Hola. Quería saber por qué en el ejercicio 13 apartado c la velocidad queda negativa mientras que en el ejercicio 14 apartado b la velocidad queda positiva, si los dos cuerpos están cayendo. Muchas gracias.
Saludo. Necesito saber si la respuesta encontrada es la correcta.
Se inserta un tubo de vidrio de 0,6 mm de diámetro en agua a 20°C que está en un recipiente como se muestra en la figura, determine el ascenso por capilaridad del agua en el tubo; exprese la respuesta en cm. Tome los valores de la tensión superficial (0,073 N/m2) y densidad del agua de (1 gr/ ml). El valor del ángulo θ=0°
RTA: 5 CM
hola alguno podría ayudarme con esta pregunta
el campo eléctrico sobre la superficie, de un material dieléctrico(no conductor) con una carga distribuida uniformemente en todo su volumen , es igual al campo eléctrico que hay fuera de la superficie ?

Establece un sistema de referencia con origen en el nudo que une a las cuerdas, con eje OX horizontal con sentido positivo hacia la derecha, y con eje vertical con sentido positivo hacia arriba.
Luego, planteas las expresiones de las componentes de la tensión de la cuerda de la derecha, y quedan:
T1x = +T1*cos(27°),
T1y = +T1*sen(27°).
Luego, planteas las expresiones de las componentes de la tensión de la cuerda de la derecha, y quedan:
T2x = -T2*cos(30°),
T2y = +T2*sen(30°).
Luego, planteas las expresiones de las componentes del peso del cuerpo, y quedan:
Px = 0,
Py = -W.
Luego, aplicas la Primera Ley de Newton, y tienes el sistema de ecuaciones:
T1x + T2x + Px= 0,
T1y + T2y + Py = 0;
luego, sustituyes las expresiones de las componentes, cancelas el término nulo en la primera ecuación, y queda:
+T1*cos(27°) - T2*cos(30°) = 0,
+T1*sen(27°) + T2*sen(30°) - W = 0 (2);
luego, reemplazas valores numéricos en todos los términos en ambas ecuaciones (observa que aproximamos con cuatro decimales), sumas W en ambos miembros de la segunda ecuación, y queda:
0,8910*T1 - 0,8660*T2 = 0 (1),
0,4540*T1 + 0,5*T2 = W (2).
Luego, planteas que se cumple la condición de máxima que tienes en tu enunciado, y queda la ecuación:
T1 + T2 = 120 (en kilogramos-fuerza),
restas T1 en ambos miembros, y queda:
T2 = 120 - T1 (3).
Luego, sustituyes la expresión señalada (3) en los segundos términos de las ecuaciones señaladas (1) (2), y queda:
0,8910*T1 - 0,8660*(120 - T1) = 0,
0,4540*T1 + 0,5*(120 - T1) = W;
luego, distribuyes los segundos términos de ambas ecuaciones, y queda:
0,8910*T1 - 103,9230 + 0,8660*T1 = 0,
0,4540*T1 + 60 - 0,5*T1 = W;
luego, reduces términos semejantes en ambas ecuaciones, y queda:
1,7570*T1 - 103,9230 = 0 (4),
-0,0460*T1 + 60 = W (5).
Luego, sumas 103,9230 en ambos miembros de la ecuación señalada (4), y queda:
1,7570*T1 = 103,9230;
luego, divides en ambos miembros por 1,7570, y queda:
T1 = 59,1480 Kgf.
Luego, reemplazas el valor remarcado en la ecuación señalada (5), resuelves, y queda:
57,2792 Kgf = W.
Luego, reemplazas el primer valor remarcado en la ecuación señalada (3), resuelves, y queda:
T2 = 60,8520 Kgf.
Espero haberte ayudado.
Buenas tardes.
Me podeis ayudar con el ejercicio de la foto gracias. Mi hija esta atascada.

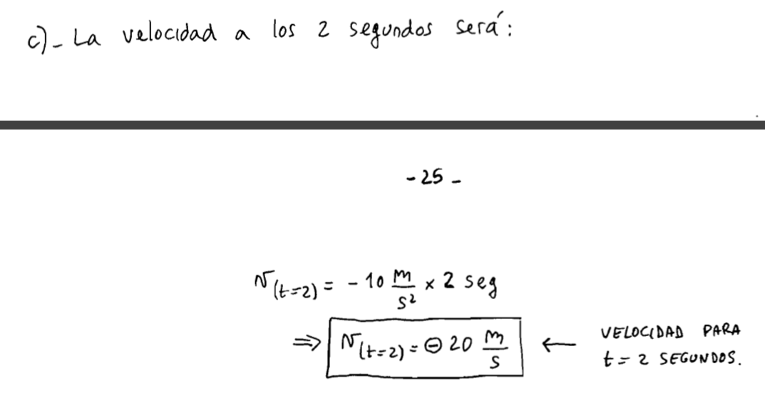
Establece un sistema de referencia con eje de posiciones (alturas) OY vertical, con origen de coordenadas a nivel del suelo y sentido positivo hacia arriba, con instante inicial: ti = 0 correspondiente al lanzamiento de la pelota.
Luego, tienes los datos iniciales:
M = 880 g = 0,88 Kg,
yi = 1,5 m,
vi = 12 m/s,
a = -g = -10 m/s2.
a)
Observa que tienes dos casos:
a1)
Inmediatamente antes del lanzamiento, donde la pelota se encuentra en reposo en las manos del lanzador, por lo que tienes:
EMa1 = EPa1 + ECa1 = M*g*yi + (1/2)*M*02 = 0,88*10*1,5 + 0 = 13,2 J;
a2)
Inmediatamente después del lanzamiento, donde la pelota se encuentra en movimiento y abandonando las manos del lanzador, por lo que tienes:
EMa2 = EPa2 + ECa2 = M*g*yi + (1/2)*M*vi2 = 0,88*10*1,5 + (1/2)*0,88*122 = 13,2 + 63,36 = 76,56 J.
b)
Observa que en el punto de altura máxima tienes que la velocidad de la pelota es nula ("no sube ni baja" en ese instante, por lo que planteas la expresión de la energía mecánica en este punto, y queda:
EMM = EPM + ECM = M*g*yM + (1/2)*M*02 = 0,88*10*yM + 0 = 8,8*yM (1);
luego, si desprecias la resistencia del aire, puedes plantear conservación de la energía mecánica, y queda la ecuación:
EMM = EMa2, sustituyes expresiones, y queda:
8,8*yM = 76,56, divides por 8,8 en ambos miembros, y queda:
yM = 8,7 m;
y observa que el valor de la energía mecánica en este punto queda:
EMM = reemplazas el valor remarcado en la expresión señalada (1) = 8,8*8,7 = 76,56 J (2).
c)
Planteas la expresión de la altura máxima considerando la resistencia del aire, y queda:
ym = yM - 50 cm = 8,7 - 0,5 = 8,2 m;
luego, planteas la expresión de la energía mecánica en este punto (recuerda que la velocidad del móvil es nula cuando éste alcanza su altura máxima), y queda:
EMm = EPm + ECm = M*g*ym + (1/2)*M*02 = 0,88*10*8,2 + 0 = 72,16 J (3);
luego, planteas la diferencia de energía mecánica para los dos casos de altura máxima, y queda:
ΔEM = EMm - EMM = reemplazas los valores señalados (2) (3) = 72,16 - 76,56 = -4,4 J,
que es el valor correspondiente a la pérdida de energía mecánica debida al rozamiento del aire sobre la pelota.
Espero haberte ayudado.
Buenas tardes! Me podéis ayudar con el siguiente ejercicio?
Calcula la aceleración de los cuerpos de la figura y la tensión de la cuerda si el coeficiente de rozamiento vale 0.2. ¿ Qué ocurre si a los 5s de haber iniciado el movimiento se corta la cuerda?
Muchas gracias de antemano!
Buenas tardes! Me podéis ayudar con el siguiente ejercicio?
Calcula la aceleración de los cuerpos de la figura y la tensión de la cuerda si el coeficiente de rozamiento vale 0.2. ¿ Qué ocurre si a los 5s de haber iniciado el movimiento se corta la cuerda?
Muchas gracias de antemano!
Hola me podrían ayudar con esta problema de espejos cóncavos...
Determinar la imagen que me devuelve un espejo cóncavo de 12 cm de radio de una flecha de 2 cm de longitud perpendicular al eje principal y elevado 1 cm del mismo, cuando el plano de la flecha esta a 15 cm del vértice.
Desde ya muchas gracias, que tengan un excelente día.
¡Gracias!

Considera un sistema de referencia con origen en el vértice (punto más profundo) del espejo, con eje OX sobre su eje de simetría, con sentido positivo hacia el campo real, y con eje OY perpendicular al eje de simetría, según la orientación del objeto luminoso.
Luego, tienes los datos:
c = R = 2 cm (posición del centro de simetría del espejo cóncavo),
y1 = 1 cm (altura de la base del objeto luminoso con respecto al eje OX),
y2 = 3 cm (altura del extremo del objeto luminoso con respecto al eje OX),
x = 15 cm (posición del objeto luminoso),
y1' = a determinar (altura de la base de la imagen con respecto al eje OX),
y2' = a determinar (altura del extremo de la imagen con respecto al eje OX),
x' = a determinar (posición de la imagen).
Luego, planteas la ecuación de posición y la ecuación de aumento para espejos esféricos, y queda (observa que son válidas para objetos pequeños con respecto al radio del espejo), y queda:
1/x' + 1/x = 2/c (1),
y'/y = -x'/x (2).
Luego, reemplazas los valores de la posición del centro y de las posición del objeto luminoso en la ecuación señalada (1), y queda:
1/x' + 1/15 = 2/2, restas 1/15 en ambos miembros, y queda:
1/x' = 14/15, multiplicas por 15x'/14 en ambos miembros, y queda:
15/14 cm = x',
y como tienes que este valor es positivo, puedes concluir que la imagen es real.
Luego, reemplazas el valor remarcado y el valor de la posición del objeto en la ecuación señalada (2), resuelves el segundo miembro, y queda:
y'/y = -1/14,
y como tienes un valor negativo tienes que la imagen es invertida, y como su valor absoluto es menor que uno, tienes que la imagen es de menor tamaño que el objeto luminoso;
luego, multiplicas por y en ambos miembros de esta última ecuación, y queda:
y'= -y/14 (3);
luego, reemplazas el valor correspondiente a la altura de la base del objeto luminoso, y queda:
y1' = -1/14 cm, que es la altura de la base de la imagen con respecto al eje OX, y observa que se encuentra debajo del mismo;
luego, reemplazas el valor correspondiente a la altura del extremo del objeto luminoso, y queda:
y2' = -3/14 cm, que es la altura del extremo de la imagen con respecto al eje OX, y observa que también sen encuentra debajo del mismo;
luego, planteas la expresión de la longitud de la imagen, y queda:
y ' = |y2' - y1'| = |-3/14 - (-1/14)| = |-3/14 + 1/14| = |-2/14| = |-1/7| = 1/7 cm,
que es el valor de la longitud de la imagen.
Espero haberte ayudado.
me ayudan por favor! tengo un problema y no lo puedo resolver
PROBLEMA: un recipiente abierto contiene petroleo ¿a que profundidad se experimenta una presión de 1,75 atmosfera?

Consideramos que el valor de la densidad de masa del petróleo es:
δp ≅ 0,8 gr/ml = 0,8 gr/cm3 = 0,8*10-3/10-6 = 0,8*103 = 800 Kg/m3;
y consideramos que el valor de la presión atmosférica es:
pat ≅ 1013 HPa = 1013*100 = 101300 = 1,013*105 Pa;
y también consideramos que el valor del módulo de la aceleración gravitatoria terrestre es:
g ≅ 9,8 m/s2;
y observa que el valor de la presión en el nivel en estudio es:
p = 1,75 atm ≅ 1,75*1,013*105 = 1,77275*105 Pa.
Luego, observa que la presión en un punto en el nivel en estudio es igual a la suma de la presión atmosférica más la presión debida a la columna de petróleo que se encuentra sobre él, por lo que puedes plantear la ecuación:
pat + δp*g*y = p,
restas pat en ambos miembros, y queda:
δp*g*y = p - pat,
divides por δp*g en ambos miembros, y queda:
y = (p - pat)/(δp*g),
que es la expresión de la profundidad a la que se encuentra el nivel en estudio en función de los datos de tu enunciado;
luego, solo queda que reemplaces valores y hagas el cálculo.
Espero haberte ayudado.