
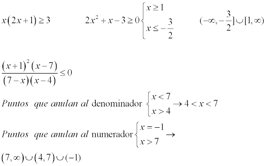
1)
Tienes la inecuación:
x(2x + 1) ≥ 3, distribuyes, haces pasaje de término y queda:
2x2 + x - 3 ≥ 0, factorizas el primer miembro (observa que es un polinomio cuadrático) y queda:
2(x - 1)(x + 3/2) ≥ 0, luego haces pasaje del factor numérico como divisor (observa que no cambia la desigualdad) y queda:
(x - 1)(x + 3/2) ≥ 0, que nos conduce a las dos opciones de un producto de dos factores con resultado positivo:
a) x - 1 ≥ 0 y x + 3/2 ≥ 0, hacemos pasajes de términos en ambas ecuaciones y quedan: x ≥ 1 y x ≥ -3/2, que conduce al intervalo: Da = [1,+∞);
b) x - 1 ≤ 0 y x + 3/2 ≤ 0, hacemos pasajes de términos en ambas ecuaciones y quedan: x ≤ 1 y x ≤ -3/2, que conduce al intervalo: Db = (-∞,-3/2];
luego, concluimos que el conjunto solución expresado como intervalo queda:
S = Da ∪ Db= (-∞,-3/2] ∪ (-∞,-3/2].
2)
Tienes la inecuación: (x + 1)2(x - 7) / (7 - x)(x - 4) ≤ 0, observa que x debe tomar valores distintos de 4 y distintos de 7,
luego extraes factor común -1 en el ssegundo factor del denominador y queda:
(x + 1)2(-1)(-x + 7) / (7 - x)(x - 4) ≤ 0, ordenas términos en el segundo agrupamiento del numerador y queda:
(x + 1)2(-1)(7 - x) / (7 - x)(x - 4) ≤ 0, simplificas factores y queda:
(x + 1)2(-1) / (x - 4) ≤ 0, haces pasaje del factor -1 como divisor (observa que cambia la desigualdad) y queda:
(x + 1)2 / (x - 4) ≥ 0 (1),
luego, observa que el numerador es positivo (es un cuadrado), por lo que tienes una única opción para que la expresión sea positiva (recuerda que x debe ser distinto de 4):
x - 4 > 0, de donde tienes: x > 4,
luego, como el denominador de la expresión señalada (1) es estrictamente positivo, haces pasaje de divisor como factor (observa que no cambia la desigualdad) y queda:
(x + 1)2 ≥ 0, que es válida para todo valor de x, ya que la expresión del primer miembro es positiva (observa que es un cuadrado;
por lo tanto, el conjunto solución expresado como intervalo queda:
S = (4,7) ∪ (7,+∞).
Espero haberte ayudado.
Me piden que estudie la posicion relativa entre estas rectas del plano.
r1= x=y ; s1=2x-y=0
¿Lo haría mediante rangos o por vectores? Con esas dos me salen soluciones diferentes.
¿Alguien puede ayudarme? ¡Muchas gracias!

Planteamos el sistema de ecuaciones:
x = y (1)
2x - y = 0
sustituimos la expresión señalada (1) en la segunda ecuación y queda:
2y - y = 0, reducimos términos semejantes y queda: y = 0,
luego reemplazamos en la ecuación señalada (1) y queda: x = 0,
por lo que concluimos que las rectas son secantes, y que se cortan en el punto de coordenadas: A(0,0).
Espero haberte ayudado.
Para estudiar la posición relativa entre dos rectas hay varios procedimientos:
Calculando la pendiente de cada una de ellas: Si es la misma son paralelas, en caso contrario secantes.
Calculando el vector director de cada una de ellas: Si son proporcionales son paralelas, en caso contrario secantes.
Resolviendo el sistema de ecuaciones: Si hay solución única son secantes, si no hay solución son paralelas.
Efectivamente son paralelas, para calcular la distancia debes poner los mismos valores en A y B en ambas ecuaciones, es decir la recta r la tendrías que multiplicar por 2 con lo que te quedaría r= 2x-2y-2= 0 y s= 2x-2y+2=0. Ya no tendrás problemas en encontrar la distancia entre las rectas, que por cierto, es raíz de 2 unidades.
Al resolver el sistema, buscamos los puntos en común ambas rectas y pueden ocurrir tres cosas:
a) Solución única, es decir, el sistema es compatible determinado, siendo las rectas secantes y el punto de corte será P(x,y) donde x e y son las soluciones del sistema. Si sólo hay una solución, se cortan en un solo punto.
b) Infinitas soluciones, es decir, el sistema es compatible indeterminado, siendo las rectas coincidentes. Si hay infinitas soluciones, se cortan en infinitos puntos, o mejor dicho en todos.
a) Sin solución, es decir, el sistema es incompatible, siendo las rectas paralelas. Si no hay solución, no se cortan, por lo que son paralelas.
Hola buenas 2x+3y=-1 me podriais decir como resolverlo lo intentado pero no me sale con el metodo de sustitucion si se puede un saludo
¿Hola buenas dias alguien me podria decir como resolver este ejercicio con el metodo de sustitucion ?
2x+3y=-1
3x+4y=0
3x+4y=0

Tienes el sistema de dos ecuaciones lineales, de primer grado y con dos incógnitas:
2x + 3y = - 1
3x + 4y = 0, hacemos pasaje de término y queda: 4y = - 3x, hacemos pasaje de factor como divisor y queda: y = - (3/4)x (1),
luego sustituimos en la primera ecuación y queda:
2x + 3*(-(3/4)x) = - 1, resolvemos el coeficiente en el segundo término y queda:
2x - (9/4)x = - 1, extraemos factor común en el primer miembro y queda:
(2 - 9/4)x = - 1, resolvemos el coeficiente en el primer miembro y queda:
- (1/4)x = - 1, multiplicamos en ambos miembros por - 4 y queda: x = 4,
luego reemplazamos en la expresión señalada (1) y queda:
y = - (3/4)*4, resolvemos el segundo miembro y queda: y = - 3;
luego, concluimos que el sistema es compatible determinado, y que su única solución es: x = 4, y = - 3,
y puedes verificar su validez si reemplazas valores en el sistema de ecuaciones del enunciado.
Espero haberte ayudado.

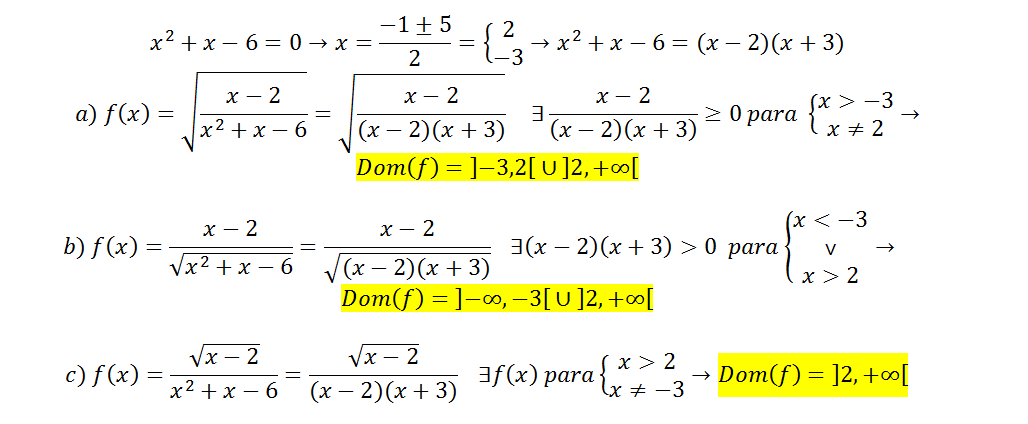
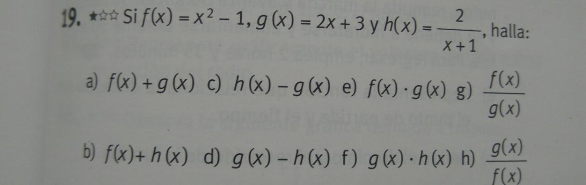
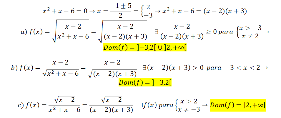
Vamos con una orientación.
Observa que los dominios de las funciones son: Df = R, Dg = R, Dh = R - {-1}.
Luego, recuerda que los dominios de las funciones que resultan de suma, resta y multiplicación son las intersecciones correspondientes de los dominios,
y que el dominio de la función cociente es la intersección de los dominios correspondiente, al que debes quitarle los valores que anulan la expresión divisora.
Vamos con alguno de los ejercicios, el resto queda para que los resuelvas:
a) A(x) = f(x) + g(x) = x2 -1 + 2x + 3 = x2 + 2x +2, cuyo dominio es: DA = R.
c) C(x) = h(x) - g(x) = 2/(x+1) - (x2 - 1) = 2/(x+1) - x2 + 1, cuyo dominio es: DC = R - {-1}.
f) F(x) = g(x)*h(x) = (2x+ 3)*2/(x+1) = 2*(2x+3)/(x+1), cuyo dominio es: DF = R - {-1}.
g) G(x) = f(x)/gx) = ( x2 -1)/(2x+3), cuyo dominio es: DG = R -{-3/2} (observa que el denominador se anula para x = -3/2).
h) H(x) = g(x)/f(x) = (2x+3)/(x2 -1), cuyo dominio es: DH = R - {-1,1} (observa que el denominador se anula para x = -1 y para x = 1).
Espero haberte ayudado.

En la primera: Dom f(x) ≡ (x - 2 / x2+ x - 6) ≥ 0
En la segunda: Dom f(x) ≡ (x2 + x - 6)½ ≠ 0
Tercera: Dom f(x) ≡ (x - 2) ≥ 0 ∪ (x2+ x - 6) ≠ 0
Esto que te he dado son características de sus dominios, no sus dominios en si, de aquí en adelante, si has estudiado, deberias saber hacer la inecuaciones tu sola.
Espero que te sirva.