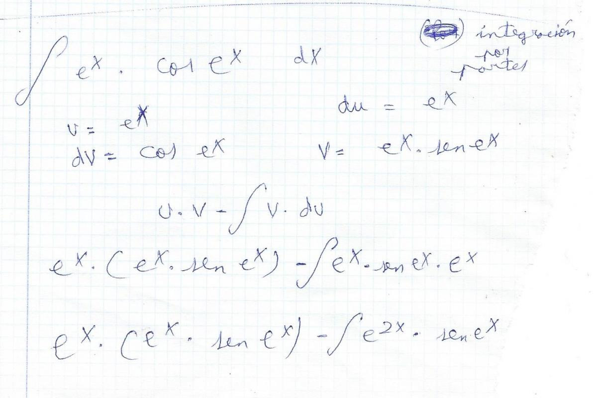
Hola, pido ayuda a los profesores Antonio y César .He intentado hacer la siguiente integral por dos métodos diferentes. Con el método de integración por partes, la desarrollo aplicando la regla ALPES para asignar u pero llego a otra integral por partes y no sé qué hacer. Por cambio de variable o sustitución, la tengo mal porque no sé desarrollar. No la hagan de nuevo, solo díganme, ya sea por escrito o en una foto, cuál es el fallo y cómo se procede. Muchas gracias!![]()
![]()
ayuda para resolver esta identidad
tga/tg2a-tga=cos2a
Hola Marina. La resolución de esta igualdad es muy sencilla, por tanto, te indicaré los pasos a seguir a continuación.
1. Desarrola tg 2a y realiza la operación del denominador (tg 2a - tg a). Ten en cuenta que tg 2a ha de estar simplificada.
2. Una vez que hayas operado, te quedará una fracción así: (1-tg2 a)/(1+tg2 a). Expresa las tangentes en función de senos y cosenos y llegarás al resultado pedido.
Como se calcula el argumento de estos complejos.
Z= 3(Cos 3/4 pi + isen 3/4pi)
A)Arg(Z^4)?.. En este caso creo que tengo que poner 4*3/4pi + 2kpi pero no se si el 4 multiplica al 2kpi tambien o como es la simplificacion.
B) Arg ( z / | z | )
C) Arg | z / | z | |
Los demas de mi guia de matematica ya los resolvi pero estos seiran los mas dificiles que no entiendo.

Para calcular el argumento de una potencia debes aplicar la Fórmula de De Moivre: Arg(z^n) = n*Arg(z) para el argumento principal, y sumar 2kpi para el argumento general.
a) Arg(z^4) = 4*(3/4)pi = 3pi, luego como excede a 2pi: Arg(z^4) = 3pi - 2pi = pi (argumento principal).
Luego observa que el módulo de z es un número real positivo al que, al expresarlo como un número complejo, le corresponde argumento igual a cero.
b) Aplicas la propiedad del argumento de una división:
Arg(z/|z|) = Arg(z) - Arg(|z|) = (3/4)pi - 0 = (3/4)pi (argumento principal).
c) Observa que el módulo del cociente entre z y el módulo de z es igual a uno:
| z/|z| | = propiedad del módulo de un cociente = |z|/| |z| | = observa que el módulo de z es un número real positivo
= |z|/|z| = 1 (observa que 1 es un número real positivo, por lo que tenemos que su argumento es 0).
Luego
Arg(| z/|z| ) = Arg(1) = 0.
Con respecto a este último ejercicio:
observa que z es un número complejo, y su módulo se expresa: |z|;
observa que |z| es un número real positivo, por lo que su módulo es igual a su valor absoluto, que coincide con él: | |z| | = |z|.
Espero haberte ayudado.

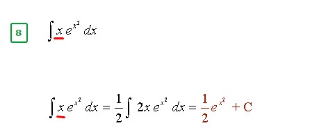
Observa que se ha aplicado la sustitución (cambio de variable):
w = x^2, cuyo diferencial queda: dw = 2x*dx.
Observa que en el miembro central de la igualdad han multiplicado por 1/2 y por 2, para poder aplicar la sustitución, vamos con el desarrollo:
Integral ( x * e^(x^2) * dx ) = multiplicamos por 1/2 y por 2:
= (1/2) * Integral ( 2x * e^(x^2) * dx ) = ordenamos factores en el argumento de la integral:
= (1/2) * Integral ( e^(x^2) * 2x*dx ) = aplicamos la sustitución:
= (1/2) * Integral ( e^w * dw ) = resolvemos:
= (1/2) * e^w + C = sustituimos:
= (1/2) * e^(x^2) + C.
Espero haberte ayudado.
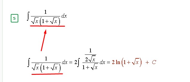
Hoola! No entiendo la solución de esta integral resuelta, ¿no se supone que podemos separarla en dos integrales? ¿qué pasa con la raíz de x que está fuera? Gracias![]()

Otra vez se aplicó un cambio de variable, en este caso:
w = 1 + V(x), cuyo diferencial es dw = ( 1 / (2V(x)) )*dx,
y en el desarrollo han multiplicado por 2 y por (1/2), vamos con los pasos:
Integral ( 1 / ( V(x)*V(1+x) )*dx = multiplicamos por 2 y por 1/2
= 2 * Integral ( 1 / ( 2*V(x)*V(1+x) )*dx = expresamos el argumento de la integral como producto de fracciones:
= 2 * Integral ( ( 1/(2V(x)) ) * ( 1/V(1+x) ) ) * dx = ordenamos factores en el argumento de la integral
= 2 * Integral ( ( 1/V(1+x) ) * ( 1/(2V(x)) ) * dx = aplicamos el cambio de variable:
= 2 * Integral ( 1/w ) * dw = resolvemos:
= 2 * ln|w| + C = aplicamos el cambio de variable:
= 2 * ln| 1 + V(x) | + C.
Espero haberte ayudado.