
viste estos videos:
https://www.youtube.com/watch?v=oa14qptpY3Q
https://www.youtube.com/watch?v=tg3FycyZ66s
A partir de ahí, se trata
de que DESPUES DE IR A CLASE (ver los vídeos relacionados con vuestras dudas)
enviéis dudas concretas, muy concretas. Y que nos enviéis también todo aquello
que hayais conseguido hacer por vosotros mismos. Paso a paso, esté bien o mal.
No solo el enunciado. De esa manera podremos saber vuestro nivel, en que
podemos ayudaros, cuales son vuestros fallos.... Y el trabajo duro será el
vuestro. Nos cuentas ¿ok?
Hola por favor si pueden ayudarme con este problema
Usted está investigando un accidente donde un auto de 1500 kg que estaba estacionado sin freno de emergencia por una pendiente de una colina con una inclinación de 18º una distancia de 150 metros y golpeó una camioneta de 2000 kg al pie de la pendiente.
a)Si por el impacto el auto reduce su velocidad a la mitad, calcular la velocidad de la camioneta, (fricción despreciable), calcular energía mecánica
b)Calcular la energía mecánica si la fricción entre las ruedas y la pendiente es de 0,6
Por favor si pueden ayudarme con los cálculos de energía mecánica

No me queda claro tu enunciado, no sabemos si la colisión es elástica o inelastica, pon foto del enunciado original
Suponiendo que no se quedan unidos al final de la colision yo utulizaria el principio de conservación de la energia
para averguar la velocidad con la que el auto llega abajo, es decir Ep=Ec
Por lo demas no sabria decirte, porque no nos dicen nada del impacto

Vamos con ayuda para la parte a).
Si el enunciado dice que el móvil sin freno de emergencia se encuentra en lo alto de la pendiente, y se desliza sobre ella recorriendo 150 metros hasta golpear a la camioneta, que se encuentra en el pie de la pendiente y en reposo, puedes considerar un sistema de referencia con eje OY vertical, con origen al nivel del suelo y sentido positivo hacia arriba.
Luego, tienes tres instantes:
1) El auto comienza a moverse en lo alto de la pendiente:
auto: y1 = 150*sen(18°) = 46,353 m), v1 = 0;
camioneta: Y1 = 0, V1 = 0.
2) El auto llega al pie de la pendiente y está a punto de chocar a la camioneta:
auto: y2 = 0, v2 = a determinar;
camioneta: Y2 = 0, V2 = 0.
3) El auto acaba de chocar a la camioneta:
auto: y3 = 0, v3 = v2/2;
camioneta: Y3 = 0, V3 = a determinar.
Luego, planteamos las expresiones de las energías mecánicas totales del sistema auto-camioneta en los tres instantes:
EM1 = EP1 + EC1 = Ma*g*y1 + 0 = 1500*9,8*46,353 = 681382,473 J.
EM2 = EP2 + EC2 = 0 + (1/2)*Ma*v22 = (1/2)*1500*v22 = 750*v22.
EM3 = EP3 + EC3 = 0 + (1/2)*Ma*v32 + (1/2)*Mc*V32 = (1/2)*1500*(v2/2)2 + (1/2)*2000*V32 = 187,5*v22 + 1000*V32.
Luego, para el choque que ocurre entre los instantes 2 y 3, planteamos las cantidades de movimiento totales del sistema auto-camioneta en los dos instantes:
p2 = Ma*v2 + 0 = 1500*v2;
p3 = Ma*v3 + Mc*V3 = 1500*(v2/2) + 2000*V3 = 750*v2 + 2000*V3.
Luego planteamos (observa que hemos indicado posiciones y velocidades del auto con letras minúsculas, y las correspondientes a la camioneta con letras mayúsculas):
a) Conservación de la energía mecánica entre los instantes 1 y 2, porque despreciamos los rozamientos de todo tipo.
b) Conservación de la cantidad de movimiento (impulso) entre los instantes 2 y 3, ya que no actúan fuerzas exteriores al sistema auto-camioneta en la dirección de movimiento (que suponemos horizontal).
Luego, tenemos el sistema de ecuacioness:
EM2 = EM1
p3 = p2
Sustituimos expresiones y queda:
750*v22 = 681382,473 J
750*v2 + 2000*V3 = 1500*v2
Hacemos pasaje de factor como divisor en la primera ecuación, y hacemos pasaje de término en la segunda ecuación y queda:
v22 = 908,510 m2/s2
1000*V3 = 750*v2
De la primera ecuación despejamos:
v2 = 30,141 m/s (velocidad del auto al llegar al pie de la rampa)
Reemplazamos en la segunda ecuación y queda:
1000*V3 = 750*30,141
Hacemos pasaje de factor como divisor y queda:
V3 = 22,606 m/s (velocidad de la camioneta inmediatamente después del choque).
Espero haberte ayudado.
Disculpame Raul, no pude enviar una foto, no se porque no puedo
Muchas gracias Antonio, pero creo que la V3 está mal, cuando tenias 750*v2 + 2000*V3=1500*V2, pasaste el 2000 como 1000, el resultado creo que sería 11,3m/s , pero en la parte de energía me la dejaste re clara, muchísimas gracias
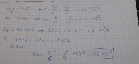
Buenas noches, este ejercicio es del libro COU de MC Graw Hill (A. Peña Sainz/F.Garzo Pérez) de 1995.
No estoy muy de acuerdo con el apartado (b) cuando calcula la aceleración normal, utilizando en el numerador la formula V=Vo+at. Ya que esto no es un movimiento rectilíneo.
Creo que lo correcto es hacerlo así:
Parece que da el mismo resultado.
Para el apartado (e) utiliza también la fórmula del espacio del movimiento rectilineo e=Vot+1/2at2. (también creo que no es correcto).
Por favor, quiero comprenderlo y confirmar que es correcto.
Gracias por vuestra ayuda

Aunque sea un movimiento angular se puede relacionar con el movimiento lineal ya que si la aceleración normal es an=v2/R , si te fiojas la velocidad que tienes ahi es lineal y no angular, teniendo en cuenta v=ωR en un MCU, podrias haber sustituido esto y tendrías
an=ω2R, que es al fin y al cabo lo que tú has hecho, para el apartado e) es más de lo mismo, espero lo entiendas ;)
Raúl RC. Me podrías ayudar con este ejercicio es el ultimo y no lo comprendo, me confundo, orientarme un poco por favor
20.- Entre las placas de un condensador plano existe
una separación de 1 mm y una diferencia de
potencial de 1 000 V. Si el dieléctrico es polietileno
(εr = 2,3), calcula la carga inducida por metro
cuadrado en la superficie del dieléctrico.

J Fernando, no contestamos dudas que se salgan del contenido general de unicoos, pero esta vez (sólo esta vez) haré una excepcion, ya que tu duda es propia de la universidad
La capacidad de un condensador viene dada por C=Q/V siendo Q la carga y V la diferencia de potencial, si el condensador es de láminas plano-paralelas se cumple que
C=εA/d siendo ε=ε0·εr y d la separación entre placas y A el área:
Con lo cual combinando ambas expresiones llevamos a que:
Q/V=εA/d
Q/A=εV/
Te dejo a ti sustituir los datos ;)
Necesito ayuda con este problema: Un misil de masa M vuela horizontalmente a 300 m del suelo con una rapidez constante de 20 km/h. En cierto momento estalla en dos trozos. Uno de ellos, de masa 2/5 M, sale disparado hacia el suelo con un ángulo de 28º bajo la horizontal de vuelo, llegando a alcanzar una distancia en tierra de 180 m. ¿Cuál fue la velocidad del segundo trozo y qué altura máxima desde el suelo llegó a alcanzar?

Tu ejercicio se compone en dos fases, una que tiene que ver con cantidad de movimiento, y la otra con un tiro parabólico
Échale un vistazo a estos videos y nos cuentas
https://www.youtube.com/watch?v=Jdu9WFeyJEk&index=4&list=PLOa7j0qx0jgMmfrfpXICBGJ4O9U168F-k
https://www.youtube.com/watch?v=M4AOMK3efJM&list=PLOa7j0qx0jgN6nK70pLADpl00Ggk1K1t6
Creo que resolví, el tercer ejercicio. por favor pido me lo corrijan es importante por que cuenta como nota final.
3.- Situado en lo alto de un acantilado de 93 metros, Juan lanza una piedra verticalmente a 35 km/h. Determina:
a) La altura máxima.
b) Tiempo en llegar al suelo.
c) Velocidad cuando llega al suelo

La única pega la tienes en el apartado b) pues el tiempo que has calculado has considerado que cae de 93 m a 0 m, pero previamente no has tenido en cuenta que la pelota 1º sube y luego baja pasando por 93 m , es decir, el tiempo que has hallado de 5,45 s
deberias sumarlo al tiempo que la pelota tarda en subir y bajar hasta 93 m, que seria 0,99·2 (ya que tarda lo mismo en subir que en bajar al no haber rozamiento), por tanto t=1,98+5,45=7,43 s
Con esto puedes hallar el apartado c)
Compruébalo no obstante, pero juraría que es así, nos cuentas ;)
No consigo hacer este ejercicio, me podrian ayudar?
En una explosión una roca sale despedida en tres feagmentos distintos, dos de los cuales, de masas m1=15kg y m2=10kg, salen en angulo recto con velocidades de v1=10 m/s y v2=20 m/s, respectivamente. El resto sale despedido con una velocidad v3=50m/s. Calcula la dirección y la masa del tercer frgamento.
muy buenas tardes podrían ayudarme orientándome en este enunciado para comprender lo que tengo que hacer y las formulas que necesito si muchas gracias !
1.- Dos cargas eléctricas puntuales de +4 ∙ 10-8 C
y −3 ∙ 10-8 C están separadas 10 cm en el aire.
Calcula: a. el potencial eléctrico en el punto
medio del segmento que las une; b. el potencial
eléctrico en un punto situado a 8 cm de la primera
carga y a 6 cm de la segunda; c. la energía
potencial eléctrica que adquiere una carga de
+5 ∙ 10-9 C al situarse en estos puntos.

Te recomiendo veas los videos de electrostática, como estos
https://www.youtube.com/watch?v=mIEKYQrb9Ng&index=3&list=PLOa7j0qx0jgMEZgKsardkZGh38EUj-kfc
https://www.youtube.com/watch?v=QB0tb8RRoSg&list=PLOa7j0qx0jgMEZgKsardkZGh38EUj-kfc&index=4
Nos cuentas ok?

Te ayudaré en el 1º apartado.
a) El potencial eléctrico creado por una carga viene dado por V=KQ/r2
El potencial ejercido por dos cargas en un punto se obtendrá sumando los potenciales que crea cada carga en ese punto, por tanto:
V=V1+V2=>
V1=9·109·4·10-8/0,052
V2=9·109·(-3·10-8)/0,052
Sumas esos potenciales y tendrías el potencial total en el punto medio
Te dejo los otros apartados a ti, espero lo entiendas ;)