necesito ayuda, me piden:
Un bloque de 0,5 kg inicialmente en reposo resbala por un plano inclinado de 3 m de longitud i un ángulo de 30º con la horizontal hasta que choca con un muelle de constante elástica 300 N/m situada al final del plano inclinado. Calculad la velocidad del impacto del bloque con el muelle y la máxima compresión de este.
si yo quiero saber el aumento de la energía cinetica para que voy a calcular¿ K total ?
el apartado ya me da las soluciones pero nose como sacarlas y comprenderlas mira :
Un cuerpo de 5 kg se desliza sobre una superficie horizontal sin rozamiento a 7 m/s. A
partir de cierto instante, y durante 5 m, se ejerce sobre él una fuerza de 20 N paralela
a la superficie en el sentido del movimiento. Calcula:
a. El aumento de la energía cinética del cuerpo. (sol: 100 J)
b. Su velocidad al final de los 5 m. (sol: 9,4 m/s)
EN EL a yo lo que he hecho es esto es W = K= K_f - K_0 pero no me da los 100 J
SIN EMBARGO HACIENDO W= F * desplazamiento ; W = 5*20=100 J si me da, y no entiendo porque puesto que me piden el aumento de la energia cinetica, eso es lo que no entiendo
Un cuerpo de 5 kg se desliza sobre una superficie horizontal sin rozamiento a 7 m/s. A partir de cierto instante, y durante 5 m, se ejerce sobre él una fuerza de 20 N paralela a la superficie en el sentido del movimiento. Calcula: a. El aumento de la energía cinética del cuerpo. ALGUIEN SABE LO QUE SIGNIFICA ``El aumento de la energía cinética del cuerpo´´tengo didas en esto
Vaale, pues calculas la K en el intante inicial = 1/2 * 5 * 7^2, luego la K tras 5 m (la dificultad reside en calcular la v final pero esto es fácil... calculas a=F/m, y luego aplicas las ec. del MRUA para posición (obtienes t) y luego para velocidad (obtienes v_f) (recuerda v_0=7 m/s) usas v_f para obtener K y luego usas:
Variación de K= K_f - K_0
K= energía cinética

PERO...
si yo quiero saber el aumento de la energía cinetica para que voy a calcular K total ?
el apartado ya me da las soluciones pero nose como sacarlas y comprenderlas mira :
Un cuerpo de 5 kg se desliza sobre una superficie horizontal sin rozamiento a 7 m/s. A
partir de cierto instante, y durante 5 m, se ejerce sobre él una fuerza de 20 N paralela
a la superficie en el sentido del movimiento. Calcula:
a. El aumento de la energía cinética del cuerpo. (sol: 100 J)
b. Su velocidad al final de los 5 m. (sol: 9,4 m/s)
EN EL a yo lo que he hecho es esto es W = K= K_f - K_0 pero no me da los 100 J
SIN EMBARGO HACIENDO W= F * desplazamiento ; W = 5*20=100 J si me da y no entiendo porque puesto que me piden el aumento de la energia cinetica, eso es lo que no entiendo
Buenos dias, mi pregunta es como se podria resolver el siguiente ejercicio:
La longitud de un muelle aument 1 cm cuando se cuelga un objeto de 1'5 kg de masa a) cual es la constante elastica del muelle b) cuando se cuelga otro objeto el muelle se alarga 23 com más ¿ cual es la masa de este objeto?
muchas gracias y si existen videos para aprender a resolver este tipo de problemas serian de gran ayuda.
Tiene pinta de que tienes que aplicar la Ley de Hooke F=-kx
CASO 1:
F=P=mg ---> k= 1.5*9.8/ (1*10^-2) (el menos lo quito por que es irrelevante para k, solo indica que F es opuesta al movimiento del cuerpo, siempre apunta hacia fuera, hablando un poco a lo bruto)
CASO 2:
Si se alarga 23 cm --> x=24 cm F=-k*(24*10^-2) k la sabes del ej anterior, y para hallar m solo tienes que aplicar F=P=mg
Hola tengo una duda con este ejercicio: "un coche de 1400 kg de masa circula a 120km/h y consigue frenar en 15m ¿cual ha sido la fuerza de frenado que ha actuado, suponiéndola constante?" Yo he pensado en pasar los km/h a m/s y despues dividirlo entre los 15 m para obtener la aceleracion que tendría que ser negativa y despues ya sustituir en la formula de f=m×a pero no se si será correcto, un saludo
Hola, tenés que sacar la aceleracion con las fórmulas de cinemática, priemro pasar la velocidad como hiciste a m/s , pero la aceleracion la tenes que sacar con la fórmula de V(cuadrado)=v0(cuadrado)+2a(x-x0) de ahí despejas a, después la multiplicas por la masa del auto y te da la aceleración
David, ¿podrías grabar un video para saber la trayectoria de los rayos en los espejos y en las lentes? Es que me lo piden para el examen de selectividad que tengo este año. Gracias y saludos
Tengo que hacer este ejercicio de electronica digital pero no se que significan esas funciones, es decir el sumatorio con sus subindices y todos los numeros del parentesis, si pudieran explicarmelo os lo agradeceria.

Hola! Me encantaría ayudarte, pero no respondemos dudas universitarias que no tengan que ver específicamente con los videos que ya ha grabado como excepcion el profe. O de otras asignaturas que no sean matemáticas, física y química. Lo siento de corazón… Espero lo entiendas
Unicoos llega exclusivamente hasta secundaria y bachillerato
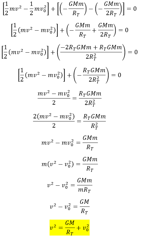
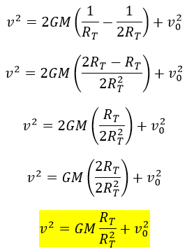
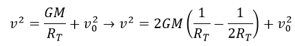
Hola! Tengo unas dudas con la resolución de un ejercicio sobre el tema de gravitación, aquí dejo la forma que la solución trae, el enunciado es:
Un astronauta está en el interior de una nave espacial que describe una órbita circular de radio 2RT. Calcula: c) Si en un instante dado, pasa al lado de la nave espacial un objecto de 60 kg en dirección a la Tierra con una velocidad de 40 m/s, haya la velocidad del objecto al llegar a la superficie terrestre. (Datos:g=9,81 ms-2; RT=6370 km).
La solución dada es esta:
Mis dudas vienen a la hora de desarrollar la expresión, no entiendo muy bien las operaciones que ha ido realizando. (Lo que no entiendo muy bien es como saca el 2GM (1/Rt - 1/2Rt) y luego ese GM (Rt/Rt^2) ya que a mi no me quedaba así, el resto sí lo entiendo. Gracias desde ya.
Hola!tengo una duda con respecto a las colisiones elásticas, he buscado por el foro a ver si ya se había dado el caso para no repetirme pero no he visto nada. Se trata de lo siguiente:
En una colisión elástica en una dimensión, partiendo de las fórmulas de conservación de la cantidad de movimiento y conservación de la energía cinética, m1vi1 + m2vi2 = m1v1 + m2v2 y 1/2m1vi1^2 + 1/2m2vi2^2 = 1/2m1v1^2 + 1/2m2v2^2 respectivamente, no logro realizar los cálculos para llegar a despejar de dichas ecuaciones v1 y v2. Espero que se entienda. Gracias.
Saludos!