Hola
Podéis explicarme cómo resolver este problema de 1 bach. No lo gro que me de la solución que dicen que es (42343km)
Teniendo en cuenta que la Luna tarda 27,31 días en dar una vuelta completa a la Tierra a una distancia de 384000km de su centro, determina a qué altura sobre la superficie terrestre deben orbitar los satélites geoestacionarios, como el Meteosat o los satélites de señales de Tv. Dato r tierra 6370 km.
Muchas gracias

Aplicando la 3º ley de Kepler:
RL3/TL2=RH3/TH2
el radio de la luna te lo dan, el periodo de ésta tb....el periodo del satelite lo sabes..es 1 dia..te faltaria calcular la altura a la que esta y despues restarle el radio de la Tierra.
Intenta ayudarte con este vídeo:
https://www.youtube.com/watch?v=A-TuI3FEh1A
Hola ayuda por favor con las preguntas dos y tres. No entiendo ni estoy seguro de como resolverlo.
En especial necesito ayuda con la número dos por favor.
Gracias de antemano

Hola Diego
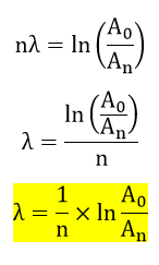
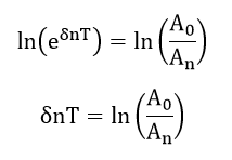
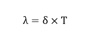
Para la pregunta 2 sólo debes empezar por realizar la proporción entre las amplitudes A0 y An.
Aplicas el logaritmo natural para despejar el exponente:
Recuerda que el decremento logarítmico está definido como:
Al reemplazarlo en la expresión quedaría de la siguiente forma:
Para la pregunta 3 te dejo el siguiente enlace en donde el ejercicio ya se encuentra resuelto:
https://es.answers.yahoo.com/question/index?qid=20110520162531AAssYNX
Espero haberte ayudado.
Saludos

Hola! Me encantaría ayudarte, pero no respondemos dudas universitarias que no tengan que ver específicamente con los videos que ya ha grabado como excepcion el profe. O de otras asignaturas que no sean matemáticas, física y química. Lo siento de corazón… Espero lo entiendas
Unicoos llega exclusivamente hasta secundaria y bachillerato
Hola buenas, estoy intentando hacer un problema del movimiento armónico simple, y me he quedado sin saber que hacer, a pesar de que he visto los vídeos, pero este particular creo que es difícil, ahí va el enunciado. Una maquina industrial esta anclada al suelo mediante muelles, de manera que en funcionamiento vibra con un MAS de amplitud igual a 1 mm. Si pasa por su posición de equilibrio con una velocidad de 2 m/s, determina el periodo y escribe la ecuación que indica como depende su velocidad del tiempo. Considera que la velocidad es nula en el instante inicial. Yo he colocado las formulas de la velocidad (v=ω√(A2-x2)) y la de v=Aωcos(ωt+φ0) y la del periodo, he sustituido los datos y no se como continuar, si alguien me hecha un cable lo agradecería, muchas gracias, un saludo.

Puedes plantear la ecuación de posición:
x = A*cos(ω*t),
y la ecuación de velocidad
v = -ω*A*sen(ω*t).
Luego, tienes los datos:
A = 1 mm = 0,001 m (amplitud de oscilación),
ω*A = 2 m/s (amplitud de velocidad;
luego, reemplazas el valor de la amplitud en la segunda ecuación, y queda:
ω*0,001 = 2, multiplicas por 1000 en ambos miembros, y qeuda:
ω = 2000 rad/s, que es la pulsación;
luego, planteas la expresión del periodo de oscilación en función de la pulsación, y queda:
T = 2π/ω, reemplazas el valor de la pulsación, y queda:
T = π/1000 s.
Espero haberte ayudado.
1. CU Al iluminar la superficie de un metal con luz de longitud de onda 280 nm, la emisión de fotoelectrones
cesa para un potencial de frenado de 1,3 V.
a) Determina la función trabajo del metal y la frecuencia umbral de emisión fotoeléctrica.
b) Cuando la superficie del metal se ha oxidado, el potencial de frenado para la misma luz incidente es
de 0,7 V. Razona cómo cambian, debido a la oxidación del metal: I) la energía cinética máxima de
los fotoelectrones, II) la frecuencia umbral de emisión, III) la función trabajo.
Datos: c = 3 · 10^8 m · s-1; h = 6,6 · 10^-34 J · s; e = 1,6 · 10^-19 C.
No hay manera con este problema de Física Nuclear...
·Un átomo de radón (A=220) se desintegra emitiendo un núcleo de helio (A=4) a 1,75x10^7 m/s y un átomo de polonio (A=216). Si el radón estaba inicialmente en reposo, indique la velocidad del átomo de polonio, suponiendo que no existen otros intercambios de energia.
En serio necesito ayuda por favor. (Adjunto lo que llevo)
Una esfera sólida de masa 2M y radio 2R está amarrada a una cuerda mediante un yugo y se encuentra sobre una mesa horizontal, como se muestra en la Figura 5. La cuerda pasa a través de una polea de masa M y radio R, y del otro extremo de la polea se cuelga un bloque de masa 2M. El bloque está inicialmente a una altura H del suelo y se suelta del reposo. Suponiendo que la esfera rueda sin resbalar sobre la mesa y que la cuerda no se resbala sobre la polea, encuentra la velocidad del bloque justo antes de que choque con el suelo. [Iesf = (2/5)MesfResf2 , Idisco = (1/2)MdiscoRdisco2 ]. Datos: M, R, H y g.

Hola! Me encantaría ayudarte, pero no respondemos dudas universitarias que no tengan que ver específicamente con los videos que ya ha grabado como excepcion el profe. O de otras asignaturas que no sean matemáticas, física y química. Lo siento de corazón… Espero lo entiendas
Unicoos llega exclusivamente hasta secundaria y bachillerato
P.D. Como excepcion el profe grabó varios videos sobre momento de inercia, pero no puedo ayudarte mas. Espero te sirvan.
¿Me ayudarían con este problema?
En un reloj de pared el minutero mide 20 cm y el horario 15 cm. ¿Cuál es la distancia entre sus puntas cuando el reloj marca las 5?
¡Gracias!

aplicas el teorema del coseno
Previamente has de saber que el ángulo que forman ambas manecillas será de 360/12=30 =>30·5=150º
Mira este video sobre el teorema del coseno