Hola me podrian ayudar por aca? Halle las reacciones pero cuando hago sumatoria de fuerzas en Y no me da cercano a 0 ![]()

Hola! Nos encantaría ayudarte, pero no respondemos dudas universitarias que no tengan que ver específicamente con los videos que ya ha grabado como excepcion el profe. O de otras asignaturas que no sean matemáticas, física y química de nivel de secundaria y/o bachillerato.
Lo
siento de corazón… Espero lo entiendas
alguien me puede ayudar con estos problemas es que tengo examen y he intentado pero ninguno me ha salido

Te recomiendo veas este video
FISICA RELATIVISTA Masa, Longitud, Tiempo
A partir de ahí, se trata
de que DESPUES DE IR A CLASE (ver los vídeos relacionados con vuestras dudas)
enviéis dudas concretas, muy concretas. Y que nos enviéis también todo aquello
que hayais conseguido hacer por vosotros mismos. Paso a paso, esté bien o mal.
No solo el enunciado. De esa manera podremos saber vuestro nivel, en que
podemos ayudaros, cuales son vuestros fallos.... Y el trabajo duro será el
vuestro. Nos cuentas ¿ok?
He intentado hacer este problema de cuantica:
Segun la hipotesis cuantica de Plank, la energia de una radiacion es:
E = h.f = h * c/(longitud de onda), he pasado 5 ev a julios siendo 8*10^-19 J, para la rotura del enlance, despejo la longitud de onda:
longitud de onda = (h * c) / E = (6,63*10^-34 * 3*10^8)/ 8 *10^-19 = 2,48 * 10^-7 = 248 nm, pero esto en la longitud de onda maxima, y el ejercicio pide la minima, como la saco?
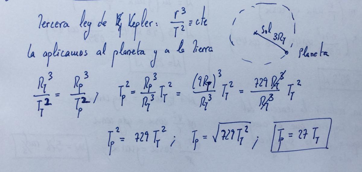
Tercera ley de Kepler, el cuadrado del período del movimiento de un planeta es directamente proporcional al cubo de la distancia media del planeta al Sol:
Para la Tierra ---> T2 Tierra = k * R3 Tierra
Para el Planeta ---> T2 Planeta = k * R3 Planeta
Dividiendo la del Planeta entre la de la Tierra te queda:
T2 Planeta / T2 Tierra = R3 Planeta / R3 Tierra
T2 Planeta / T2 Tierra = (9R)3 Tierra / R3 Tierra <------- (R Planeta = 9R Tierra)
T2 Planeta / T2 Tierra = 729
T2 Planeta = 729 * T2 Tierra
Haciendo la raíz cuadrada:
T Planeta = 27 * T Tierra = 27 años terrestres
La solución es c)
Si alguien me puede responder esta sencilla pregunta para asegurarme.
La fuerza gravitatoria es:...... señala lo FALSO:
a) atractiva o repulsiva
b) conservativa
c) no central
d) vectorial

a) Falsa, porque la fuerza gravitatoria entre dos masas es atractiva.
b) Verdadera, ya que el trabajo mecánico en cualquier trayectoria cerrada es igual a cero.
c) Falsa, porque si tomas como origen de coordenadas de un sistema de referencia en una de las dos masas que interactúan, tienes que la acción y la reacción gravitatoria tienen dirección radial.
d) Verdadera, ya que la fuerza gravitatoria, como cualquier otra fuerza, se describe con un vector, ya que tiene punto de aplicación, dirección, sentido y módulo.
Espero haberte ayudado.
Hola. Si alguien puede pasarme el enlace de algun video en el que se resuelva un problema similar, de campo gravitatorio, no electrico. O resolverme este con la descomposicion por vectores y trigonometria bien hecha. Se lo agradezco de antemano.

Observa que en la figura tienes un triángulo isósceles, que queda dividido en dos triángulos rectangulos cuyos catetos miden, ambos, 1 m, por lo que el lado del triángulo isósceles (que es la hipotenusa del triángulo rectángulo) mide √(2) m de longitud.
Observa que los ángulos agudos sobre la base del triángulo isósceles miden 45°, ya que en los triángulos rectángulos tienes que su cateto opuesto (altura del triángulo isósceles) y su cateto adyacente miden ambos 1 m, por lo que la tangente es igual a 1.
Luego establece un sistema de referencia con origen en el punto en que se encuentra la masa M2, con eje OY vertical y positivo hacia arriba, y eje OX horizontal y positivo hacia la izquierda.
Luego, observa que sobre la masa M2 actúan dos fuerzas gravitatorias:
F1 = G*M1*M2/d12, ejercida sobre ella por la masa M1, horizontal hacia la izquierda;
F3 = G*M2*M3/d32, ejercida sobre ella por la masa M3, inclinada 45° con respecto al eje OX, hacia la izquierda y hacia arriba.
Luego, planteamos las componentes de la fuerza resultante sobre la masa M2:
F2x = F1 + F3*cos45°
F2y = F3*sen45°.
Luego, el módulo de la fuerza resultante queda:
F2 = √(F12 + F32),
y la tangente de su ángulo de inclinación con respecto al eje OX queda:
tanα = F2y/F2x, de donde puedes obtener la medida del ángulo con tu calculadora.
Observa que tienes todos los datos necesarios para terminar la tarea:
G = 6,67*10-11 N*m2/Kg2 (constante de gravitación universal),
M1 = M2 = 20 Kg y M3 = 200 g = 0,2 Kg,
d1 = 2 m y d3 = √(2) m,
Espero haberte ayudado.
Buenas Noches!! Espero que se encuentren bien, hoy les traigo un ejercico de movimiento unidimensional con aceleracion constante, que me ha causado algo de dudas, en especial en la pregunta B, dejare a continuacion una imagen adjunta del enunciado del problema, espero que puedan ayudarme u orientarme sobre que puedo hacer en la pregunta B, muchisimas gracias!! . PD: Creo que se sobre-entiende pero el ejercicio es el 59, gracias!!![]()

Te oriento un poco, primeramente pasamos todas los datos al SI
a) Para el primer vehículo se cumple un MRU:
x1=25t
Para el 2º vehículo tenemos un MRUA: (este coche llega antes al cruce con lo cual esta 1,5 s menos tiempo que el coche A)
x2=0,5·8(t-1,5)2
Finalmente nos dicen que x1+x2=3500
Resuelves tu sistema y hallas los dos tiempos.

Establece un sistema de referencia con eje OX en la dirección Este-Oeste, y eje OY en la dirección Sur-Norte, con origen en el cruce de calles. Llamemos xA e YB a las posiciones iniciales de los móviles (observa que ambas son negativas, porque se encuentran al oeste y al sur del cruce, respectivamente), y consideramos como instante inicial al momento en que el móvil A se encuentra en su posición inicial, coincidente con el instante en que el móvil B comienza a moverse.
Luego, tenemos los datos para cada móvil:
A) vA = 90 Km/h = 90*1000/3600 = 25 m/s (constante), instante inicial t0 = 0.
B) aB = 8 m/s2, con rapidez inicial igual a cero, instante inicial t0 = 0..
Luego, las ecuaciones de movimiento para cada móvil quedan:
A) x = xA + 25*t
B) y = yB + (1/2)*8*t2= yB + 4*t2
Luego, tienes en el enunciado la relación entre las distanciass iniciales de los móviles con respecto al cruce:
|xA| + |yB| = 3,5 Km = 3500 m, y como las posiciones iniciales son ambas negativas queda:
- xA - yB = 3500, multiplicamos en todos los términos de la ecuación por -1 y queda:
xA + yB = - 3500.
Luego, si llamamos TA y TB a los instantes en que los móviles pasa por el cruce (x = 0, y = 0) tenemos la relación:
TB = TA - 1,5 s.
Luego reemplazamos en las ecuaciones señaladas A) B), y junto con las últimas dos ecuaciones remarcadas queda el sistema:
0 = xA + 25*TA
0 = yB + 4*TB2
xA + yB = - 3500
TB = TA - 1,5
Observa que tenemos un sistema de cuatro ecuaciones con cuatro incógnitas, lo puedes resolver y tienes los valores:
xA, yB (posiciones iniciales) y TA, TB (instantes de paso de los móviles por el cruce).
a) Las respuestas son TA y TB.
b) Planteas t = TB - 0,75 s, sustituyes en las ecuaciones señaladas A) B) y obtienes las posiciones de los móviles (x e y),
y luego planteas la distancia entre ellos (observa que los móviles se encuentran ubicados en los puntos cuyas coordenadas son (x,0) y (0,y):
d = √(x2 + y2).
Queda que termines los cálculos, y grafiques las curvas asociadas a las ecuaciones señaladas A) y B).
Espero haberte ayudado.
Hola necesito ayuda con este otro ejericicio
lo que entiendo es que en el literal a) es solo de sustituir los valores que me dan de x y t
en el literal c) supongo es que igual, sustituir valores pero con la nueva ecuacion que pide en el literal b) y es donde no se que hacer
necesito que me ayuden en ese literal por favor

La demostración es la siguiente:
Una onda estacionaria se puede considerar como la interferencia de dos ondas de la misma amplitud y longitud de onda: una incidente que se propaga de izquierda a derecha y la otra que resulta de reflejarse esta en el extremo y se propaga de derecha a izquierda.
y1=A sen (kx -w t) de izquierda a derecha
y2=A sen (kx +w t) de derecha a izquierda
La onda estacionaria resultante es la suma de las dos:
yresultante=y 1+ y2 =2 A sen(wt).
El extremo por el que está sujeta la cuerda no vibra nunca y la función suma en ese punto valdrá cero (durante todo el tiempo). Para que la función anterior sume cero la única justificación es que las amplitudes se inviertan en el punto de rebote de la onda (el punto fijo) y que una valga +A y la otra -A. Sumando las funciones y sabiendo que:
sen a - sen b=2 sen(a-b) /2 ·cos (a+b)/ 2
obtenemos (compruébalo):
yresultante=y 1+ y2=2A sen(kx) cos(w t).
Solo quedaria sustituir tus datos
![]()
hola buenas tardes podrían ayudarme en este ejercicio, analizando de igual forma para entenderlo ! muchas gracias. :)

Observa que vxy = 5 es el módulo de un vector del plano coordenado OXY, que forma un ángulo de 45° con el eje OX, por lo tanto sus componentes quedan:
vx = 5*cos45° = 5*√(2)/2 m
vy = 5*sen45° = 5*√(2)/2 m
Luego, como tienes que la proyección del vector v sobre el plano coordenado OXY es vxy, tienes que las dos primeras componentes del vector v son vx y vy,
por lo que solo falta determinar la componente vz, y como tienes que el mód =ulo del vector v es igual a 10 m, planteas:
|v| = 10, expresas al módulo del vector en función de sus componentes y queda:
√(vx2 + vy2 + vz2) = 10, haces pasaje de raíz como potencia y queda:
vx2 + vy2 + vz2 = 100, reemplazamos valores en los dos primeros términos y queda:
25/2 + 25/2 + vz2 = 100, hacemos pasajes de términos y queda:
vz2 = 75 = 25*3, hacemos pasaje de potencia como raíz y queda:
vz = 5*√(3) m
Luego, el vector v queda expresado:
v = < 5*√(2)/2 , 5*√(2)/2 , 5*√(3) >.
Espero haberte ayudado.
Hola. Necesito que me ayuden con este problema de física. Lo llevo intentando toda la tarde y no consigo dar con la solución. Gracias.
In an attempt to knock the witch out of the sky, Velma hastily constructs a large rocket. The rocket has a mass of 10 kg and uses several D class engines for thrust. The combined thrust of all of the rockets is 10000 N and the rocket engines burn out in 1.5 seconds. Calculate the maximum height that the rocket can achieve before gravity starts to bring it back down to Earth. Assume no air resistance. Assume that the rocket does not lose mass as it burns fuel!