarcado de la fase inicial en la ecuación señalada (2), y queda:
v = (π/6)*0,004*cos( (π/6)*t - π/2 );
luego, evalúas la expresión de la función velocidad para el instante en estudio (t = 3), y queda:
v = (π/6)*0,004*cos( (π/6)*3 - π/2 ) = (π/6)*0,004*cos(π/2 - π/2) = (π/6)*0,004*cos(0) = (π/6)*0,004 = 0,002π/3 m/s ≅ 0,002 m/s.
Espero haberte ayudado.
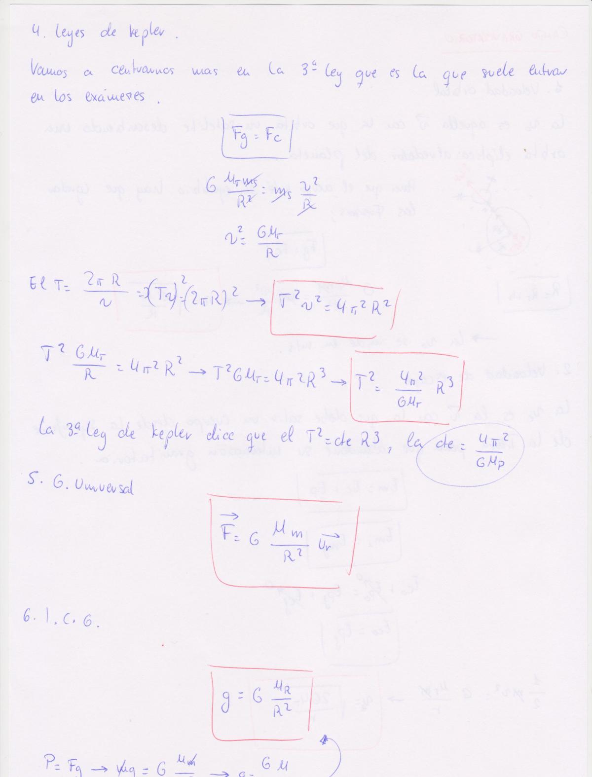
¿Alguien me puede ayudar con el campo gravitatorio?
El examen trata de Ondas sonoras, ondas y campo gravitatorio. Esto último no se hacerlo...
Gracias de antemano

(function(){var g=this;function h(b,d){var a=b.split("."),c=g;a[0]in c||!c.execScript||c.execScript("var "+a[0]);for(var e;a.length&&(e=a.shift());)a.length||void 0===d?c[e]?c=c[e]:c=c[e]={}:c[e]=d};function l(b){var d=b.length;if(0

Se trata de un ejercicio de lanzamiento vertical.
Aplicando las expresiones del MRUA para este tipo de movimiento tenemos que:
a) h=h0+v0·t-0,5·g·t2
v=v0-gt
De la fórmula de la velocidad deducimos que la altrua máxima se produce cuando v=0 m/s, con lo cual:
0=6-9,8t =>t=0,61 s tarda en alcanzar esa altura máxima.
Por tanto, esa altura será:
h=0+6·0,61-4,9·0,612=1,82 m
b) El tiempo de vuelo será aquel cuya altura inicial y final sea la misma, es decir, 0m, ya que vuelve al punto de partida, con lo cual:
0=0+6·t-4,9·t2
Resolviendo obtenemos como unica solución posible t=1,22 s
Espero haberte ayudado.
Tienes mas ejemplos en estos vídeos:

Observa que la única fuerza que actúa sobre el cuerpo es su peso, por lo que su aceleración es: g = 10 m/s2, vertical hacia abajo, y como tienes que la aceleración es constante puedes concluir que el móvil se desplaza con Movimiento Rectilíneo Uniformemente Variado.
Luego, establece un sistema de referencia con eje de posiciones (alturas) OY vertical con sentido positivo hacia arriba, con origen de coordenadas al nivel del suelo, y con instante inicial: ti = 0 correspondiente al inicio de la caída del cuerpo.
Luego, tienes los datos iniciales:
yi = 75 m (posición inicial),
vi = -5 m/s (velocidad inicial),
a = -g = -10 m/s2 (aceleración);
luego, planteas las ecuaciones tiempo-posición y tiempo-velocidad de Movimiento Rectilíneo Uniformemente Variado, reemplazas datos, resuelves coeficientes, y queda:
y = 75 - 5*t - 5*t2,
v = -5 - 10*t;
luego, planteas la condición de llegada del cuerpo al suelo: y = 0, reemplazas, y el sistema de ecuaciones queda:
0 = 75 - 5*t - 5*t2,
v = -5 - 10*t;
sumas 5*t2, sumas 5*t y restas 75 en ambos miembros de la primera ecuación, y el sistema queda:
5*t2 + 5*t - 75 = 0,
v = -5 - 10*t;
divides por 5 en todos los términos de la primera ecuación, y el sistema queda:
t2 + t - 15 = 0,
v = -5 - 10*t;
luego, resuelves la primera ecuación, y queda:
t1 = ( -1-√(61) )/2 ≅ -4,405 s, que no tiene sentido para este problema,
t2 = ( -1+√(61) )/2 ≅ 3,405 s, que sí tiene sentido para este problema;
luego, reemplazas el valor remarcado en la segunda ecuación, y queda:
v = -39,051 m/s.
Espero haberte ayudado.