Necesito ayuda!!
Acabo de comprar una suscripción de un año por 14'40 euros. El cobro del dinero se ha efectuado, sin embargo mi cuenta sigue siendo gratuita y no puedo acceder al contenido premium. Alguien sabe que ha podido pasar o le ha ocurrido algo similar? Se agradece cualquier información.
alguien sabe a que se refieren cuando dicen "la densidad de una partícula"?
Buenos días unicoos! Necesito ayuda urgente con este ejercicio ya que no consigo entenderlo. ¿Alguien me lo explica, por favor? Gracias de antemano

La solubilidad depende de la T. Observando la tabla que nos da la relación entre la T y la solubilidad, se ve que a 60ºC la solubilidad es 45gKCl/100g de agua.
45g/100 g de agua x 1000g de agua= 450g habrá disuelto en esos gramos de agua. el otro igual
Si enfriamos una disolución saturada desde 60º C hasta 20ºC , restando lo saturado a cada T, será lo que precipita.

El sentido del movimiento lo has considerado bajando la masa por el plano inclinado, los cálculos son correctos pero al ser la aceleración negativa , tienes que considerar el sentido contrario (bajando la masa que está colgando de la polea).
P-mgsenα-μmgcosα=(m1+m2)a
2,94-2,45-0,84=0,8a a= - 0,44m/s2. Como también es negativa la aceleración y ésto no es posible, nos indica que el sistema está en reposo.
Hola, por favor me gustaría saber si está bien el siguiente ejercicio, tengo examen mañana, gracias
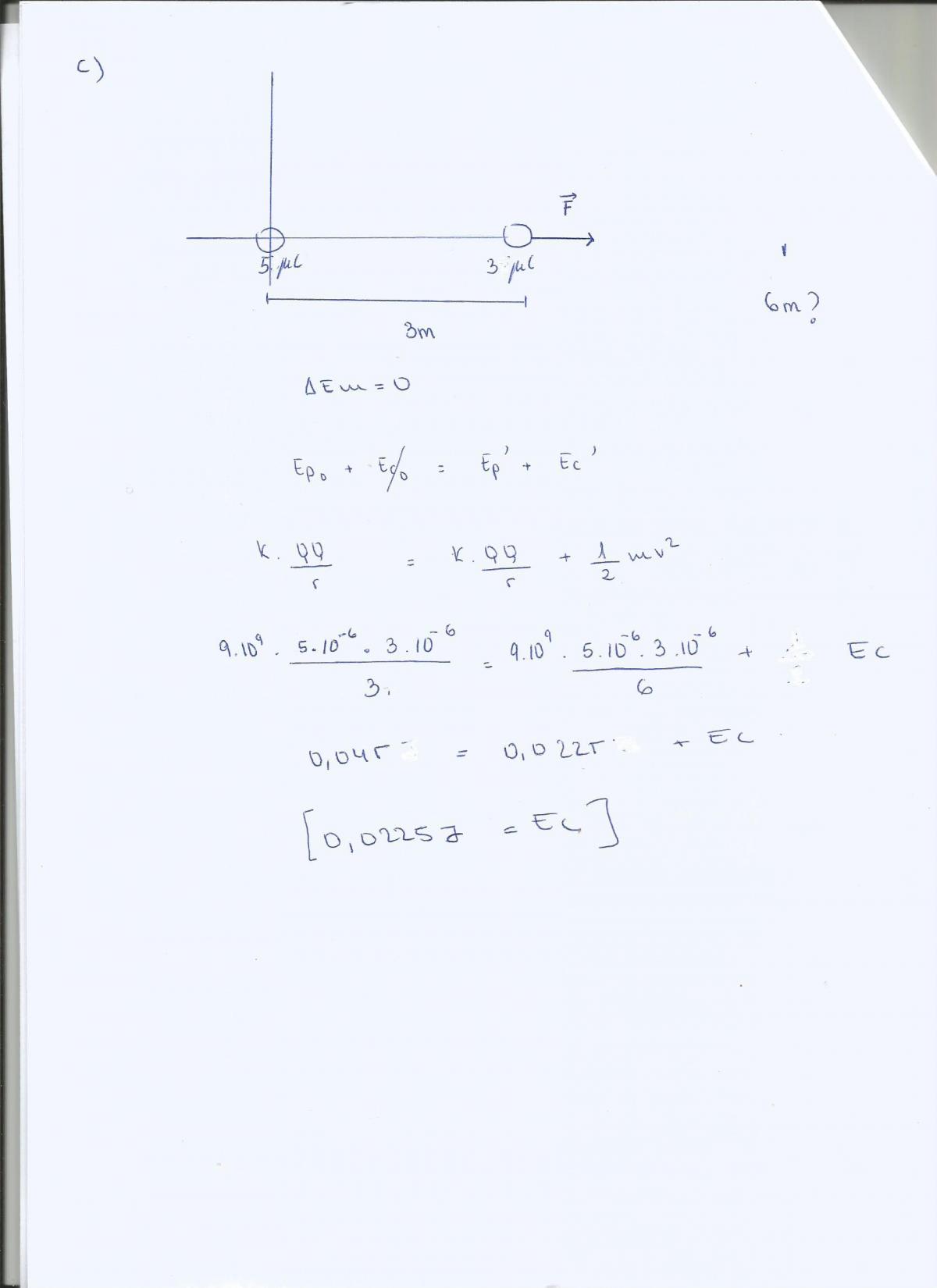
Una carga positiva puntual de 5 μC se fija en el origen:
A) Que trabajo se tiene que realizar para llevar una segunda carga de 3 μC desde muy lejos hasta un punto situado a 3 m del origen?
B) En que punto de la recta que une las dos cargas el campo eléctrico total es nulo? Es cero el potencial eléctrico en este punto?
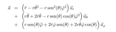
C) Si dejamos ir esta segunda carga desde el reposo cuando esta a 3 m, cual sera su energía cinética cuando esté a 6m del origen?

Tienes las expresiones del campo electrostático, del potencial, de la fuerza y de la energía potencial producidos por una carga positiva ubicada en el origen de coordenadas:
E(r) = k*Q/r2 (con dirección radial y sentido positivo alejándose de la carga, expresado en N/C),
V(r) = -k*Q/r (expresado en V),
F(r) = q*E(r) (con dirección radial y sentido positivo alejándose de la carga, expresado en N),
EP(r) = q*V(r) (expresada en J).
Luego, tienes los datos:
Q = 5 μC = 5*10-6 C,
q = 3 μC = 3*10-6 C,
k = 9*109 N*m2/C2.
A)
Consideramos que la posición inicial de la segunda carga es infinito, y tienes que la posición final es: rf = 3 m;
luego, planteas las expresiones de los potenciales, y queda:
V(ri) = 0,
V(rf) = -k*Q/rf;
luego, planteas las expresiones de las energías potenciales, y queda:
EP(ri) = 0,
EP(rf) = -k*Q*q/rf;
luego, planteas la ecuación trabajo-energía, y tienes que la expresión del trabajo realizado por una fuerza exterior, y queda:
WF = EP(rf) - EP(ri) , sustituyes expresiones, cancelas el término nulo, y queda:
WF = -k*Q*q/rf, reemplazas valores, y queda:
WF = -9*109*5*10-6*3*10-6/3 = -45*10-3 J.
B)
Tienes las posiciones de las cargas, y del punto en estudio:
rQ = 0,
rq = 3 m,
rP = a determinar (observa que r debe tomar un valor comprendido entre 0 y 3 m);
luego, observa que las distancias del punto en estudio a los puntos donde se ubican las cargas quedan expresadas:
rQP = rP - rQ = rP - 0 = rP,
rPq = rq - rP;
luego, planteas las expresiones de los campos electrostáticos producidos por ambas cargas (presta atención a sus sentidos), y queda:
E(rQP) = +k*Q/rP2,
E(rPq) = -k*q/(rq - rP)2;
luego, planteas la condición de equilibrio, y queda:
E(rQP) + E(rPq) = 0, sustituyes expresiones, y queda:
k*Q/rP2 - k*q/(rq - rP)2 = 0, divides por k en todos los términos, y queda:
Q/rP2 - q/(rq - rP)2 = 0, multiplicas por rP2*(rq - rP)2 en todos los términos, y queda:
Q*(rq - rP)2 - q*rP2 = 0, reemplazas valores, y queda:
5*10-6*(3 - rP)2 - 3*10-6*rP2 = 0, multiplicas por 106 en todos los términos, y queda:
5*(3 - rP)2 - 3*rP2 = 0, desarrollas el primer término, y queda:
45 - 30*rP + 5*rP2 - 3*rP2 = 0, reduces térmnos cuadráticos, ordenas términos, y queda:
2*rP2 - 30*rP + 45 = 0,
que es una ecuación polinómica cuadrática cuyas soluciones son:
rP ≅ 13,309 m, que no tiene sentido para este problema (recuerda que r debe tomar valores comprendidos entre 0 y 3 m),
rP ≅ 1,691 m.
C)
Planteas las expresiones de la energía potencial, de la energía cinética y de la energía total iniciales, y queda:
EP(ri) = -k*Q*q/ri = -9*109*5*10-6*3*10-6/3 = -45*10-3 J,
ECi = 0 (observa que la carga móvil se encuentra en reposo),
EMi = EP(ri) + ECi = -45*10-3 J (1);
planteas las expresiones de la energía potencial, de la energía cinética y de la energía total finales, y queda:
EP(rf) = -k*Q*q/rf = -9*109*5*10-6*3*10-6/6 = -22,5*10-3 J,
ECf =a determinar,
EMf = EP(rf) + ECf = -22,5*10-3 + ECf (1).
Luego, planteas la expresión del trabajo realizado por la fuerza electrostática sobre la carga móvil (recuerda la definición de energía potencial electrostática, y queda:
W = -(EPf - EPi), sustituyes las expresiones señaladas (1) (2), y queda:
W = (-22,5*10-3 + 45*10-3 J), reduces términos semejantes, y queda:
W = 22,5*10-3;
luego, por conservación de la energía, tienes que este trabajo es igual a la variación de la energía cinética de la carga móvil, y puedes plantear la ecuación:
ECf - ECi = W, sustituyes valores, cancelas el término nulo, y queda:
ECf = 22,5*10-3 J.
Espero haberte ayudado.
Buenas, teniendo la intensidad que circula esta espira sé que el vector superficie tiene que tener la misma dirección que el sentido de el eje X, lo que me cuesta determinar es el sentido (creo que se decia así) , es decir, si va en el sentido positivo o negativo de las X. En este ejercicio dice que es positivo, me explica alguien porque? Gracias
Buenos días. El lunes tengo examen de campo eléctrico y tengo una pequeña duda. En las ecuaciones del movimiento parabólico para el movimiento de partículas cargadas en campos uniformes, ¿la aceleración y la velocidad se ponen positivas si van en sentido del campo y negativas si van en sentido opuesto?

A ver si te ayudo.
Primero, haces el planteo desde el punto de vista eléctrico:
Fe = q*Ee,
en el que la fuerza tendrá el mismo sentido que el campo si la carga es positiva, y sentido opuesto si es negativa,
y observa que el módulo de la fuerza eléctrica queda igual al producto del valor absoluto de la carga por el módulo del campo:
|Fe| = |q|*|Ee|.
Luego, para estudiar el movimiento desde el punto de vista de la dinámica, planteas un sistema de referencia, y el signo de la fuerza aplicada será positivo si su sentido es acorde al sentido positivo del eje coordenado correspondiente, o negativo en caso contrario, por lo que tienes dos situaciones:
F = +|Fe| = +|q|*|Ee|, si la fuerza tiene el mismo sentido que el sentido positivo del eje coordenado,
F = -|Fe| = -|q|*|Ee|, si la fuerza tiene el sentido negativo del eje coordenado.
Luego, planteas la Segunda Ley de Newton, y continúas con la resolución del problema, para obtener el valor de la aceleración de la partícula, que será positivo si tiene el sentido positivo del eje coordenado (en este caso queda: a = +|q|*|Ee|/M), o negativo si la aceleración de la partícula tiene el sentido negativo del eje coordenado (en este caso queda: a = -|q|*|Ee|/M).
Luego, continúas con el planteo de Movimiento Parabólico en la forma usual.
Espero haberte ayudado.

Establece un sistema de referencia con eje OX horizontal, que pase por el punto más bajo del rizo, con sentido positivo hacia la derecha según tu imagen, y con eje OY vertical con sentido positivo hacia arriba.
Tienes la masa de la vagoneta: M = 1500 Kg,
tienes el módulo de la aceleración gravitatoria terrestre: g = 10 m/s2.
Tienes los datos del instante en el cuál la vagoneta está en el del punto más alto de la rampa:
y1 = H = 23 m, por lo que tienes que su energía potencial gravitatoria es: EP1 = M*g*y1 = 1500*10*23 = 345000 J;
v1 = 0, por lo que tienes que su energía cinética de traslación es: EC1 = 0;
por lo tanto, tienes que su energía mecánica es: EM1 = EP1 + EC1 = 345000 + 0 = 345000 J (1).
Tienes los datos del instante en el cuál la vagoneta está en el del punto más bajo del rizo:
y2 = 0, por lo que tienes que su energía potencial gravitatoria es: EP2 = M*g*y2 = 1500*10*0 = 0;
v2 = a determinar, por lo que tienes que su energía cinética de traslación queda expresada: EC2 = (1/2)*M*v22 = 750*v22 (en J);
por lo tanto, tienes que su energía mecánica es: EM2 = EP2 + EC2 = 0 + 750*v22 = 750*v22 (2).
Tienes los datos del instante en el cuál la vagoneta está en el del punto más alto del rizo:
y3 = 15 m, por lo que tienes que su energía potencial gravitatoria es: EP3 = M*g*y3 = 1500*10*15 = 225000 J;
v3 = a determinar, por lo que tienes que su energía cinética de traslación queda expresada: EC3 = (1/2)*M*v32 = 750*v32 (en J);
por lo tanto, tienes que su energía mecánica es: EM3 = EP3 + EC3 = 225000 + 750*v32 (3).
Luego, tienes para el instante en el que la vagoneta está en el punto más bajo del rizo:
1)
EM2 = EM1 (por conservación de la energía mecánica),
sustituyes las expresiones señaladas (2) (1), y queda:
750*v22 = 345000, de aquí despejas:
v2 = √(460) m/s ≅ 21,448 m/s;
2)
observa que sobre la vagoneta actúan dos fuerzas verticales: la acción normal del rizo (hacia arriba) y el peso (hacia abajo), por lo que aplicas la Segunda Ley de Newton (observa que consideramos positivo el sentido hacia el eje de giros), y queda:
N2 - M*g = M*acp2, expresas al módulo de la aceleración centrípeta en función de la velocidad lineal y del diámetro del rizo, y queda:
N2 - M*g = M*v22/(D/2), sumas M*g en ambos miembros, resuelves divisiones en el segundo miembro, y queda:
N2 = M*g + 2*M*v22/D, reemplazas datos, y queda:
N2 = 1500*10 + 2*1500*460/15, resuelves, y queda:
N2 = 107000 N.
Luego, tienes para el instante en el que la vagoneta está en el punto más alto del rizo:
3)
EM3 = EM1 (por conservación de la energía mecánica),
sustituyes las expresiones señaladas (3) (1), y queda:
225000 + 750*v32 = 345000, de aquí despejas:
v3 = √(160) m/s ≅ 12,649 m/s;
4)
observa que sobre la vagoneta actúan dos fuerzas verticales: la acción normal del rizo (hacia abajo) y el peso (hacia abajo), por lo que aplicas la Segunda Ley de Newton (observa que consideramos positivo el sentido hacia el eje de giros), y queda:
N3 + M*g = M*acp3, expresas al módulo de la aceleración centrípeta en función de la velocidad lineal y del diámetro del rizo, y queda:
N3 + M*g = M*v32/(D/2), sumas M*g en ambos miembros, resuelves divisiones en el segundo miembro, y queda:
N3 = -M*g + 2*M*v32/D, reemplazas datos, y queda:
N3 = -1500*10 + 2*1500*160/15, resuelves, y queda:
N3 = 47000 N.
Espero haberte ayudado.