A que temperatura absoluta los termómetros de Fahrenheit y Celsius dan la misma lectura ? como planteo ese ejercicio?

Hola Vivi
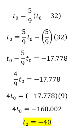
El ejercicio puedes plantearlo de la siguiente forma:
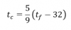
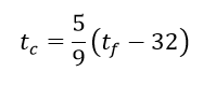
tc es la temperatura en la escala de Celsius.
tf es la temperatura en la escala de Farenheit.
Para hallar una temperatura en común sólo sigues el siguiente paso:
Ahora, sólo reemplazas t0 en la expresión del principio.
Espero haberte ayudado.
Saludos

Considera un sistema de referencia con instante inicial: ti = 0, con origen de coordenadas en el punto en el que está ubicada la primera corredora, con dirección y sentido hacia la posición en que está ubicada la segunda corredora.
Luego, plantea los datos iniciales para ambas corredoras:
x1i = 0, v1 = 4,50 m/s;
x2i = 100 m, v2 = -3,50 m/s.
Luego, plantea la ecuación de posición de Movimiento Rectilíneo Uniforme (x = xi + v*t) para ambas corredoras (observa que cancelamos un término nulo), y tienes:
x1 = 4,50*t,
x2 = 100 - 3,50*t.
Luego, planteas la condición de encuentro, y queda:
x1 = x2, sustituyes expresiones, y queda:
4,50*t = 100 - 3,50*t, sumas 3,50*t en ambos miembros, y queda:
8*t = 100, divides por 8 en ambos miembros, y queda:
t = 12,5 s, que es el instante en el que se encuentran las corredoras;
luego, reemplazas el valor remarcado en las ecuaciones de posición, y queda:
x1 = 4,50*12,5 = 56,25 m,
x2 = 100 - 3,50*12,5 = 100 - 43,75 = 56,25 m,
por lo que tienes que la posición de encuentro entre las corredoras es: x = 56,25 m.
Espero haberte ayudado.
He intentado hacer este ejercicio mediante un vídeo que tenéis en la web, pero no lo he conseguido, podéis ayudarme??
Una carga positiva +q1 se coloca a 3m a la izquierda de una carga negativa -q. Las cargas tienen diferentes valores absolutos. A lo largo de la línea que contiene las dos cargas, el campo eléctrico es nulo en un punto que está situado a 1 m a la derecha de la carga negativa. En esta recta hay también dos puntos en los que el potencial eléctrico es nulo. Localiza dichos puntos dando su situacion repecto a la carga negativa.
Muchas gracias

Establece un sistema de referencia con origen en la posición de la carga positiva, con dirección hacia la carga negativa, y sentido positivo hacia ella.
Luego, plantea las expresiones y las posiciones de las cargas, y tienes:
Q1 = +q1, x1 = 0;
Q2 = -q2, x2 = 3 m;
y observa que q1 y q2 son los valores absolutos de las cargas.
Luego, plantea la posición y la condición de campo electrostático resultante nulo para el punto en estudio (P):
xP = 4 m, EP = 0,
desarrollas la segunda ecuación, y queda:
E1 + E2 = 0, sustituyes las expresiones de los campos, y queda:
k*Q1/(xP-x1)2 + k*Q2/(xP-x2)2 = 0,
divides por k en todos los términos de la ecuación, sustituyes expresiones, y queda:
q1/(4-0)2 + (-q2)/(4-3)2 = 0,
resuelves denominadores, resuelves el signo en el segundo término, y queda:
q1/16 - q2 = 0, sumas q2 en ambos miembros, y queda:
q1/16 = q2, multiplicas por 16 en ambos miembros, y queda:
q1 = 16*q2 (1), que es la relación entre los valores absolutos de las cargas.
Luego, plantea la condición de potencial electrostático igual a cero:
V1 + V2 = 0,
sustituyes expresiones (observa que designamos A al punto correspondiente), y queda:
k*Q1/(xA-x1) + k*Q2/(xA-x2) = 0,
divides por k en toso los términos de la ecuación, y queda:
Q1/(xA-x1) + Q2/(xA-x2) = 0,
sustituyes las expresiones de las cargas y de sus posiciones, resuelves el signo en el segundo término,y queda.
q1/(xA-0) - q2/(xA-3) = 0,
cancelas el término nulo en el denominador del primer término, sumas el segundo término en ambos miembros, y queda:
q1/xA = q2/(xA-3),
sustituyes la expresión señalada (1) en el numerador del segundo miembro, y queda:
16*q2/xA = q2/(xA-3),
divides por q2 en ambos miembros, y queda:
16/xA = 1/(xA-3),
multiplicas por xA y por (xA-3) en ambos miembros, y queda:
16*(xA-3) = xA, distribuyes el primer miembro, y queda:
16*xA - 48 = xA, restas xA y sumas 48 en ambos miembros, y queda:
15*xA = 48, divides por 15 en ambos miembros, y queda:
xA = 3,2 m,
por lo que tienes que hay un único punto A para el cuál el potencial electrostático es igual a cero,
y se encuentra 3,2 m a la derecha de la carga positiva y, por lo tanto, observa que se encuentra 0,2 m a la derecha de la carga negativa.
Espero haberte ayudado.
Ayuda, lo mas rápido posible por favor.
1) El coeficiente de rozamiento entre la cuña y la superficie horizontal es de 0,5 y todas las demás superficies son lisas. Calcular la mínima fuerza “P” que levantará la carga “Q”.

Hola! Me encantaría ayudarte, pero no respondemos dudas universitarias que no tengan que ver específicamente con los videos que ya ha grabado como excepcion el profe. O de otras asignaturas que no sean matemáticas, física y química. Lo siento de corazón… Espero lo entiendas
Unicoos llega exclusivamente hasta secundaria y bachillerato
MRUA
Hola, me ayudáis con este?
Un vehículo de mueve a la velocidad de 86 km/h, se detiene con movimiento uniformemente retardado de aceleración 80 cm/s2

Tienes el módulo de la velocidad inicial del móvil:
vi = 86 Km/h = 86*1000/3600 = 215/9 m/s,
y observa que su velocidad final es nula.
Tienes el módulo de la aceleración del móvil: a = 80 cm/s2 = 0,8 m/s2.
Luego, plantea la expresión de la aceleración para Movimiento Rectilíneo Uniformemente Variado (observa que consideramos: ti = 0):
a = (vf - vi)/t, reemplazas valores (observa que asignamos signo negativo a la aceleración), y queda:
-0,8 = (0 - 215/9)/t, cancelas el término nulo en el numerador del primer miembro, multiplicas por t en ambos miembros, y queda:
-0,8*t = -215/9, multiplicas por -10 en ambos miembros, y queda:
8*t = 2150/9, divides por 8 en ambos miembros, simplificas, y queda:
t = 1075/36 s, que es el instante en el cuál el vehículo se detiene.
Luego, planteas la ecuación de posición (observa que consideramos que la posición inicial es igual a cero), y queda.
x = vi*t - (1/2)*a*t2, reemplazas valores, y queda:
x = (215/9)*(1075/36) - (1/2)*(0,8)*(1075/36)2,
y solo queda que hagas el cálculo.
Espero haberte ayudado.
Hola, no se solucionar el siguiente problema, me podéis ayudar?
Una carga de de 10-5 C crea un campo donde metemos otra carga de 10-6 C. Calcula la distancia a la que se encuentra si el potencial de esta resulta ser 1500V.
Calcula el trabajo necesario para que una toque a la otra, si tienen un radio, respectivamente de 0,1m y 0,01m. El dato que me dan es que K=9x109

Viste los videos de electrostatica?
hola, alguien me podría ayudar con este problema:
El
conductor de un camión sube por una pendiente. Los señalamientos de elevación
de los puntos inicial y final indican que ha subido verticalmente 0,530
, y
el indicador de kilómetros del camión muestra que ha recorrido, durante el
ascenso 3000
.
Hallar el ángulo de inclinación de la pendiente