Hola como esta
Queria ver si tal vez me puede ayudar con algunos videos tutoriales de Cinética de una partícula: trabajo y energía del libro de: INGENIERÍA MECÁNICA DINÁMICA DINÁMICA DECIMOSEGUNDA EDICIÓN
-R. C. HIBBELER-

perdon no se xq no me permite subir la imagen
a) cuanto vale el calor especifico de la muestra en estado solido?
b) cual es el punto de fusion de la muestra?
c) cuanto vale su calor de fusion?
d) cuanto vale el calor especifico de la sustancia en estado liquido?
e) cuantos gramos de muestra estan solidificados cuando cuando se le entrega al sistema 6kcal?
f) que temperatura tiene la muestra cuando se le entregaron 8,8kcal?
g) que cantidad de calor es necesaria entregarle al sistema desde que comienza a calentarse hasta que termina de fusionarse?
h) que cantidad de calor es necesaria entregarle al sistema inicial ´para que su temperatura llegue a los 10°C?
i) Que cantidad de calor es necesaria extraer del sistema cuando su temperatura es de 10°C, para que llegue a (-10)°C?
j) que temperatura alcanza el sistema si desde los 10°C, se le extraen 9,3kcal?
Muchas Gracias
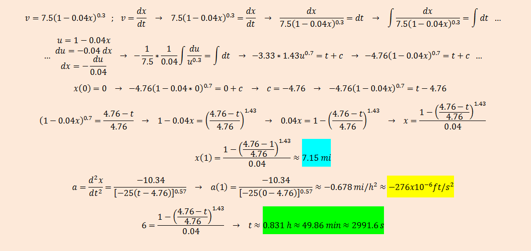
dinamica: con base en observaciones, la velocidad de un atleta puede aproximarse por medio de la relacion V=7.5*(1-0.04x)^0.3 donde la distancia se mide en millas y el tiempo en horas. Si se sabe que x=0 cuando t=0, determine :
a). la distancia que ha recorrido el atleta cuando t=1h
b). la aceleración del atleta en pies/segundo2 cuando t=0
c). el tiempo requerido para que el atleta recorra 6 millas
Una persona de 70 kg está de pie con la espalda y los talones pegados a la pared. La vertical de su centro de masas cae a 10 cm de la pared y la planta del pie tiene 30 cm de longitud. Sobre los brazos estirados soporta un peso cuyo centro de masas se sitúa verticalmente a 40 cm por delante de la puntera, donde se supone que actúa la fuerza de contacto con el suelo. Supuestas todas las articulaciones rígidas, ¿cuál es la masa máxima que puede aguantar sin caer hacia delante?. Sol. 35kg
Gracias!
un cuerpo de 15kg se encuentra sobre una superficie horizontal. Calcula los coeficientes de rozamiento estadistico y dinamico si hay que aplicar paralelamente a dicho plano una fuerza de 51,45N para que comience a deslizarse y otra de 36,75N para que mantenga un MRU. Gracias!!!!
Tengo un problema que llevo días sin resolver :
Un motor con excitación serie, conectado a una tensión de 220 V, consume 24 A y gira a 1100 rpm. Considera que Ri = 0,14 ohmios , R ex = 0,08 ohmios . Calcula la nueva velocidad de giro si la intensidad experimenta una reducción del 22 % y se supone que se conecta a una resistencia de arranque , Ra = 1 ohmio , en serie con el inducido.
Un motor de corriente continua de excitación shunt y características de 6 kW , 120 V , 1250 rpm , tiene a plena carga un rendimineto total del 88%. Las pérdidas en sus bobinados inductor e inducido son, respectivamente , del 2 y el 3 % con respecto a la potencia absorbida . Calcula:
a) La corriente de excitación.
b) La fuerza contraelectromotriz en plena carga.
c) El par motor interno.
Problema de estática:
Me dan las soluciones, pero necesito entender el procedimiento (si pudiera ser con una imagen mejor, si no , lo agradezco igual):
Una escalera de longitud L y masa M está apoyada sin rozamiento sobre una pared (punto A) y descansa, también sin rozamiento, sobre una superficie horizontal (punto B). Para que no deslice se une la parte inferior de la escalera a la pared con un hilo delgado horizontal (CB). La tensión del hilo en estas condiciones es T0. a) Determínese el ángulo que forman la escalera y el suelo. b) Si una persona de masa 3M asciende hasta la mitad de la escalera, ¿qué fuerza ejercerá ésta sobre la pared, y cuál será la tensión del hilo? c) Si la tensión máxima que puede soportar el hilo es 5T0, ¿hasta qué posición puede subir esa persona sin romperlo?
Sol: a) arctg(Mg/(2T0)) b) 4T0 c) Fins a 2L/3 del punt B
Gracias :)

Me encantaría ayudarte, pero no respondo dudas universitarias que no tengan que ver específicamente con los videos que ya he grabado como excepcion. O de otras asignaturas que no sean matemáticas, física y química. Lo siento de corazón… Espero lo entiendas
Ojalá algun unicoo universitario se anime a ayudarte (de hecho lo ideal es que todos los universitarios intentarais ayudaros los unos a los otros)
Hola!
Alguien podria ayudarme con el siguiente problema:
Dos atletas hacen una carrera de 800 m lisos. La atleta con el dorsal 1 corre los últimos 400m a una velocidad constante de 12m/s, mientras que la atleta con el dorsal 2 pasa 2s segundos más tarde por el punto de los 400m a una velocidad de 10 m/s, hace el último tramo de la carrera con MRUA i acaba a una velocidad de 20m/s. En qué punto pasa una atleta delante de la otra? Quién gana la carrera?
Gracias, necesito respuesta urgente

Puedes enviarme un correo a: javier.0395@hotmail.com
Siempre que tenga tiempo, te podré contestar por ese medio.
alguién me podría ayudar con el análisis de vigas, más en concreto con el método de los diagramas???? muchas gracias.