Foro de preguntas y respuestas de Matemáticas

logo beUnicoos
Los foros de unicoos se han unificado en nuestra nueva plataforma beUnicoos. Para dejar nuevas preguntas deberás hacerlo allí, donde además podrás encontrar nuevas asignaturas y herramientas para ayudarte más con tus estudios.

  • icon

    Efren
    el 6/3/17

    Buenas tardes, tenéis vídeo de sistema métrico decimal??? Si lo hay no lo encuentro. Gracias


    replythumb_up0 voto/sflag
    icon

    David
    el 7/4/17

    Puede que te ayude este... 

    Factores de conversion 01

    thumb_up1 voto/sflag
    icon

    Efren
    el 4/6/17

    Gracias

    thumb_up0 voto/sflag
  • icon

    Samuel Alcazar
    el 6/3/17

    ¿Podrías hacer un vídeo  de potencias para 1ESO?o si ya tienes un vídeo sobre el tema ¿me lo das? Gracias

        

    replythumb_up0 voto/sflag
  • icon

    ALOFRE
    el 6/3/17

    cos^2(a)+tg^2(a)=1 Cuando es cierta la igualdad?

    - Cuando tg^2(a) = sen^2(a), es decir, cos^2(a) = 1. Sólo se cumpiría con a = 0º

    Es correcto?


    replythumb_up0 voto/sflag
    icon

    Antonius Benedictus
    el 6/3/17

    Sí, pero incompleto:


    thumb_up1 voto/sflag
  • icon

    Christian Romero
    el 6/3/17

    hola tengo un ejercicio de ecuaciones diferenciales  separables 

    y´=tan(x+y)            solucion:ln|1+sen2(x+y)|+2y-2y=c

    el problema es que no puedo llegar a la solución

    replythumb_up0 voto/sflag
    icon

    Guillem De La Calle Vicente
    el 6/3/17

    Resolver la ecuación separable

           z=1+tanz

    y utilitza

           y=zx

    thumb_up0 voto/sflag
    icon

    Christian Romero
    el 6/3/17

    como lo implementarías tu?, es que no te entiendo

    thumb_up0 voto/sflag
    icon

    Antonius Benedictus
    el 6/3/17


    thumb_up0 voto/sflag
    icon

    Christian Romero
    el 6/3/17

    muchas gracias

    thumb_up0 voto/sflag
    icon

    Guillem De La Calle Vicente
    el 6/3/17

    Christian: Hmm, ¿qué? ¿Qué paso no entiende? Hay sólo dos ...


    thumb_up0 voto/sflag
  • icon

    Javier
    el 6/3/17

    Hola, me gustaría saber que formula se utiliza para hallar el valor de a sabiendo el modulo, en este caso és: (30-16i)*(a+36*i)=1530.

    - al multiplicar me queda 30a + 1080·i + 16a·i+ 576i^2 ; 30a + 1080·i + 16a·i- 576, se que la formula del modulo és √a2+b2   , pero no consigo el valor de a correcto.

    Gracias!.

    replythumb_up0 voto/sflag
    icon

    Antonius Benedictus
    el 6/3/17

    Si pones el enunciado original, podremos ayudarte mejor.

    thumb_up1 voto/sflag
    icon

    Javier
    el 6/3/17

    es cierto perdonad, el enunciado és: encuentra el valor de a para que el módulo valga 1530

    thumb_up0 voto/sflag
    icon

    Antonius Benedictus
    el 6/3/17

    Insisto: Pon imagen original completa.

    thumb_up0 voto/sflag
    icon

    Javier
    el 6/3/17

    Estoy intentando enviarla pero no me aparece en el mensaje

    thumb_up0 voto/sflag
    icon

    Javier
    el 6/3/17

    thumb_up0 voto/sflag
    icon

    Antonius Benedictus
    el 6/3/17


    thumb_up1 voto/sflag
    icon

    Javier
    el 6/3/17

    Muchas gracias Antonio! llevo todo el dia intentando, gracias!

    thumb_up0 voto/sflag
  • icon

    sus
    el 6/3/17
    flag

    y este seguro que es una chorrada pero ahora mismo no caigo.

    me piden calcular todos los vectores de módulo 20 y misma dirección que u, siendo u= (-12,5) .

    replythumb_up0 voto/sflag
    icon

    David
    el 6/3/17

    Si tiene la misma direccion que U, será proporcional a el.. Por tanto u'=(-12k,5k)
    Su modulo... √((-12k)²+(5k)²)=20.... √(144k²+25k²)=20... √(169k²)=20..... 13k=20.... k=20/13... 

    thumb_up0 voto/sflag
    icon

    sus
    el 6/3/17

    yo sacaba el módulo del que me daban pero no sabía que hacer con él, ahora caí en que lo que hacía era intentar calcular un unitario y por eso no tenía sentido. :)

    thumb_up0 voto/sflag
  • icon

    sus
    el 6/3/17

    como hago este ejercicio??

    Calcula el valor de K, sabiendo que el triángulo cuyo vértices son el origen de coordenadas y los puntos en los que la recta s: x+2y+k=0 corta a los ejes de coordenadas y tiene por área 4u2

    GRACiAS

    replythumb_up0 voto/sflag
    icon

    Antonius Benedictus
    el 6/3/17


    thumb_up0 voto/sflag
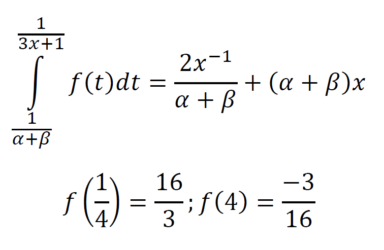
  • Usuario eliminado
    el 6/3/17

    Hola. Por favor, piden calcular α y β con los datos dados. Gracias.



    replythumb_up0 voto/sflag
    icon

    Antonius Benedictus
    el 6/3/17

    Pon foto del enunciado original, por favor.

    thumb_up0 voto/sflag
  • icon

    Eva
    el 6/3/17

    Tengo dudas con esta tarea, ¿me podeís ayudar? Es urgente.

    replythumb_up0 voto/sflag
  • icon

    Melany Bonilla Perez
    el 6/3/17

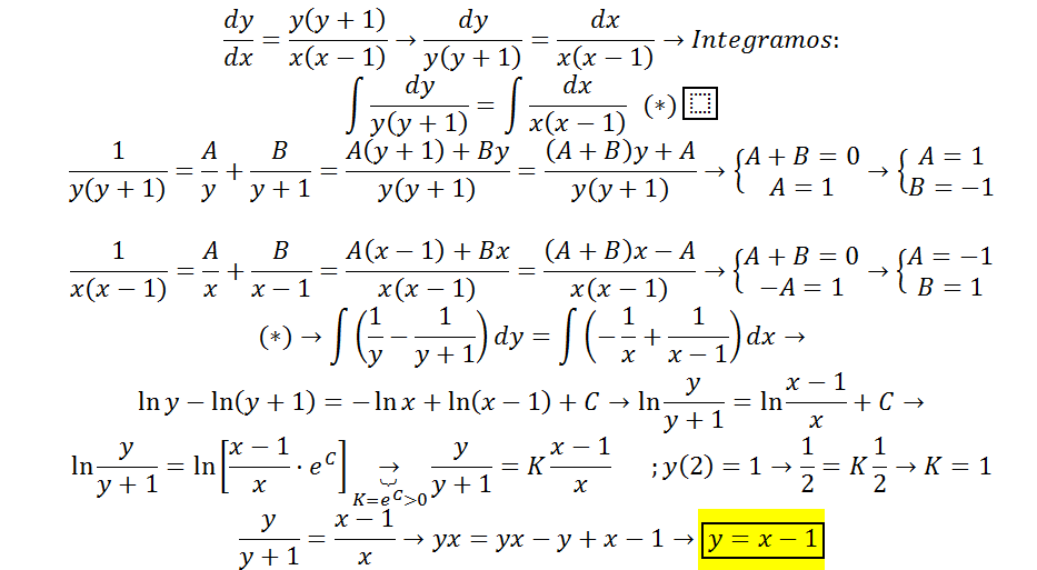
    Buenos días, ¿Cómo se resuelven las siguientes ecuaciones diferenciales?

    a) dy/ dx= y (y - 1)

    b) dy/dx= y/x

    c)dy/dx= 3x2 y

    d) dy/dx=(y(y +1)/ x (x - 1)) ; y(2)=1


    replythumb_up0 voto/sflag
    icon

    Antonius Benedictus
    el 6/3/17

    Son todas de variables separables.  Te mandamos la última. Haz tú las otras:


    thumb_up0 voto/sflag