
Establece un sistema de referencia con eje de posiciones (alturas) OY vertical, con sentido positivo hacia arriba, con origen de coordenadas al nivel del suelo)
Observa que tienes tres instantes importantes:
1)
El muelle está comprimido (Δs1 = 5 cm = 0.05 m), y la bolita está en reposo (y1 = 10 cm = 0,1 m, v1 = 0);
2)
El muelle está relajado (Δs2 = 0), y la bolita está a punto de despegarse del muelle (y2 = 15 cm = 0,15 m, v2 = a determinar);
3)
El muelle está relajado (Δs3 = 0), y la bolita alcanza su punto de altura máxima (y3 = a determinar, v2 = 0).
Luego, tienes los datos de tu enunciado:
M = 25 g = 0,025 Kg (masa de la bolita),
k = 50 N/m (constante elástica del muelle).
Luego, planteas las expresiones de la energía mecánica total del sistema muelle-bolita como las sumas de la energía potencial elástica del muelle, más la energía potencial gravitatoria y la energía cinética de traslación de la bolita (consideramos que el módulo de la aceleración gravitatoria terrestre es: g = 9,8 m/s2), y queda:
EM1 = EPe1 + EPg1 + ECt1 = (1/2)*k*Δs12 + M*g*y1 + (1/2)*M*v12,
reemplazas valores, y queda:
EM1 = (1/2)*50*0,052 + 0,025*9,8*0,1 + (1/2)*0,025*02 = 0,0625 + 0,0245 + 0 = 0,087 J (1);
EM2 = EPe2 + EPg2 + ECt2 = (1/2)*k*Δs22 + M*g*y2 + (1/2)*M*v22,
reemplazas valores, y queda:
EM2 = (1/2)*50*02 + 0,025*9,8*0,15 + (1/2)*0,025*v22 = 0 + 0,03675 + 0,0125*v22 = 0,03675 + 0,0125*v22 (en J) (2);
EM3 = EPe3 + EPg3 + ECt3 = (1/2)*k*Δs32 + M*g*y3 + (1/2)*M*v32,
reemplazas valores, y queda:
EM3 = (1/2)*50*02 + 0,025*9,8*y3 + (1/2)*0,025*02 = 0 + 0,245*y3 + 0 = 0,245*y3 (en J) (3).
Luego, como no se consideran pérdidas por rozamientos, puedes plantear que la energía mecánica del sistema muelle-bolita se conserva en todo instante, y puedes plantear el sistema de ecuaciones:
EM2 = EM1,
EM3 = EM1;
luego, sustituyes expresiones, y queda:
0,03675 + 0,0125*v22 = 0,087,
0,245*y3 = 0,087;
luego, haces pasaje de término y luego pasaje de factor como divisor en la primera ecuación, y queda:
v22 = 4,02, haces pasaje de potencia como raíz, y queda:
v2 ≅ 2,005 m/s, que es el módulo de la velocidad en el instante en que la bolita se separa del muelle;
luego, haces pasaje de factor como divisor en la segunda ecuación, y queda:
y3 = 0,355 m, que es la posición que corresponde a la altura máxima que alcanza la bolita.
Espero haberte ayudado.
Pelota de Basket - 486 gramos
Pelota de futbol - 454 gramos
Cual es la fuerza que ejercen ambas pelotas sobre el suelo al caer la pelota de futbol sobre la de basket?
Cual es la fuerza normal que ejerce la pelota de basket sobre la de futbol?
Holaa disculpen la molestia y las fotos pero no podía copiar bien todo de otra forma. Alguien tiene la más mínima idea de como hacer esto?. Si es muy largo yo sustituyo los valores para los resultados numéricos pero por favor si alguien me pudiese guiar para hacer esto lo agradecería ![]()
![]()
![]()

Hola! Me encantaría ayudarte, pero no respondemos dudas universitarias que no tengan que ver específicamente con los videos que ya ha grabado como excepcion el profe. O de otras asignaturas que no sean matemáticas, física y química. Lo siento de corazón… Espero lo entiendas
Unicoos solamente abarca niveles de secundaria y bachillerato
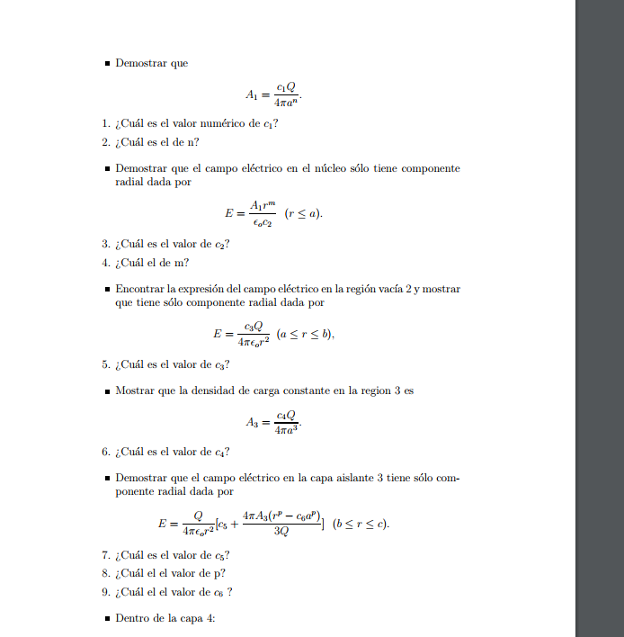
Hola necesito ayuda con esto. Aquí tengo que usar Q por E o la expresión del campo en la Ley de Gauss?
Una carga uniforme en volumen de 80nC/m3 está distribuida en la región interior a un par de cilindros coaxiales de radios 1,0mm y 3,0mm respectivamente. Determina la intensidad del campo eléctrico en un punto que está a 2,0mm del eje común de simetría.

¿Has visto este video?... Teorema de Gauss
En esta web, puede que te ayuden los problemas 6 y 7...
http://www.sc.ehu.es/sbweb/ocw-fisica/problemas/electromagnetismo/gauss/problemas/gauss_problemas.xhtml
ayuda por favor..!!

La primera rueda gira:
θ1 = 812 rad = 812/(2π) ≅ 129,234 vueltas ≅ 129 vueltas y 0,234 vuelta.
La segunda rueda gira:
θ2 = 40969,5° = 40969,5/360° ≅ 113,804 vueltas ≅ 113 vueltas y 0,804 vuelta.
Luego, tienes que la primera rueda realiza la mayor cantidad de vueltas.
Espero haberte ayudado.
Buenas. Alguien me puede ayudar a resolver este ejercicio?
*El escritorio tiene una masa de 27 libras, se le coloca una mesita de 10 libras de masa y encima de la mesa se le coloca una pelota de basket de 486 gramos. Determina:
A- La fuerza total que ejerce el sistema sobre el suelo.
B- Calcular la fuerza normal que ejerce la mesita sobre el escritorio.
C- Calcular la fuerza de la pelota sobre la mesita.
D- ¿ Qué cantidad de fuerza necesita para mover el sistema? pd- El sistema es el conjunto, osea la mesa con la pelota y todo.

Tienes las masas de los tres cuerpos:
M1 = 27 lb = 27*0,453592 = 12,246984 ≅ 12,247 Kg, y su peso es: P1 = M1*g ≅ 12,247*9,8 ≅ 120,021 N,
M2 = 10 lb = 10*0,453592 = 4,53592 ≅ 4,536 Kg, y su peso es: P2 = M2*g ≅ 4,536*9,8 ≅ 44,453 N,
M3 = 486 g = 0,486 Kg. y su peso es: P3 = M3*g ≅ 0,486*9,8 ≅ 4,763 N,
Luego, observa que sobre los tres cuerpos actúan fuerzas verticales, de las que indicamos sus módulos y sentidos:
1)
Sobre el escritorio:
Peso: P1 ≅ 120,021 N, hacia abajo, ejercido por la Tierra;
Acción Normal: N1, hacia arriba, ejercida por el suelo;
Acción Normal: N12, hacia abajo, ejercida por la mesita;
luego, aplicas la Primera Ley de Newton, y tienes la ecuación:
N1 - N12 - P1 = 0 (1).
2)
Sobre la mesita:
Peso: P2 ≅ 44,453 N, hacia abajo, ejercido por la Tierra;
Acción Normal: N23, hacia abajo, ejercida por la pelota;
Reacción Normal: N12, hacia arriba, ejercida por el escritorio;
luego, aplicas la Primera Ley de Newton, y tienes la ecuación:
N12 - N23 - P2 = 0 (2).
3)
Sobre la pelota:
Peso: P3 ≅ 4,763 N, hacia abajo, ejercido por la Tierra;
Reacción Normal: N23, hacia arriba, ejercida por la mesita;
luego, aplicas la Primera Ley de Newton, y tienes la ecuación:
N23 - P3 = 0 (3).
Luego, reemplazas los valores de los módulos de los pesos y haces pasajes de términos en las ecuaciones señaladas (1) (2) (3), y queda el sistema:
N1 - N12 = 120,021 N,
N12 - N23 = 44,453 N,
N23 = 4,763 N, que es el módulo de las fuerzas de contacto que se ejercen mutuamente la mesita y la pelota (C);
luego, reemplazas el valor remarcado en la segunda ecuación, haces pasaje de término, y queda:
N12 = 49,216, que es el módulo de las fuerzas de contacto que se ejercen mutuamente el escritorio y la mesita (B);
luego, reemplazas el último valor remarcad en la primera ecuación, haces pasaje de término, y queda:
N1 = 169,237 N, que es el módulo de las fuerzas de contacto que se ejercen mutuamente el escritorio y el suelo (A).
D)
Si deseas mover el conjunto hacia arriba, debes ejercer sobre el sistema una fuerza vertical, cuyo módulo sea N1 o mayor.
Si deseas mover el conjunto sobre el suelo, debes ejercer sobre el sistema una fuerza horizontal que, como mínimo, equilibre a la fuerza de rozamiento estático entre la base del escritorio y el suelo.
Espero haberte ayudado.
Hola...buenos días...me gustaría saber si tenéis algo sobre la Ley de Hooke (ejercicios y algún exámen)...Muchas gracias!!!
Hola alguien me podría ayudar con esto?
Una carga puntual de 5,0pC está ubicada en el centro de una esfera hueca de radio 2,0cm, y una carga de 3,0pC está distribuida uniformemente sobre la superficie de dicha esfera. La magnitud del campo eléctrico a 3,0cm de la carga puntual es? a. 80 N/C

Observa que el punto en estudio se encuentra fuera de la esfera hueca, a 1,0 cm de su superficie.
Luego, considera una superficie gaussiana esférica concéntrica con la esfera metálica, que pase por el punto en estudio, cuyo radio es:
R = 3,0 cm = 3*10-2 m, y cuya área es:
A = 4πR2 = 4π(3,0)2 = 36π cm2 = 36π*10-4 m2 = 3,6π*10-3 m2;
y observa que la carga total encerrada por esta superficie es:
qne = 5,0 + 3,0 = 8,0 pC = 8,0*10-12 C.
Luego, planteas la Ley de Gauss (en forma simplificada, pues tienes simetría esférica en este problema), y tienes:
ε0*E*A = qne;
sustituyes expresiones, y queda:
ε0*E*3,6π*10-3 = 8,0*10-12;
luego, expresas a la permitividad del vacío en función de la constante de Coulomb ( ε0 = 1/(4πk) ), y queda:
( 1/(4πk) )*E*3,6π*10-3 = 8,0*10-12;
multiplicas en ambos miembros por (4πk), y queda:
E*3,6π*10-3 = 8,0*10-12*4πk;
multiplicas en ambos miembros por 1/π, y queda:
E*3,6*10-3 = 8,0*10-12*4k;
multiplicas en ambos miembros por 103, y queda:
E*3,6 = 8,0*10-9*4k
sustituyes el valor de la constante de Coulomb (k = 9*109 N*m2/C2), y queda:
E*3,6 = 8,0*10-9*4*9*109;
resuelves en el segundo miembro, y queda:
E*3,6 = 288;
haces pasaje de factor como divisor, resuelves, y queda:
E = 80 N/C,
que es el módulo de la intensidad de campo eléctrico en el punto en estudio.
Espero haberte ayudado.
Hola alguien sabe como hacer esto? Debo tomar el área o el volumen de la esfera?. Y como sé en que dirección dibujar las líneas de campo?
El eje x está cubierto por una densidad lineal uniforme de carga de 4,0nC/m. Considera una esfera de 5,0cm de radio, centrada en el origen, y calcula el flujo eléctrico a través de ella.

Observa que la líneas de campo son perpendiculares al eje OX, y son radiales en todo punto.
Luego, observa que las componentes del campo quedan expresadas:
Ex = 0,
Ey = E*cosθ,
Ez = E*senθ;
donde E es el módulo del campo eléctrico en el punto P, cuya expresión (seguramente la has visto en clase) es:
E = λ/(2πε0r) = 2kλ*(1/r) (1).
Luego, puedes plantear una parametrización de la superficie esférica de radio R = 5 cm = 0,05 m, cuya ecuación cartesiana es: x2 + y2 + z2 = 0,0025, en la forma:
x = √(0,0025-r2),
y = r*cosθ,
z = r*senθ,
con los intervalos paramétricos:
0 < r ≤ 0,05,
0 ≤ θ ≤ 2π.
Luego, la expresión vectorial paramétrica del campo eléctrico queda:
E = <Ex,Ey,Ez>, sustituyes las expresiones de las componentes, y queda:
E = < 0 , E*cosθ , E*senθ >, extraes factor común escalar entre las compoentes, y queda:
E = E*< 0 , cosθ , senθ >, sustituyes la expresión del módulo del campo electrostático, y queda:
E = 2kλ*(1/r)*< 0 , cosθ , senθ > (1).
Luego, la expresión de la función vectorial de posición para los puntos de la superficie queda:
R(r,θ) = < √(0,0025-r2) , r*cosθ , r*senθ >;
luego, las expresiones de sus derivadas parciales quedan:
Rr = < -r/√(0,0025-r2) , cosθ , senθ >,
Rθ = < 0 , -r*senθ , r* cosθ >;
y el producto vectorial entre las derivadas parciales de la función de posición queda:
Rr x Rθ = < r , r2*cosθ/√(0,0025-r2) , r2*senθ/√(0,0025-r2) > = r*< 1 , r*cosθ/√(0,0025-r2) , r*senθ/√(0,0025-r2) > (2).
Luego, planteas el producto escalar entre las expresiones de las funciones vectoriales señaladas (1) (2), y queda:
E • (Rr x Rθ) = sustituyes expresiones, y queda:
= 2kλ*(1/r)*< 0 , cosθ , senθ > • r*< 1 , r*cosθ/√(0,0025-r2) , r*senθ/√(0,0025-r2) > =
resuelves, y queda:
= 2kλ*( 0 + r*cos2θ/√(0,0025-r2) + r*sen2θ/√(0,0025-r2) ) =
cancelas el término nulo y extraes factores comunes en el agrupamiento, y queda:
= 2kλ*( r/√(0,0025-r2) )*(cos2θ + cos2θ) =
aplicas la identidad trigonométrica fundamental en el último factor, resuelves, y queda:
= 2kλ*r/√(0,0025-r2) (3).
Luego, ya tienes todo para plantear la integral de flujo:
Φ = ∫∫S E•dS =
desarrollas la integral de superficie como una integral doble, y queda:
= ∫∫R E • (Rr x Rθ) *dr*dθ =
sustituyes la expresión señalada (3), y queda:
= ∫∫R ( 2kλ*r/√(0,0025-r2) ) * dr*dθ =
extraes factores constantes, y queda:
= kλ * ∫∫R ( 2r/√(0,0025-r2) ) * dr*dθ = y puedes continuar la tarea,
y observa que para integrar la variable r (entre 0 y 0,05) puedes aplicar la sustitución (cambio de variable): w = 0,0025-r2,
y luego te quedará una integral de resolución directa para la variable θ (para evaluar entre 0 y 2π.
Espero haberte ayudado.

Consideramos que la esfera metálica es pequeña.
Considera un sistema de referencia con eje de posiciones (alturas) OY vertical, con sentido positivo hacia arriba y origen de coordenadas al nivel del suelo.
Observa que en el instante inicial la velocidad es nula, y que la altura inicial es: yi = 6 m, por lo que planteas la expresión de la energía mecánica inicial, y queda:
EMi = ECi + EPi = 0 + M*g*yi = 60*9,8*6 = 3528 J.
Observa que en el instante final la velocidad es nula, y que la altura final es: yf = -30 cm = -0,3 m, por lo que planteas la expresión de la energía mecánica final, y queda:
EMf = ECf + EPf = 0 + M*g*yf = 60*9,8*(-0,3) = -176,4 J (2).
Luego, planteas la expresión del trabajo de la fuerza de resistencia (observa que su dirección es vertical, y que su sentido es opuesto al sentido de movimiento de la esfera, y que actúa mientras la esfera penetra en la arena y se desplaza 30 cm hacia abajo, por lo que su desplazamiento es: Δs = -0, 3 m), y queda:
WF = F*Δs = F*(-0,3) = -0,3*F (3)
(en Joules, donde F es el módulo de fuerza de resistencia promedio).
Luego, planteas la relación entre trabajo y energía, y queda:
WF = EMf - EMi, sustituyes los valores señalados (1) (2) y la expresión señalada (3), y queda:
-0,3*F = -176,4 - 3528, resuelves el segundo miembro, y queda:
-0,3*F = -3704,4, haces pasaje de factor como divisor, resuelves, y queda:
F = 12348 N.
Por favor, consulta con tus docentes por la discrepancia con la respuesta que tienes en tu enunciado;
y observa que si desprecias la distancia que penetra la esfera en la arena (que es muy pequeña con respecto a la altura inicial), entonces tienes (todo el planteo y su desarrollo es análogo al que hemos hecho):
yi = 6 m, yf = 0, EPi = 3528 J, EPf = 0, y F = 11760 N.
Espero haberte ayudado.